• Kunden aus Hessen und Nordrhein-Westfalen können über die Rufnummer 0221 / 466 191 00 Hilfe bei allen Problemen in Anspruch nehmen.
    Kunden aus Baden-Württemberg können über die Rufnummer 0711 / 54 888 150 Hilfe bei allen Problemen in Anspruch nehmen.

Unitymedia Technicolor TC4400 Docsis 3.1 Modem Info Thread

Diskutiere Technicolor TC4400 Docsis 3.1 Modem Info Thread im Internet und Telefon über das TV-Kabelnetz Forum im Bereich Internet und Telefon; :laola: Na das wäre doch eine super Sache!
  • Technicolor TC4400 Docsis 3.1 Modem Info Thread Beitrag #3.002
Ich hab ein CMTS hier. Zwar kein Cisco aber ein CMTS und wenn du sagst, dass das Attribute von allen CMTS mit docsis3.0 verwendet wird, dann ja auch von meinem einfachen China-CMTS.
Wenn ich das richtig verstanden habe ist der Punkt doch, dass es da eine Inkompatibilität zu CMTS aus einer gewissen Produktreihe von Cisco gibt. Das TC4400 funktioniert an diesen nicht, wenn die Attribute Mask Anweisung im Configfile steht.
Technicolor führt das Ganze selbst schon unter "Known Issues"
in den Changelogs auf, womit denen womöglich die Ursache von Lamberts Problemen schon längst bekannt ist. Hatte bisher vielleicht einfach keine hohe Priorität :kratz:
 
  • Technicolor TC4400 Docsis 3.1 Modem Info Thread Beitrag #3.003
Technicolor führt das Ganze selbst schon unter "Known Issues"
in den Changelogs auf, womit denen womöglich die Ursache von Lamberts Problemen schon längst bekannt ist.

eben. Es waere genau die Aufgabe von Technicolor sich endlich mit Vodafone *zusammen* darum zu kuemmern. Stattdessen:
Wir bekommen leider keine Antwort von technicolor oder unserem Lieferanten. Bisher zumindest... Wieso auch immer.

Insofern verstehe ich mittlerweile recht gut. Er hat in vielen Dingen, die er sagt (leider) nur zu sehr recht. Und das sage ich als erklaerter Gegner der Provider-Ramsch-Router (insbesondere von denen aus Berlin) :smile:

Dabei ist es doch voellig unerheblich ob jemand Vodafone gut findet oder nicht. Es geht hier um technische Fakten und nicht um Geschmacksfragen.

Dass Vodafone die technischen Details nicht mit uns (den Kunden) kommuniziert ist verstaendlich. Schliesslich muesste Technicolor (und nicht wir) das Problem *zusammen* mit Vodafone fixen.

Technicolor tut aber nichts, weil denen den Fix schlichtweg keiner bezahlt. Und eigenes Interesse das Modem auf dem deutschen Markt zu etablieren scheint bei Technicolor ja nicht zu existieren :heul:

Einziger Ausweg:
wir gruenden einen Modem-Fonds aus dem wir die CMTS von 'tobsen' und die anstehenden Fixes finanzieren. Ich schaetze aber da kommt nicht genug dabei heraus, als dass Technicolor auch nur einen Finger fuer uns krumm macht. :D
 
  • Technicolor TC4400 Docsis 3.1 Modem Info Thread Beitrag #3.004
Ich versteh auch nicht wo das Problem liegt. Stellt VFKD großflächig auf die jeweiligen Cisco CMTS um oder wie?

Völlig unabhängig wer woran schuld ist, nur weil man recht hat heißt das noch lang nicht dass die Gegenseite das einsieht oder sogar handelt.

Aktueller Stand:
Sofern man nicht an dem betroffenen Cisco CMTS hängt läuft das TC4400 mit neuer FW sowohl bei UM als auch bei VFKD einwandfrei. Richtig?
 
  • Technicolor TC4400 Docsis 3.1 Modem Info Thread Beitrag #3.005
Sind die Cisco CMTS nicht so gut oder wie?
 
