- Arris TM3402B Modem Beitrag #926
dsaw
- Beiträge
- 521
- Punkte Reaktionen
- 96
mach das mal und berichte dann hier
Follow along with the video below to see how to install our site as a web app on your home screen.
Anmerkung: This feature may not be available in some browsers.
Kannst Du versuchen.OK, bei der Hotline anrufen?
Ich glaube nicht, dass es damit besser wird.Hab ab morgen wieder den Businestarif.
Es ist seitdem aber viel passiert.Hatte vor dem Cable Max den Business 300 und war top zufrieden damit.
Hoffe das es dann wieder läuft
1/1/1970 1:01 | 84020100 | 4 | Missing Mandatory MDD TLV on primary DS Channel;CM-MAC=[Gelöscht];CMTS-MAC=00:01:5c:94:0e:46;CM-QOS=1.1;CM-VER=3.1; |
1/1/1970 1:02 | 82001200 | 5 | RNG-RSP CCAP Commanded Power in Excess of 6 dB Below the Value Corresponding to the Top of the DRW;CM-MAC=[Gelöscht];CMTS-MAC=00:01:5c:94:0e:46;CM-QOS=1.1;CM-VER=3.1; |
2/5/2021 21:40 | 90000000 | 5 | MIMO Event MIMO: Stored MIMO=-1 post cfg file MIMO=-1;CM-MAC=[Gelöscht];CMTS-MAC=00:01:5c:94:0e:46;CM-QOS=1.1;CM-VER=3.1; |
2/5/2021 21:40 | 74010100 | 6 | CM-STATUS message sent. Event Type Code: 5; Chan ID: 13; DSID: N/A; MAC Addr: N/A; OFDM/OFDMA Profile ID: N/A.;CM-MAC=[Gelöscht];CMTS-MAC=00:01:5c:94:0e:46;CM-QOS=1.1;CM-VER=3.1; |
Einen Router hast du aber schon hinter das Modem geklemmt ?Hallo zusammen,
ich hatte kürzlich ein TM3402 bestellt, nachdem ich recht unzufrieden mit der FritzBox war und ausschließlich auf ein Modem umsteigen wollte. Von der Recht einfachen Aktivierung hatte ich hier im Vorfeld auch gelesen.
Damit begann aber eine Odyssee und ich würde euch um Unterstützung bitten, da ich mit meinem Latein am Ende bin.
Das erste Modem kam Dienstag an, hatte ich darauf hin auch angeschlossen und angerufen zum aktivieren gegen Mittag rum. Seriennummer und Mac erfolgreich durchgegeben und gewartet. Hatte dann gegen Abend immer noch keine IP Adresse auf dem angeschlossenen Gerät - weder lokale noch öffentliche IPv4. Gebucht hatte ich hierbei eine Dual Stack Leitung, da Business Kunde (ohne statische IP's, da das bei VF West ja mit RIP realisiert ist). Trotz eines erneuten Werksreset keinerlei Besserung. Somit also erneut angerufen, worauf ich dann ein Technikertermin bekommen hatte. Techniker war dann am 04.02. da, hat alles durchgemessen und hat entsprechend bei VF angerufen.
Die Aussage des Technikers war wie folgt:
"Das Modem wurde erfolgreich provisioniert, allerdings sendet das Modem keinerlei DHCP Request raus an unser CMTS. Uptime die wir hier sehen sind auch nur wenige Stunden, allerdings meldet es eine Verbunden seit Zeit von XX Stunden (also verbunden seit dem 01/01/1970). Somit liegt das Problem an Ihrem Modem und wir können da aus rechtlichen Gründen nichts machen. Da müssen Sie mit dem Hersteller Kontakt aufnehmen"
Gesagt getan, netterweise hat mit die Firma direkt ein neues zukommen lassen (das nenn ich Service!). Diesmal habe ich das Modem wieder gegen Mittag angeschlossen, aber ohne vorher anzurufen. Da hatte ich innerhalb weniger Minuten sofort eine lokale IP, UM DNS Server (80.69.96.12 und 81.210.129.4), als Verbindungsspezifischer DNS-Suffix upc.de und eine IP aus dem 10.0.0.0/16 Bereich. Soweit so gut - Ich also aus voller Vorfreude dass es klappt angerufen, SN und CMAC durchgegeben. Kurz danach wieder nichts... weder bekomme ich eine IP, noch macht das Modem Anstalten ein DHCP Request zu schicken. Beide Modem's haben die Firmware TS11.02.032.09.03_052020_711.SIP.03. CMAC und SN mehrmals angeglichen und co...Advanced Modus natürlich nicht nutzbar, sonst könnte man wenigstens mal schauen was da los ist. Das CMTS ist ein ARRIS an dem Ich hier hänge.
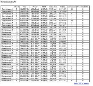
Ich bekomme laut Log (wenn ich es richtig verstehe) das Docsis3.1 cfg aufgrund meines 1Gbit/s Tarifes. Ich häng einfach mal die Log Files des heutigen Modem's dran - vielleicht erkennt ja jemand etwas und kann mir weiterhelfen.
Ich hab nach dem 1. Bild nochmal auf Werkseinstellungen zurückgesetzt. Da bekomme ich nur noch das hier:
1/1/1970 1:01 84020100 4 Missing Mandatory MDD TLV on primary DS Channel;CM-MAC=[Gelöscht];CMTS-MAC=00:01:5c:94:0e:46;CM-QOS=1.1;CM-VER=3.1; 1/1/1970 1:02 82001200 5 RNG-RSP CCAP Commanded Power in Excess of 6 dB Below the Value Corresponding to the Top of the DRW;CM-MAC=[Gelöscht];CMTS-MAC=00:01:5c:94:0e:46;CM-QOS=1.1;CM-VER=3.1; 2/5/2021 21:40 90000000 5 MIMO Event MIMO: Stored MIMO=-1 post cfg file MIMO=-1;CM-MAC=[Gelöscht];CMTS-MAC=00:01:5c:94:0e:46;CM-QOS=1.1;CM-VER=3.1; 2/5/2021 21:40 74010100 6 CM-STATUS message sent. Event Type Code: 5; Chan ID: 13; DSID: N/A; MAC Addr: N/A; OFDM/OFDMA Profile ID: N/A.;CM-MAC=[Gelöscht];CMTS-MAC=00:01:5c:94:0e:46;CM-QOS=1.1;CM-VER=3.1;
Ab hier keinerlei Kommunikation mehr und ich möchte mich ehrlich gesagt nicht auf die Aussagen von VF verlassen, vielleicht habt ihr ja Ideen.
System: ARRIS DOCSIS 3.1 / EuroDOCSIS 3.0 / EuroSIP 2.0 Touchstone Telephony Modem
HW_REV: 2
VENDOR: ARRIS Group, Inc.
BOOTR: 2.2.23.635901
SW_REV: 11.02.032.09.03.EURO.SIP
MODEL: TM3402B
Serial Number: XXXXXXXXXXXXXXX 


Einen Router hast du aber schon hinter das Modem geklemmt ?
Wichtig ist das du das Modem dann kurz stromlos machst, falls du vorher ein anderes Gerät am Modem angeschlossen hattest