Unitymedia Ping Verbesserung?

Diskutiere Ping Verbesserung? im Netzausbau und Digitalisierung Forum im Bereich Rund um Internet; Robert, da kann ich Dich jetzt auch beruhigen, der XL ist jetzt buchbar :D
  • Ping Verbesserung? Beitrag #126
@Robert, wie Du sicherlich auch schon mitbekommen hast, wird hier im Laufe des Monats die SV LC nachgerüstet, sodass ich schon in wenigen Tagen von Vectoring 100 auf SV 250 mit Vollsync upgraden kann.
[highlight=yellow]Fehlt dazu nicht noch die Buchbarkeit als CB-Tarif? Oder zahlst Du notfalls auch den regulären Preis?
[/highlight]
Trotzdem würde mich mal interessieren, was UM da in den letzten 24 Stunden genau gemacht hat?
Die extreme Schieflage mit steigendem Pegel zu den oberen Kanälen hin ist seit gestern auf einmal weg.
Da muss doch jemand draußen in der Straße am Verstärker gedreht haben.
Vielleicht wurde ja auch eine Teilstrecke verglasfasert und ein Verstärker durch einen Fibernode ersetzt...

Robert, da kann ich Dich jetzt auch beruhigen, der XL ist jetzt buchbar :D
 
  • Ping Verbesserung? Beitrag #127
So langsam verstehe ich es nicht mehr, was hier los ist :kratz:
Modem 8 Tage Online, unkorrigierbare und korrigierbare Fehler sind auf allen Kanälen ungefähr gleich hoch.
Bis vor kurzem gab es hier fast überhaupt keine unkorrigierbaren, dafür aber Unmengen an korrigierbaren Fehlern.
Jetzt sind auch noch 2 US Kanäle weggebrochen
So sieht das jetzt aus:


Komisch ist nur, dass der Ping jetzt um ca. 10ms besser geworden ist und die 40 MBit´s im UL trotz der (nur) 3 Kanäle voll erreicht wird.
Nur im DS kommt auf einmal nichts mehr an:


Wer kann das erklären, was hier faul ist :confused:
 

Anhänge

  • Kanäle.JPG
    Kanäle.JPG
    250,6 KB · Aufrufe: 1.407
  • Speed.JPG
    Speed.JPG
    18,7 KB · Aufrufe: 1.407
  • Ping Verbesserung? Beitrag #128
Bei mir gab es vor ca. einem Jahr ein ähnliches Fehlerbild. Dort war eine Verbindung zwischen HÜP und unserem Haus defekt. Da gab es genau das Fehlerbild. Es sind zwischen durch die Uploadkanäle weggebrochen (wenn Dämpfung gegen 52dmbv ging / diese schwankte auch immer von 38-52). Dann kaum noch Upload und Download. Dann auch Packetloss oder jedes mal wenn ein Uploadkanal weggebrochen ist auch längere Ausfälle von mehreren Minuten.
 
  • Ping Verbesserung? Beitrag #129
Bei mir gab es vor ca. einem Jahr ein ähnliches Fehlerbild. Dort war eine Verbindung zwischen HÜP und unserem Haus defekt. Da gab es genau das Fehlerbild. Es sind zwischen durch die Uploadkanäle weggebrochen (wenn Dämpfung gegen 52dmbv ging / diese schwankte auch immer von 38-52). Dann kaum noch Upload und Download. Dann auch Packetloss oder jedes mal wenn ein Uploadkanal weggebrochen ist auch längere Ausfälle von mehreren Minuten.
Ja, diese ganzen Phänomene hab ich hier die letzten 2 Jahre auch immer im Wechsel, stabil läuft es schon ewig nicht mehr. Die Techniker, die mal da waren, haben´s auch immer nur verschlimmbessert.
Komisch find ich momentan nur, dass der UL mit voller Leistung läuft, naja 3 Kanäle reichen ja für die 40 MBit´s lang und schmutzig, wenn im Segment nicht viel los ist.
Vielleicht sind die anderen Kunden hier aber auch größtenteils Offline, da sie kein gutes TC4400 haben :kratz:
 
