• Kunden aus Hessen und Nordrhein-Westfalen können über die Rufnummer 0221 / 466 191 00 Hilfe bei allen Problemen in Anspruch nehmen.
    Kunden aus Baden-Württemberg können über die Rufnummer 0711 / 54 888 150 Hilfe bei allen Problemen in Anspruch nehmen.

Unitymedia Technicolor TC4400 Docsis 3.1 Modem Info Thread

Diskutiere Technicolor TC4400 Docsis 3.1 Modem Info Thread im Internet und Telefon über das TV-Kabelnetz Forum im Bereich Internet und Telefon; "Generation Wifi" würde sich ggfs über zweckmäßige externe Antennenpaddel im Stile eines Archer Routers freuen ... Das wird eher die "Generation...
  • Technicolor TC4400 Docsis 3.1 Modem Info Thread Beitrag #5.701
Die Kiste ist fürs platzieren irgendwo auf einem Sideboard gedacht und soll der Generation Wifi mehr optisch als technisch gefallen.

"Generation Wifi" würde sich ggfs über zweckmäßige externe Antennenpaddel im Stile eines Archer Routers freuen ...
Das wird eher die "Generation Hochglanzlackmöbel" erfreuen...

Bei der Gehäuseform wird man wohl nicht einmal annähernd 1 GBit/s über Wifi hinbekommen, selbst, wenn man mit seinem Tablet direkt vor der Router steht ...
 
  • Technicolor TC4400 Docsis 3.1 Modem Info Thread Beitrag #5.702
Na für Facebook und Whatsapp reicht das doch ;) Genug verallgemeinert. Ich wollte damit nur sagen dass die Box sicherlich eher auf Ästhetik getrimmt ist, als auf Funktionalität.
 
  • Technicolor TC4400 Docsis 3.1 Modem Info Thread Beitrag #5.703
  • Technicolor TC4400 Docsis 3.1 Modem Info Thread Beitrag #5.704
Ich habe es nun schwarz auf weiß auf meiner Sonderkündigung Bestätigung stehen.
Aufgrund Ihrer Mitteilung bezüglich des Fehlers, habe ich mich an unser technisches Beschwerdemanagement gewandt. Diese haben mich informiert, dass eine Nutzung Ihres Modems TC4400 über das CMTS-System CASA nicht mehr möglich ist und hier ein Sonderkündigungsrecht gewährt wird.
 
  • Technicolor TC4400 Docsis 3.1 Modem Info Thread Beitrag #5.705
Wow, das ist ja der Hammer :hammer:
Das wird aber Wellen schlagen.
Die Leute werden das Casa verfluchen :motz:
Ich bin froh, das ich UM früh genug den Rücken gekehrt habe.
Vermutlich wäre ich an meinem Casa mittlerweile auch schon längst Offline :mussweg:
 
  • Technicolor TC4400 Docsis 3.1 Modem Info Thread Beitrag #5.706
Ich habe es nun schwarz auf weiß auf meiner Sonderkündigung Bestätigung stehen.
Aufgrund Ihrer Mitteilung bezüglich des Fehlers, habe ich mich an unser technisches Beschwerdemanagement gewandt. Diese haben mich informiert, dass eine Nutzung Ihres Modems TC4400 über das CMTS-System CASA nicht mehr möglich ist und hier ein Sonderkündigungsrecht gewährt wird.

Hört sich nicht gut an. UM ist wohl wirklich nicht mehr gewillt das TC4400 zu unterstützen. Dann noch die Umstellung der CB mit Bridge Modus. Wohl erst mal eine breite offensive gegen alle Modem Endkunden. Vielleicht gar nicht so schlecht wenn da VF ans Ruder kommt :kratz:
 
  • Technicolor TC4400 Docsis 3.1 Modem Info Thread Beitrag #5.707
Doppelpost :hammer:
 
  • Technicolor TC4400 Docsis 3.1 Modem Info Thread Beitrag #5.708
Keine Ahnung, was das mit Routerfreiheit zu tun hat. Alles wat mit Fritz* beginnt und rot ist, "regiert" das UM-Netz. :kratz:
Ich hol schon mal mein verstaubtes EPC3208 aus dem Keller. :winken:
 
  • Technicolor TC4400 Docsis 3.1 Modem Info Thread Beitrag #5.709
UM pflegt das TC4400 erst ins SBC ein um es nun zu verbannen? Glaub ich nicht. UM bekommt die Casa CMTS nicht konfiguriert. Ein Fall für die Bundesnetzagentur.
 
  • Technicolor TC4400 Docsis 3.1 Modem Info Thread Beitrag #5.710
  • Technicolor TC4400 Docsis 3.1 Modem Info Thread Beitrag #5.711
Gibt es die Probleme eigentlich auch mit dem Arris Modem ?
 