  • Technicolor TC4400 Docsis 3.1 Modem Info Thread Beitrag #3.006
es sind zumindest bislang keine gegenteiligen Erkenntnisse bekannt geworden. Am Ende hilft nur auf eigenes Risiko zu testen. Es werden von Vodafone ja selbst heute noch nachweislich die uralten EPC3212 als kundeneigene Geraete provisioniert (sofern sie nicht als ehemalige Leihgeraete erkannt werden), obwohl das gar nicht sein duerfte :smile:
 
  • Technicolor TC4400 Docsis 3.1 Modem Info Thread Beitrag #3.007
Einziger Ausweg:
wir gruenden einen Modem-Fonds aus dem wir die CMTS von 'tobsen' und die anstehenden Fixes finanzieren. Ich schaetze aber da kommt nicht genug dabei heraus, als dass Technicolor auch nur einen Finger fuer uns krumm macht. :D

Genau das. Aber wir bekommen ja weder von Technicolor, noch von Vodafone Informationen um los zu legen... :schnarch: Und ja, Robert hat schon Ahnung. Er ist nur schnell beleidigt wenn wir Vodafone schlecht reden :D :winken:
 
  • Technicolor TC4400 Docsis 3.1 Modem Info Thread Beitrag #3.008
1. Der Hinweis zu dem DHCP/Tab Problem kam aus dem KDG-Forum und nicht von Andreas. Andreas war Teil der Kette, welcher die Info hier her weitergeleitet hat. Woher die Leute aus dem KDG-Forum die Information hatten, kann man nur raten. Ich meine, es gab genug Hinweise, dass die Hilfe/Eingrenzung sogar von Vodafone aus ging. Schwerer Fehler! Ich glaube das wird nicht mehr passieren. :D

==> Nun schreibt ihr euch, so hat es den Anschein, diese Erkenntniss auf die eigene Fahne und prügelt auf Vodafone ein.
Danke! :fahne:

Ein bisschen was kann ich dazu ja jetzt sagen. Bisher war mir das ja noch zu heikel, weil ich befürchtet habe, dass ein öffentliches Posten der Geschichte die Sache noch um einiges schwieriger gemacht hätte als sie ohnehin schon ist (weil VF dann in der Hinsicht wohl erst recht komplett dicht gemacht hätte wenn so ein "inoffizieller" Support bekannt geworden wäre). Inzwischen ist dieses Argument aber auch obsolet geworden, wie es aussieht. :roll:
Es ist richtig, die Eingrenzung des Problems erfolgte durch einige (auch höhere) VF-Mitarbeiter, die teils sogar in ihrer Freizeit (!) mehrere TC4400 durch das Aktivierungsportal gejagt haben, und beobachtet haben, was da genau passiert. Als die Ursache, also das Tabzeichen, dann bekannt war, wurde das CPE Engineering kontaktiert, die seinerseits dann Kontakt zu TC aufgenommen haben. Das ist bereits am 20. März erfolgt, zu einem Zeitpunkt, als Andreas hier noch gar nichts von dem Tabzeichen wusste...

Außerdem: Schaut euch doch mal die neueste Firmwareversion an, die hat den Zusatz "180327"... Nichts gegen Andreas, aber er hat erst an besagtem 27.03.2018 ein Ticket bei TC deswegen aufgemacht, am selben Tag wird aber wohl nicht die Firmware gefixt worden sein.
Vonseiten Vodafone, die bereits am 20. März Kontakt mit TC aufgenommen haben, haut das hingegen schon eher hin.
 
  • Technicolor TC4400 Docsis 3.1 Modem Info Thread Beitrag #3.009
Und warum werden solche Probleme erst unter vorgehaltener Hand publik ?
Wieso können/dürfen das die entsprechenden Mitarbeiter nicht über offizielle Kanäle verlauten ?

