- Neues Kabel - Neue Werte Beitrag #1
Jingoro
Servus zusammen
Hab der Fritzbox mal ein neues Kabel gegönnt --> https://www.amazon.de/gp/product/B07SHDX1TW/
sind die werte nun eher schlechter oder besser geworden? ich blick da nicht durch..
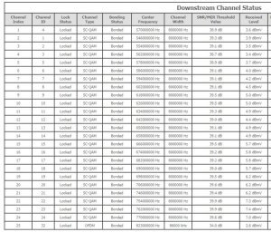
Alt:
Neu:
edit: ich hab 1stunde das internet normal benutzt bevor ich den screenshot gemacht habe!
Aktueller Speedtest dazu..
Hab der Fritzbox mal ein neues Kabel gegönnt --> https://www.amazon.de/gp/product/B07SHDX1TW/
sind die werte nun eher schlechter oder besser geworden? ich blick da nicht durch..
Alt:

Neu:

edit: ich hab 1stunde das internet normal benutzt bevor ich den screenshot gemacht habe!
Aktueller Speedtest dazu..

