- Paketloss führt zu niedrigem Upload. Ingress? Beitrag #1
EDIZ
- Beiträge
- 45
- Punkte Reaktionen
- 0
Hallo,
ich habe seit ungefähr einer Woche das Problem, dass sobald ich Paketloss habe mein Upload total in den Keller geht.
Tritt nur sehr sporadisch auf. Das einzige Muster was ich vielleicht mal erkennen konnte, war das es ungefähr alle 4 Stunden passiert.
Konnte es zum Glück hier mal aufzeichnen:

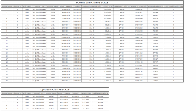
Hier nochmal meine TC4400 Leitungswerte:
Sind eigentlich in Ordnung (Könnten besser sein, aber kommt ja alles durch)

Kann mir jemand sagen woran es vielleicht liegt ? Hatte bis vor einer Woche gar keine Probleme.
Hab trotzdem schon mal ein Ticket aufgemacht.
ich habe seit ungefähr einer Woche das Problem, dass sobald ich Paketloss habe mein Upload total in den Keller geht.
Tritt nur sehr sporadisch auf. Das einzige Muster was ich vielleicht mal erkennen konnte, war das es ungefähr alle 4 Stunden passiert.
Konnte es zum Glück hier mal aufzeichnen:

Hier nochmal meine TC4400 Leitungswerte:
Sind eigentlich in Ordnung (Könnten besser sein, aber kommt ja alles durch)

Kann mir jemand sagen woran es vielleicht liegt ? Hatte bis vor einer Woche gar keine Probleme.
Hab trotzdem schon mal ein Ticket aufgemacht.