  • Ping Verbesserung? Beitrag #130
Ja, bei dir stimmt defitniv was nicht. Die nach hinten ansteigenden Pegel und der Wetterabhängige TX riechen ganz stark nach einem korrodierten oder abgesoffenen Erdabzweiger irgendwo auf der Strecke zu dir. Vielleicht spielt noch irgendwo ein Verstärker verrückt, wer weiß.
Meinst Du, das wäre nur ein abgesoffener Erdabzweiger?
Das Fehlerbild sieht ja mittlerweile komplett anders aus.
Die Schieflage ist ja auch nicht mehr so stark, dafür ist die Latenz besser geworden, aber der Speed ist extrem gesunken, nur noch 1/5 der Leistung.

Da muss doch noch mehr im Argen sein :kratz:
Wird UM das überhaupt jemals beheben können, ohne hier das ganze marode Koax Netz komplett auszutauschen :confused:
 
  • Ping Verbesserung? Beitrag #131
Bei mir haben sie ja Jahrelang auch nur immer wieder Techniker rausgeschickt. Naja hab da dann wöchentlich einen kommen lassen. Irgendwann haben sie dann mal weiter als über den Tellerrand geschaut und die Ursache mal gesucht als nur die Auswirkungen zu beheeben. :-D Vielleicht ist das der Weg zum Ziel. Ich war übrigens der einzige der da hinterher war. Alle anderen die davon betroffen waren (ca. 10 Parteien) den war das egal ..... Aber du hast ja eh ne alternative daher wohl einfach drauf scheißen. Den Streß würde ich mir jetzt auch nicht mehr machn
 
  • Ping Verbesserung? Beitrag #132
Aber du hast ja eh ne alternative daher wohl einfach drauf [zensiert]. Den Streß würde ich mir jetzt auch nicht mehr machn
Nee, den Streß tu ich mir jetzt auch nicht mehr an, da die Telekom hier in Kürze sowieso den SV Turbo zündet, handelt sich nur noch um wenige Tage.
Dann brauche ich die zusätzliche Bandbreite des UM Anschluss nicht mehr. :traurig:
Das Entertain zieht doch ganz schön an der 100er Leitung, wenn hier alle TV schaue und auch noch in UHD :cool:
 

Anhänge

  • IP-TV.JPG
    IP-TV.JPG
    77,4 KB · Aufrufe: 1.365
  • Ping Verbesserung? Beitrag #133
Vielleicht sind die anderen Kunden hier aber auch größtenteils Offline, da sie kein gutes TC4400 haben :kratz:
Vielleicht ist ja auch das "gute TC4400" die Fehlerursache? Du wirst es doch nicht etwa umgepustet haben? :glück:
 
  • Ping Verbesserung? Beitrag #135
  • Ping Verbesserung? Beitrag #136
So langsam verstehe ich es nicht mehr, was hier los ist
Modem 8 Tage Online, unkorrigierbare und korrigierbare Fehler sind auf allen Kanälen ungefähr gleich hoch.
Bis vor kurzem gab es hier fast überhaupt keine unkorrigierbaren, dafür aber Unmengen an korrigierbaren Fehlern.
Jetzt sind auch noch 2 US Kanäle weggebrochen
Auch heute sieht´s nicht besser aus
 

Anhänge

  • K.JPG
    K.JPG
    174,3 KB · Aufrufe: 1.260
  • Ping Verbesserung? Beitrag #137
Der Ping ist für meine Verhältnisse immer noch sehr gut, deutlich unter 20ms, aber die 400 im DS werden einfach nicht mehr erreicht.
 