  • Technicolor TC4400 Docsis 3.1 Modem Info Thread Beitrag #5.712
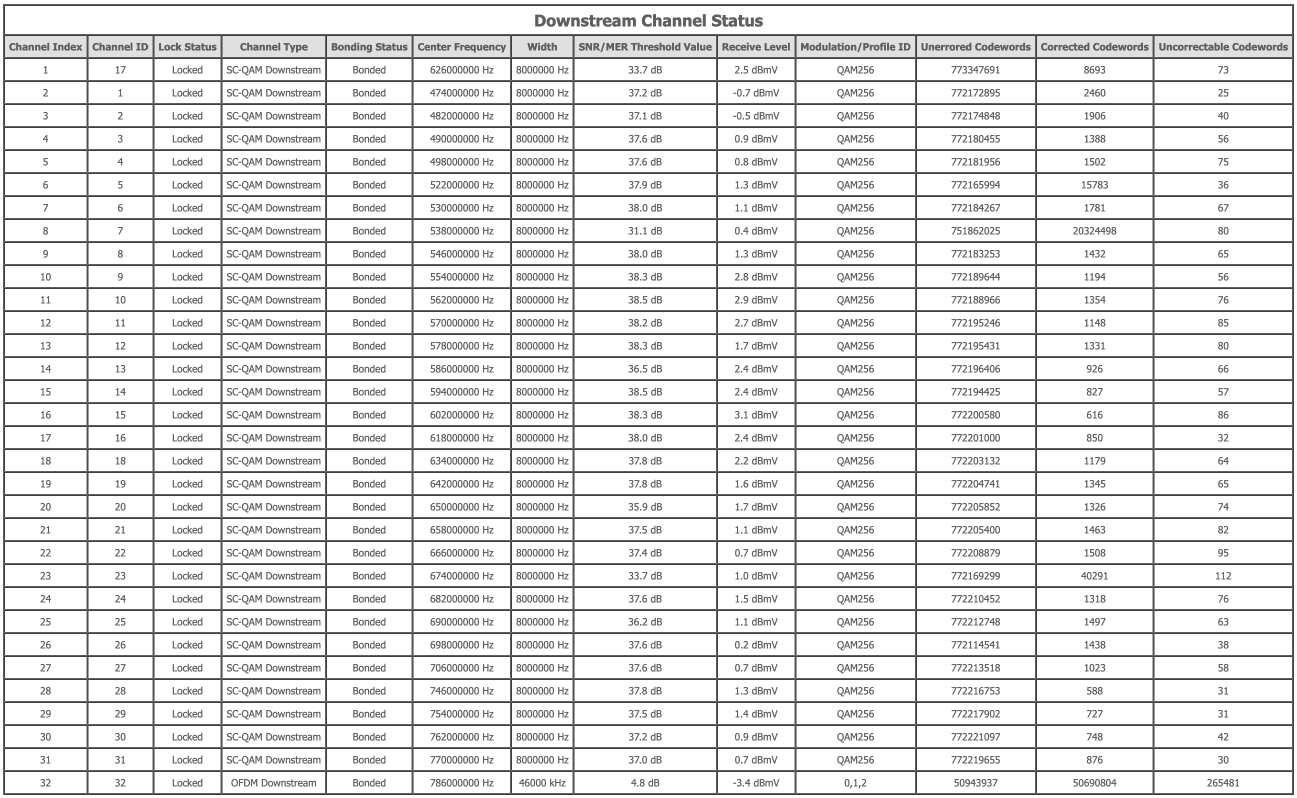
Seit heute habe ich Probleme mit dem Internet und was finde ich im TC4400?
Einen OFDM Kanal...

Laut SMS von Unitymedia ist die Störung behoben...
Leider nein, mein Internerzugang ist immer noch gestört.
Surfen? Glückssache. Streamen? Unmöglich.

HFrkamO.png
 
  • Technicolor TC4400 Docsis 3.1 Modem Info Thread Beitrag #5.713
Hallo allerseits,

ich bin seit gut einer Woche ebenfalls glücklicher und somit Leidgeplagter Besitzer eines TC4400 :smile:
Kurz gesagt: Leitung okay, im Falle eines defekts durch Herrn Werner ein Tauschgerät (Danke!) erhalten, aber die Online LED blinkt, DHCP failed etc...
Ich hänge an einem berüchtigten CMTS von Casa Systems...
Heute hab ich bei meinem Anruf meinen Anstand auf Minimum reduziert und hab die Keule der BNetzA geschwungen...
Wurde mit der Technik verbunden, der hat sich alle Daten (Typ, Firmware, angeschlossene Geräte, etc.) sauber notiert und es soll in maximal 2 Tagen laufen.
Ich hänge hier mal die Logfiles an und werde weiter berichten. :zwinker:
Achja: 400/40er Leitung, Württemberg