Es gibt scheinbar auch ein paar Callcenter-Mitarbeiter, die bei sehr technischen Angelegenheiten wie Dieser einen direkten Draht zum 2nd-Level pflegen und zu diesem sogar durchstellen, so ging es wahrscheinlich bei franz-josef (Name ist korrekt!), wobei der Mitarbeiter sein Modem dann manuell provisioniert hat.
 
  • Technicolor TC4400 Docsis 3.1 Modem Info Thread Beitrag #3.010
Es ist richtig, die Eingrenzung des Problems erfolgte durch einige (auch höhere) VF-Mitarbeiter, die teils sogar in ihrer Freizeit (!) mehrere TC4400 durch das Aktivierungsportal gejagt haben, und beobachtet haben, was da genau passiert. Als die Ursache, also das Tabzeichen, dann bekannt war, wurde das CPE Engineering kontaktiert, die seinerseits dann Kontakt zu TC aufgenommen haben. Das ist bereits am 20. März erfolgt, zu einem Zeitpunkt, als Andreas hier noch gar nichts von dem Tabzeichen wusste...

Interessant, danke für die Info. Aber was nun? Haben die Vodaofone Techniker einen Maulkorb bekommen oder sind sie beleidigt? Was kann man machen um das Problem zu lösen? Einfach nur zu sagen es geht nicht wegen "Gründen" hilft uns nicht weiter. Das ist nicht böse gemeint, aber die aktuelle Informationspolitik ist wirklich störend (natürlich insbesondere auch von Technicolor).

Das sogar Vodafone Techniker die Geräte testen zeigt zumindest, dass die Geräte nicht so schlecht sein können ;)
 
  • Technicolor TC4400 Docsis 3.1 Modem Info Thread Beitrag #3.011
Wieso können/dürfen das die entsprechenden Mitarbeiter nicht über offizielle Kanäle verlauten ?
Das verstehe ich ja seit je her nicht... Wieso können denn Kunde und ISP nicht auf Augenhöhe über solche technischen Angelegenheiten sprechen, wenn der Kunde ja ein gewisses Know How mitbringt und sich aller Wahrscheinlichkeit nach auch an einer Lösungsfindung beteiligen würde. Sowas lässt sich ja auch einfach über offizielle Kanäle wie dem Provider-Forum oder Pressemitteilungen oder what ever regeln.
Aber stattdessen schließen Mods einfach Threads mit der Antwort "Das Gerät nehmen wir nicht, mehr Details geben wir dir nicht. Ich mache hier zu"
 
  • Technicolor TC4400 Docsis 3.1 Modem Info Thread Beitrag #3.012
Wieso können/dürfen das die entsprechenden Mitarbeiter nicht über offizielle Kanäle verlauten ?
Von den entsprechenden Mitarbeitern kommt das sowieso nie, denn die wollen eigentlich immer inkognito bleiben (auch als Selbstschutz).
Wenn es über offizielle Kanäle kommuniziert werden soll, muss es über die Abteilung "Externe Kommunikation" gehen, genehmigt werden und dann als Sprachregelung an die einzelnen Kanäle gehen. Ich denke, dass sowas spätestens bei der Genehmigung dann hängen bleibt, weil es für eigene Endgeräte ja offiziell eben keinen Support gibt.
Der Support darf dann schlicht nichts sagen (das gilt insbesondere für Support im Internet, also z.B. im offiziellen Forum).
Das sogar Vodafone Techniker die Geräte testen zeigt zumindest, dass die Geräte nicht so schlecht sein können ;)
Nicht unbedingt, dass da zufällig einige Exemplare vorhanden waren liegt eher an den guten Kontakten zwischen VF und TC.
Gründe dafür: Frühere Kooperationen (TC7200) und Synergien bei der Entwicklung von DOCSIS 3.1...
 
  • Technicolor TC4400 Docsis 3.1 Modem Info Thread Beitrag #3.013
Nicht unbedingt, dass da zufällig einige Exemplare vorhanden waren liegt eher an den guten Kontakten zwischen VF und TC.
Gründe dafür: Frühere Kooperationen (TC7200) und Synergien bei der Entwicklung von DOCSIS 3.1...

