- Modempegel-Grenzwerte Beitrag #51
floh667
- Beiträge
- 1.879
- Punkte Reaktionen
- 375
Follow along with the video below to see how to install our site as a web app on your home screen.
Anmerkung: This feature may not be available in some browsers.

Hello.Hallo zusammen,
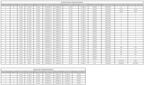
Aktuell sind im DOCSIS 3.1-OFDM-Download-Carrier seit etwa 2 Wochen pro Stunde regelmäßig etwa 10 nicht korrigierbare Fehler - und zwar im ganzen Haus. Der HFC-Node steht bei uns unten im Hausanschlussraum. Die DOCSIS 3.0-Carrier im Downstream sind, was nicht korrigierbare Fehler betrifft, völlig fehlerfrei und haben gute MSE-Werte, ebenso der DOCSIS 3.1- sowie DOCSIS 3.0-Upstream.Wenn es nach zwei Stunden keine nicht korrigierbaren Bitfehler im Downstream und schwache Modulationsverfahren im Upstream gibt, deutet nichts auf eine systematisch signaltechnisch verhunzte Anbindung hin.
Wenn Du aber nicht korrigierbare Fehler beobachtest, könnten sie sporadisch durch z. B. einen Störer ins Segment kommen, der nicht immer eingeschaltet ist..
Kommen die Fehler als "Burst" oder ist es ein stetiges Plätschern ....