Anhänge

  • S.JPG
    S.JPG
    19,2 KB · Aufrufe: 1.252
  • Ping Verbesserung? Beitrag #141
Die Telekom macht es einem halt auch nicht einfach. Im CB Portal ist einiges nochmal verzögert oder fehlt komplett.
Bei mir ist mittlerweile alles im CB Portal eingepflegt, bis hoch zum XXL 500/200 :zwinker:
 
  • Ping Verbesserung? Beitrag #145
Nee, den Streß tu ich mir jetzt auch nicht mehr an, da die Telekom hier in Kürze sowieso den SV Turbo zündet, handelt sich nur noch um wenige Tage.
s/Tage/Wochen oder s/Tage/Monate? :D :glück:
 
  • Ping Verbesserung? Beitrag #149
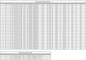
Haha, jetzt wo ich gekündigt habe, scheint UM das Segment hier nach fast 3 Jahren repariert zu haben :wand:

Die Pegel haben sich seit ein paar Tagen massiv verändert:



Alle 5 US Kanäle laufen jetzt auf QAM64
Es treten keine unkorrigierbaren Fehler mehr auf, die korrigierbaren scheinen im Rahmen zu sein, bzw. treten aufgrund schlechter gewordener SNR im DS auf.
Der Send Level im US ist fast um 10 dB gesunken, was ja jetzt recht gut ist.
Aber dafür ist der SNR im DS jetzt auch um 5 dB gesunken, was natürlich nicht so dolle ist. :gsicht:
Vermutlich müsste jetzt der Hausverstärker an die geänderte Leitungsqualität angepasst werden, damit alles hübsch wird und der SNR im DS wieder auf die ursprünglichen 40 dB angehoben wird.

Ein Ping auf´s Gateway bringt jetzt folgendes:
Code:
Antwort von 10.149.184.1: Bytes=32 Zeit=8ms TTL=63
Antwort von 10.149.184.1: Bytes=32 Zeit=8ms TTL=63
Antwort von 10.149.184.1: Bytes=32 Zeit=7ms TTL=63
Mehr kann ich mit einem unprovisionierten Modem ja nicht mehr testen, da ich nicht in BW wohne.

So gut war das hier noch nie und das trotz Casa :streber:
Und das Modem hat sogar nen Puma 6, da ich das TC4400 nicht mehr habe.

Leider kann ich jetzt nicht mehr testen, wie sich der Anschluss im provisionierten Zustand verhalten würde, wahrscheinlich würde der jetzt laufen.....

Ist jetzt nur zu spät, da hätte UM mal´n bisschen eher aus´m Quark kommen müssen :zerstör:
 

Anhänge

  • UM DS.JPG
    UM DS.JPG
    96 KB · Aufrufe: 415
  • UM US.JPG
    UM US.JPG
    29 KB · Aufrufe: 415
  • Ping Verbesserung? Beitrag #150
Thema:

Ping Verbesserung?

Ping Verbesserung? - Ähnliche Themen

Was ist hier das Problem?: Hallo Leute. Ich bin der Meinung, dass mit meiner Internetleitung etwas nicht stimmt. Anbieter: Vodafone Gebiet: NRW (Mietwohnung / Großstadt)...
Vodafone Station - andauernder Dicsonnect: Hallo, gutes Neues auch noch ! Ich hab gerade wieder mit andauernden Verbindungsabbrüchen mit meinem Windows-Laptop zur Vodafonestation zu...
Unitymedia Sehr hohe Ping Zeiten von 19 bis 21 Uhr: Hallo in die Runde, Nach dem ich mich mit dem KD lange herumgeschlagen habe und dass ich jetzt einen Anschluss habe der einiger Maßen...
Unitymedia Verständnisfrage ping/traceroute (Vodafone Business): Hallo zusammen, ich habe für die Firma mehrere "Company Internet"-Anschlüsse, bei denen wir eigentlich schon immer folgendes Bild beim Traceroute...
Unitymedia TOP Support, auch mit eigener Hardware: Nach 10 Jahren problemlos Leih-Fritzbox, fingen Freitag nach nun 3 Wochen 6690 die Probleme an: keine/schlechte Erreichbarkeit und Timeouts mit...
Oben