Bringt uns leider auch nicht weiter :(
 
  • Technicolor TC4400 Docsis 3.1 Modem Info Thread Beitrag #3.014
Ohne Tabzeichen wäre die Geschichte ja völlig anders gelaufen. Die alte 20er-Firmware läuft ja an Cisco-CMTS (zumindest mein Modem tut das). Das Aktivierungsportal hätte vermutlich auch nur bei Primacom nicht funktioniert, überall sonst aber schon.
 
  • Technicolor TC4400 Docsis 3.1 Modem Info Thread Beitrag #3.015
So, Techniker von Unitymedia war gerade da und hat in Nachbarhaus den Verstärker ausgetauscht.
Wir hängen da nämlich mit dran, da der HUP sich wie gesagt im Nachbarhaus (wurde an meins angebaut und damals der Kabelanschluss eben dort reingelegt) befindet.
Meine Anlage mit Verstärker/Verteilung etc. hängt quasi hinter deren Verstärker. Mir wäre zwar lieber wenn ich vor deren Verstärker (T-Stück) hängen würde was aber laut dem Techniker nicht möglich ist da das Nachbarhaus dann schlechtere Werte hätte. Muss ich eben mit der Einschränkung leben das wenn deren Verstärker kein Strom hat, bei mir auch nichts geht.

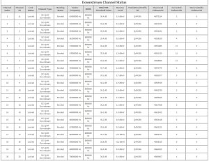
So nun zu den Anschlusswerten im TC4400:






Was sagt ihr zu den Leitungswerten?
Uncorrectables werde ich beobachten ob die wieder steigen...
 

Anhänge

  • tc_neuer_verstärker1.JPG
    tc_neuer_verstärker1.JPG
    26,6 KB · Aufrufe: 1.268
  • tc_neuer_verstärker2.JPG
    tc_neuer_verstärker2.JPG
    165,6 KB · Aufrufe: 1.268
  • tc_neuer_verstärker3.JPG
    tc_neuer_verstärker3.JPG
    42,7 KB · Aufrufe: 1.268
  • Technicolor TC4400 Docsis 3.1 Modem Info Thread Beitrag #3.016
Es werden von Vodafone ja selbst heute noch nachweislich die uralten EPC3212 als kundeneigene Geraete provisioniert (sofern sie nicht als ehemalige Leihgeraete erkannt werden), obwohl das gar nicht sein duerfte :smile:
Warum dürfte das nicht sein?
Aber stattdessen schließen Mods einfach Threads mit der Antwort "Das Gerät nehmen wir nicht, mehr Details geben wir dir nicht. Ich mache hier zu"
Der/die Mods im VF Forum haben von überhaupt nichts ne Ahnung. Das sind keine Technikleute, die sind dazu da mini-wehwehchen zu verarzten.
Du kannst da doch einen sinnvollen Dialog über technische Dinge erwarten.
 
  • Technicolor TC4400 Docsis 3.1 Modem Info Thread Beitrag #3.017
Ich habe jetzt mal direkt bei AVM angefragt ob und wie der Zugriff aufs Modeminterface möglich ist. Wenn die es selber nicht wissen, bitte ich sie diese in einer neuen Firmware zu berücksichtigen. Mit anderen Routern geht es ja auch.
 
  • Technicolor TC4400 Docsis 3.1 Modem Info Thread Beitrag #3.018
  • Technicolor TC4400 Docsis 3.1 Modem Info Thread Beitrag #3.019
Es ist richtig, die Eingrenzung des Problems erfolgte durch einige (auch höhere) VF-Mitarbeiter, die teils sogar in ihrer Freizeit (!) mehrere TC4400 durch das Aktivierungsportal gejagt haben, und beobachtet haben, was da genau passiert. Als die Ursache, also das Tabzeichen, dann bekannt war, wurde das CPE Engineering kontaktiert, die seinerseits dann Kontakt zu TC aufgenommen haben. Das ist bereits am 20. März erfolgt, zu einem Zeitpunkt, als Andreas hier noch gar nichts von dem Tabzeichen wusste...

