Unitymedia Wartungsarbeiten Raum Frankfurt/Main 26..3.20

Diskutiere Wartungsarbeiten Raum Frankfurt/Main 26..3.20 im Netzausbau und Digitalisierung Forum im Bereich Rund um Internet; Nun ist der OFDM Kanal seit 4 Tagen hier aufgeschaltet und soweit scheint die Leitung keine Probleme zu haben (zumindest fiel mir nix auf). Der...
  • Wartungsarbeiten Raum Frankfurt/Main 26..3.20 Beitrag #26
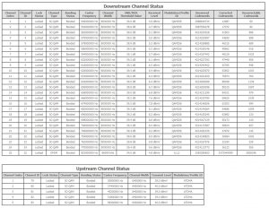
Nun ist der OFDM Kanal seit 4 Tagen hier aufgeschaltet und soweit scheint die Leitung keine Probleme zu haben (zumindest fiel mir nix auf). Der Kanal hat allerdings deutlich höhere korrigierbare/unkorrigiebare Fehler als die anderen Kanäle. Bin nicht sicher, ob die Werte soweit ok sind oder nicht.

Kann sich jemand der "Experten" mal die Werte ansehen und kommentieren? Danke
 

Anhänge

  • Kabelwerte.JPG
    Kabelwerte.JPG
    247,4 KB · Aufrufe: 27
  • Wartungsarbeiten Raum Frankfurt/Main 26..3.20 Beitrag #27
Wartung ist durch. 32/5
Von wegen ich muss nichts machen....
Hatte auch 2 Minuten Ausfall, danach nur noch 50/50, kurze Zeit später wieder tot. Hat ewig gesynct und danach war nur layer 2 oben. Reset der Box und danach wieder alles gut.
Das ganze hat aber ne knappe Stunde gedauert und ich bin im Home-Office. War gerade in einer Telco mit Kunde und hatte eine Umschaltung.
 
  • Wartungsarbeiten Raum Frankfurt/Main 26..3.20 Beitrag #28
Nun ist der OFDM Kanal seit 4 Tagen hier aufgeschaltet und soweit scheint die Leitung keine Probleme zu haben (zumindest fiel mir nix auf). Der Kanal hat allerdings deutlich höhere korrigierbare/unkorrigiebare Fehler als die anderen Kanäle. Bin nicht sicher, ob die Werte soweit ok sind oder nicht.

Kann sich jemand der "Experten" mal die Werte ansehen und kommentieren? Danke
Der OFDM hat einen etwas zu hohen Power Level und extrem viele (nicht) korrigierbare Fehler. So wie ich es mittlerweile gelernt habe, soll der Power Level zwischen -9,0 und 4,0 liegen.
 
  • Wartungsarbeiten Raum Frankfurt/Main 26..3.20 Beitrag #29
Danke Torsten! Meinst Du, die aktuellen Werte lassen den Anschluss im SBC schon als "rot" darstellen und rechtfertigen den Besuch eines Technikers? Oder ist das im akzeptablen Bereich und man sollte (per se nach Aufschaltung) erstmal etwas abwarten?
 
  • Wartungsarbeiten Raum Frankfurt/Main 26..3.20 Beitrag #30
Also bei uns war es so, daß der Power Level nach und nach höher ging. Aber deiner ist ja jetzt schon zu hoch, ich würde da eine Störung melden, damit ggfs. ein Techniker die Hausanlage neu einpegelt.
 
  • Wartungsarbeiten Raum Frankfurt/Main 26..3.20 Beitrag #31
Danke @Torsten1973 für Deine Einschätzung. In der aktuellen Lage werde ich erst noch ne Weile abwarten, ob es besser oder schlimmer wird und dann bei Gelegenheit nochmal ne Störung melden. Prinzipiell geht die Leitung ja eigentlich problemlos. Die Hoffnung bleibt bestehen, dass ich vielleicht im gleichen Anruf auch auf den GBit Tarif wechseln kann :)
 
Thema:

Wartungsarbeiten Raum Frankfurt/Main 26..3.20

Wartungsarbeiten Raum Frankfurt/Main 26..3.20 - Ähnliche Themen

Wartungsarbeiten vom 04. bis 15.07.2022 in Bad Vilbel/Dortelweil - Nähe Frankfurt am Main (ehemaliges UM Netz): Mich würde interessieren was da gemacht wird. Gibt es da jemanden der In er Materie drin steckt und Ahnung hat was da gemacht wird? Via Email...
Unitymedia Wartungsarbeiten Raum Frankfurt/Main am 19.5.2020: Heut flatterte diese Ankündigung in mein Mailpostfach:
Unitymedia Netzausbau Raum Dorsten: Gerade Email Post bekommen: Hoffendlich schalten die bei uns fehlenden 8 Kanäle frei. Gruß Geplante Wartungsarbeiten am 23. und 24.07.2020...
Unitymedia Wartungsarbeiten Raum Frankfurt 15./16. April: In nunmehr 10 Jahren Internetanschluss bei Unitymedia habe ich heute zum ersten Mal eine Vorabinformation über geplante Wartungsarbeiten am 15...
Unitymedia Seltsames Störungsbild - Mrd. Fehler - unklares Verbindungsverhalten: Hallo liebes Forum! Ich bin eigentlich nicht unerfahren beim Thema Internet und Kabel internet - bin seit mehr als einem Jahrzehnt Kunde und...
Oben