Follow along with the video below to see how to install our site as a web app on your home screen.
Anmerkung: This feature may not be available in some browsers.
Kunden aus Hessen und Nordrhein-Westfalen können über die Rufnummer 0221 / 466 191 00 Hilfe bei allen Problemen in Anspruch nehmen. Kunden aus Baden-Württemberg können über die Rufnummer 0711 / 54 888 150 Hilfe bei allen Problemen in Anspruch nehmen.
Du verwendest einen veralteten Browser. Es ist möglich, dass diese oder andere Websites nicht korrekt angezeigt werden. Du solltest ein Upgrade durchführen oder einen alternativen Browser verwenden.
UnitymediaExtreme Häufung korrigierbarer und nicht korrigierbarer Fehler
Diskutiere Extreme Häufung korrigierbarer und nicht korrigierbarer Fehler im Störungen im Kabelnetz Forum im Bereich Rund um Internet; Sorry, ich meinte den Node. Dann schau ich dort mal vorbei ob da auch gewerkelt wird. Wie gesagt, hier wird mit gleich 2 Antennen auf 522 MHz...
Extreme Häufung korrigierbarer und nicht korrigierbarer Fehler Beitrag #176
rv112
Beiträge
4.991
Punkte Reaktionen
366
Sorry, ich meinte den Node. Dann schau ich dort mal vorbei ob da auch gewerkelt wird. Wie gesagt, hier wird mit gleich 2 Antennen auf 522 MHz DVB-T2 befeuert. Eine mit 51kW und die andere mit 19kW. Wenn ich ganz genau hinhöre, kann ich das TV Programm mit geschlossenen Augen sehen
Extreme Häufung korrigierbarer und nicht korrigierbarer Fehler Beitrag #177
robbe
Beiträge
3.208
Punkte Reaktionen
435
Hab grad mal was probiert. Ich hab nen Haus, welches sich direkt neben meinem örtlichen Node befindet, ausgelesen. Können also vom Node maximal ein paar Meter Erdkabel und ein paar Meter Coax im Haus bis zum Modem sein. Aber auch dort schon massive korrigierbare Fehler auf 522Mhz.
Der nächste DVB-T Turm ist hier 15Km entfernt.
Extreme Häufung korrigierbarer und nicht korrigierbarer Fehler Beitrag #178
rv112
Beiträge
4.991
Punkte Reaktionen
366
Interessant. Vielleicht strahlt es also sogar in den Node ein?
Extreme Häufung korrigierbarer und nicht korrigierbarer Fehler Beitrag #179
Das einfachste ist, wenn UM die betroffenen Kanäle einfach abschaltet. Hat bei mir auch Wunder vollbracht, seitdem ist Ruhe. Das Modem hat auch nach 1 Monat Laufzeit keinen einzigen unkorrigierbaren Fehler mehr :super:
Extreme Häufung korrigierbarer und nicht korrigierbarer Fehler Beitrag #180
Das einfachste ist, wenn UM die betroffenen Kanäle einfach abschaltet. Hat bei mir auch Wunder vollbracht, seitdem ist Ruhe. Das Modem hat auch nach 1 Monat Laufzeit keinen einzigen unkorrigierbaren Fehler mehr :super:
Was dann letztlich nur der 522Mhz wäre. Es gibt zwar noch einige andere Einstrahlungsgeplagte Kanäle, dort wird die Einstrahlung aber ausschließlich durch marode Haustechnik verursacht, ist also kein Problem seitens UM.
Extreme Häufung korrigierbarer und nicht korrigierbarer Fehler Beitrag #181
Menano
Beiträge
1.098
Punkte Reaktionen
0
Kann ich mich ja glücklich schätzen dass bei mir der 522MHz komplett störungsfrei läuft. Nach 7 Tagen Uptime nur 160 korrigierbare und 0 nicht korrigierbare Fehler.
Extreme Häufung korrigierbarer und nicht korrigierbarer Fehler Beitrag #182
rv112
Beiträge
4.991
Punkte Reaktionen
366
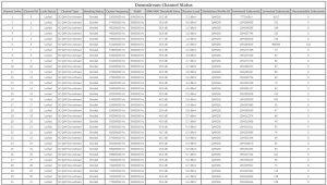
So sieht es nach nun einer Woche Betriebszeit aus
Anhänge
522mhzerr2.jpg
200,3 KB · Aufrufe: 844
Extreme Häufung korrigierbarer und nicht korrigierbarer Fehler Beitrag #183
Seit die damals die frequenzen umgeweürfelt haben, habe ich ohne Ende packed loose, davor so gut wie keine in einem Monat vielleicht 1000 und davon 10/20 nicht korrigierte.
Gesendet von meinem MHA-L29 mit Tapatalk
Extreme Häufung korrigierbarer und nicht korrigierbarer Fehler Beitrag #184
Seit die damals die frequenzen umgeweürfelt haben, habe ich ohne Ende packed loose, davor so gut wie keine in einem Monat vielleicht 1000 und davon 10/20 nicht korrigierte.
Das kann ich so bestätigen. Allerdings wurden die problematischen Kanäle 538 und 522 MHz nach ca. 3 Monaten abgeschaltet. Seitdem läuft der Anschluß 1A :super:
Extreme Häufung korrigierbarer und nicht korrigierbarer Fehler Beitrag #185
SCWfan06
Beiträge
173
Punkte Reaktionen
0
So sieht es bei mir im Moment aus...
Anhänge
2018-04-17 22_58_37-FRITZ!Box 6490 Cable.png
57,3 KB · Aufrufe: 758
Extreme Häufung korrigierbarer und nicht korrigierbarer Fehler Beitrag #186
naja ... ich hatte das mittlerweile auch schon einige male bei der Hotline angebracht und es waren zwischenzeitlich auch schon Techniker bei mir zuhause. Die Techniker meinten das die Hausverkabelung in Ordnung sei und die Signal-Werte bzw. Pegel völlig im Rahmen sind. Konnte jetzt keine negativen Auswirkungen aufgrund der "unkorrigierbaren Fehler" feststellen aber normal scheint mir das nicht zu sein.
Thema:
Extreme Häufung korrigierbarer und nicht korrigierbarer Fehler
Seit 2005 tauschen sich in diesem Forum, Anfänger wie auch Experten und Mitarbeiter, über technische Probleme zu Kabelinternet von Unitymedia und Vodafone aus. Von Docsis, Coax bis Fritzbox gibt es viele hilfreiche und nützliche Themen und Tipps, Anleitungen und Problemlösungen im Forum. Das Internet/Telefon Forum bildet jedoch den deutlichen Mittelpunkt in unserer Community.
Diese Seite verwendet Cookies um Inhalte zu personalisieren. Außerdem werden auch Cookies von Diensten Dritter gesetzt. Mit dem weiteren Aufenthalt akzeptierst du diesen Einsatz von Cookies.