Interessant, danke für die Info. Aber was nun? Haben die Vodaofone Techniker einen Maulkorb bekommen oder sind sie beleidigt? Was kann man machen um das Problem zu lösen? Einfach nur zu sagen es geht nicht wegen "Gründen" hilft uns nicht weiter. Das ist nicht böse gemeint, aber die aktuelle Informationspolitik ist wirklich störend (natürlich insbesondere auch von Technicolor).
Festzustellen ist, daß es die Situation keineswegs verbessert hat. Ohne derartiges privates Engagement im Hintergrund wüßte VF bis heute nicht, wo das Problem liegt und wir hätten noch die alte Schnittstellenbeschreibung, der ein TC4400 mit jeder Firmware entspricht.

Wir wissen zum Beispiel bis heute nicht, warum sich die TC4400 nicht bei Primacom (PYUR) freischalten lassen (nein, am Tabzeichen liegt es nicht), also werden sie manuell provisioniert und laufen dann - mit 20er-Firmware auch an Cisco-CMTS. Warum sollte ich da als Kunde jetzt ein Interesse daran haben, daß ein engagierter PYUR-Techniker privat Technicolor irgendeinen anderen Bug nachweist und PYUR als Antwort mein Modem rauswirft?
 
  • Technicolor TC4400 Docsis 3.1 Modem Info Thread Beitrag #3.020
Es ist richtig, die Eingrenzung des Problems erfolgte durch einige (auch höhere) VF-Mitarbeiter, die teils sogar in ihrer Freizeit (!) mehrere TC4400 durch das Aktivierungsportal gejagt haben, und beobachtet haben, was da genau passiert. Als die Ursache, also das Tabzeichen, dann bekannt war, wurde das CPE Engineering kontaktiert, die seinerseits dann Kontakt zu TC aufgenommen haben. Das ist bereits am 20. März erfolgt, zu einem Zeitpunkt, als Andreas hier noch gar nichts von dem Tabzeichen wusste...

Interessant, danke für die Info. Aber was nun? Haben die Vodaofone Techniker einen Maulkorb bekommen oder sind sie beleidigt? Was kann man machen um das Problem zu lösen? Einfach nur zu sagen es geht nicht wegen "Gründen" hilft uns nicht weiter. Das ist nicht böse gemeint, aber die aktuelle Informationspolitik ist wirklich störend (natürlich insbesondere auch von Technicolor).
Festzustellen ist, daß es die Situation keineswegs verbessert hat. Ohne derartiges privates Engagement im Hintergrund wüßte VF bis heute nicht, wo das Problem liegt und wir hätten noch die alte Schnittstellenbeschreibung, der ein TC4400 mit jeder Firmware entspricht.

Wir wissen zum Beispiel bis heute nicht, warum sich die TC4400 nicht bei Primacom (PYUR) freischalten lassen (nein, am Tabzeichen liegt es nicht), also werden sie manuell provisioniert und laufen dann - mit 20er-Firmware auch an Cisco-CMTS. Warum sollte ich da als Kunde jetzt ein Interesse daran haben, daß ein engagierter PYUR-Techniker privat Technicolor irgendeinen anderen Bug nachweist und PYUR als Antwort mein Modem rauswirft?

Könnte, wie gesagt an dem Problem mit den Cisco 10k Series CMTS hängen.
 
  • Technicolor TC4400 Docsis 3.1 Modem Info Thread Beitrag #3.021
Festzustellen ist, daß es die Situation keineswegs verbessert hat. Ohne derartiges privates Engagement im Hintergrund wüßte VF bis heute nicht, wo das Problem liegt und wir hätten noch die alte Schnittstellenbeschreibung, der ein TC4400 mit jeder Firmware entspricht.
Ist es nicht eher so, dass ohne dieses Engagement heute noch keine Firmware ohne Tabzeichen vorhanden wäre, und man bei VF auch heute noch kein einziges TC4400 automatisch aktivieren könnte? Insofern hat es doch einen deutlichen Fortschritt gebracht, an CMTS von Arris und Casa geht es jetzt ja mit der 33-180327...

Und die Schnittstellenbeschreibung bringt dir ja erstmal gar nichts, wenn der entsprechende Umstand noch nicht bekannt ist. Die Anpassung bei VF erfolgte ja nur aufgrund ihrer gesetzlichen Verpflichtung, eine vollständige Beschreibung ihrer Schnittstelle zu liefern. Der Umstand mit dem Tabzeichen im DHCPv6 war bis dahin ja auf allen Seiten noch völlig unbekannt. Wenn sie ihn nach der Entdeckung also in der Schnittstellenbeschreibung verschwiegen hätten, dann hätte man sie wirklich rechtlich belangen können. So haben sie aber nur ihre Dokumentationspflicht erfüllt...
 
  • Technicolor TC4400 Docsis 3.1 Modem Info Thread Beitrag #3.022
Festzustellen ist, daß es die Situation keineswegs verbessert hat. Ohne derartiges privates Engagement im Hintergrund wüßte VF bis heute nicht, wo das Problem liegt und wir hätten noch die alte Schnittstellenbeschreibung, der ein TC4400 mit jeder Firmware entspricht.

in diesem Thread wird oft vom Einhalten von Schnittstellenbeschreibungen gesprochen. Papier ist aber bekanntlich geduldig.

Der Punkt ist doch der, dass obwohl sich Provider (hier Vodafone) und Modemhersteller (hier Technicolor) nach eigenem Bekunden an die dokumentierten Standards halten, sich Inkompatibilitaeten einschleichen koennen. Alleine schon deswegen, weil Schnittstellenbeschreibungen selten so extrem genau sind, um jeglichen Interpretationspielraum seitens der Entwicklung auszuschliessen. Und schon laesst sich z.B. in unserem Fall ein Modem nicht mehr ohne weiteres provisionieren.

Um solche unvermeidbaren Inkompatibilitaeten zu analysieren und zu beseitigen bedarf es aber der *direkten* Kommunikation zwischen Provider-Zulieferer und Modemhersteller. Und genau die findet aus den oben genannten Gruenden wohl gar nicht statt. Zumindest nicht hinsichtlich der derzeit noch akuten Probleme.

Solange sich das nicht aendert wird auch nichts vorangehen.
 
  • Technicolor TC4400 Docsis 3.1 Modem Info Thread Beitrag #3.023
Dann schafft man sowas wie Schnittstellenbeschreibungen einfach per Gesetz ab und verlangt die vollständige Konformität zum Standard.
Das klappt komischerweise in jedem anderen technischen Bereich, auch in anderen Shared-Medien, nur wenn einer anfängt (ISPs), sein eigenes Süppchen zu kochen kommt es erst zu Problemen.
 
  • Technicolor TC4400 Docsis 3.1 Modem Info Thread Beitrag #3.024
Das ändert dann aber gar nix. Dann hast du die gleiche Situation. Vodafone sagt dann "unser CMTS hält sich an die gesetzlich vorgegebene EuroDOCSIS Norm, liegt am Endgerät", Technicolor sagt "unser Modem hält sich an die gesetzlich vorgegebene EuroDOCSIS-Norm, liegt am Provider" und du hast die gleiche Situation wie jetzt, dass sich bei VF keiner bewegt der mal erklären könnte warum es vorher funktioniert und jetzt nicht mehr. Oder was ihnen denn außer dem Tab-Mist noch alles nicht passt.

Und dann musst du erstmal dem Provider bzw. dem Hersteller beweisen dass er derjenige ist der Schuld ist.

Wie das in anderen Bereichen klappt würde ich aber auch gerne mal wissen. Ich kann mir jedes scheiß Handy kaufen, von Markenhersteller bis Billig-Schrottware aus China und alle funktionieren in allen Handynetzen. Worin unterscheiden sich Handy- von Kabelnetzen? Ist doch auch Shared Medium ...
 
  • Technicolor TC4400 Docsis 3.1 Modem Info Thread Beitrag #3.025
Das ändert dann aber gar nix. Dann hast du die gleiche Situation. Vodafone sagt dann "unser CMTS hält sich an die gesetzlich vorgegebene EuroDOCSIS Norm, liegt am Endgerät", Technicolor sagt "unser Modem hält sich an die gesetzlich vorgegebene EuroDOCSIS-Norm, liegt am Provider" und du hast die gleiche Situation wie jetzt, dass sich bei VF keiner bewegt der mal erklären könnte warum es vorher funktioniert und jetzt nicht mehr. Oder was ihnen denn außer dem Tab-Mist noch alles nicht passt.

Und dann musst du erstmal dem Provider bzw. dem Hersteller beweisen dass er derjenige ist der Schuld ist.

Wie das in anderen Bereichen klappt würde ich aber auch gerne mal wissen. Ich kann mir jedes [zensiert] Handy kaufen, von Markenhersteller bis Billig-Schrottware aus China und alle funktionieren in allen Handynetzen. Worin unterscheiden sich Handy- von Kabelnetzen? Ist doch auch Shared Medium ...

Wenn sich beide Geräte an die Norm halten würden, gäbe es keine Probleme, dafür sind Standards schließlich da. Darin wird penibel genau erläutert, was von welcher Seite wann kommen muss, das lässt (fast) keinen Spielraum für Interpretationen und wenn doch, gibt es Gremien damit solche Diskrepanzen beseitigt werden. Ist VF/UM eig. bei CableLabs in irgendeinem wegweisenden Council vertreten ? Gerade mit dem kommenden DOCSIS 3.1 Standard gibt es ja m.W. keine europäische Sonderform mehr, das macht es doch nur einfacher sich an den kompletten Standard zu halten. In fast jedem ver******* Land der Erde funktioniert das prima, nur hierzulande nicht. Willkommen im "Was, das geht?"-Land...
Wenn VF/UM wenigstens eine Alternative parat hätte, ich würde mich ja auch mit einem Kabelrouter zufrieden geben, den man in den Bridge-Modus schalten lassen kann, aber nö, dann bekommst bei VF kein IPv6-Block :zerstör:
 
Thema:

Technicolor TC4400 Docsis 3.1 Modem Info Thread

Technicolor TC4400 Docsis 3.1 Modem Info Thread - Ähnliche Themen

Netgear CM2000 (US Modem): Dank DOCSIS 3.1 und dem dortigen Wegfall der Unterscheidung zwischen DOCSIS und EuroDOCSIS sind einige Modems aus den USA durchaus im Vodafone...
Unitymedia Technicolor CGA4233 Docsis 3.1 Router Info Tread: Wie auch schon bei TC4400 dient dieser Thread zum Sammeln von Informationen zum Technicolor CGA4233. Default login: user / VTmgQapcEUaE Link zum...
Unitymedia Kabelmodem Arris CM8200B: Moin, Das Arris CM8200B wurde hier schon gelegentlich erwähnt, aber nie vertiefend. Da bei mir seit ein paar Tagen eines herumsteht starte ich...
Unitymedia Cisco EPC3208 verliert immer Verbindung -> Vodafone Station als Lösung? (DOCSIS 3.1 schuld?): Nabend! Ich habe seit 25.11. plötzlich ein massives Problem mit meinem Anschluß, und könnte etwas Aufklärung von Insidern brauchen bevor ich zur...
Unitymedia [Q] Probleme mit Bridge Network Model Virtualisierungsserver: Hallo! Ich habe eine Virtualisierungsplattform mit Web-Oberfläche (Proxmox VE 3.3) aufgesetzt und den Server direkt mit dem Kabel-Gateway TC7200...
Oben