444kyn.png

5avkan.png

6v4j44.png

7x7jr8.png


Grüße

ToM
 
  • Technicolor TC4400 Docsis 3.1 Modem Info Thread Beitrag #5.714
Wurde mit der Technik verbunden, der hat sich alle Daten (Typ, Firmware, angeschlossene Geräte, etc.) sauber notiert und es soll in maximal 2 Tagen laufen.
Ich drücke Dir die Daumen. Die Umstellung wird klappen, funktionieren aber wohl eher nicht. Das TC4400 bekommt keine noservice.bin, siehe https://www.unitymediaforum.de/viewtopic.php?f=53&t=36248&start=5275#p438483 und https://www.unitymediaforum.de/viewtopic.php?f=53&t=36248&start=5550#p439092. Kein gutes Zeichen. :traurig:
Wenn es nur nicht provisioniert ist sollte es doch eig. die noservice.bin ziehen und sich mit allen vorhandenen Kanälen verbinden. Das sieht mir hier eher nach dem Casa Bug aus.
 
  • Technicolor TC4400 Docsis 3.1 Modem Info Thread Beitrag #5.715
Danke! :smile:
Doch, das muss und wird funktionieren.
Erstens bin nunmal ICH der Kunde, und ich habe dazu noch Recht. (und weiss das auch noch == gefährlich).
Zweitens: sollten die das nicht schaffen (wollen), dann geht erstmal ein Schreiben parallel an die Netzagentur und an die Geschäftsstelle. (desweiteren könnte man auch noch seine böse Anwältin loslassen, denn ich habe ein gesetzliches Recht auf die Modemfreiheit. Punkt.) :hammer:
Soweit wird es denke ich nicht kommen, denn die merken langsam auch, das es immer mehr Leute mit dem Gerät werden und sie nunmal müssen, ob se wollen oder edd.
Es ist nunmal immer eine Frage des Wollens und Könnens... :cool:

ToM
 
  • Technicolor TC4400 Docsis 3.1 Modem Info Thread Beitrag #5.716
Ping Statistik der letzten 3 Stunden...
Die Technik arbeitet angeblich dran.

Wie kommt das ein bescheidener OFDM Kanal das TC4400 so aus der Bahn wirft?

--- google.de ping statistics ---
10428 packets transmitted, 5615 packets received, 46.2% packet loss
round-trip min/avg/max/stddev = 8.185/17.373/64.081/7.711 ms

--- ipv6.l.google.com ping6 statistics ---
10294 packets transmitted, 4804 packets received, 53.3% packet loss
round-trip min/avg/max/std-dev = 8.749/19.118/64.140/7.823 ms
 
  • Technicolor TC4400 Docsis 3.1 Modem Info Thread Beitrag #5.717
Seit heute habe ich Probleme mit dem Internet und was finde ich im TC4400?
Einen OFDM Kanal...

Laut SMS von Unitymedia ist die Störung behoben...
Leider nein, mein Internerzugang ist immer noch gestört.
Surfen? Glückssache. Streamen? Unmöglich.

HFrkamO.png

Dein OFDM Kanal ist nicht zu gebrauchen. MER bei 4db zudem die ganzen unkorrigierten Fehler :traurig:

Da dass Modem wahrscheinlich im Wechsel überträgt empfängst Du nur noch 50%.

Evtl. per SNMP auf DOCSIS 3.0 umschalten bis UM den Kanal im Griff hat :kratz:
 
  • Technicolor TC4400 Docsis 3.1 Modem Info Thread Beitrag #5.718
Genau. Der OFDM ist noch nicht eingemessen. Einfach via SNMP ausblenden. Findet sich hier im Thread ne Anleitung zu. Seite 170 oder sowas.
 
  • Technicolor TC4400 Docsis 3.1 Modem Info Thread Beitrag #5.719
Wie kommt das ein bescheidener OFDM Kanal das TC4400 so aus der Bahn wirft?
Der wird möglicherweise bevorzugt genutzt, d.h. erst wenn der OFDM-Kanal voll ausgelastet ist, wird ein SC-QAM Kanal genutzt, um Daten an Dein Modem zu schicken.

Bei Vodafone Kabel ist es übrigens schon so, dass man die MAC-Adressen vieler DOCSIS 3.1 Modems gar nicht mehr mit einem DOCSIS 3.0 Analyzer (DVB-C Stick) zu sehen bekommt, weil die exklusiv über den OFDM-Block beliefert werden. Nur über die Zuteilungen der Upstream-Sendezeitschlitze merkt man dann noch, dass es eine "dunkle Materie" von Kabelmodems geben muss...
 
  • Technicolor TC4400 Docsis 3.1 Modem Info Thread Beitrag #5.720
Über SNMP kannst Du im unprovisionierten Zustand den OFDM ein- und ausschalten. Dazu schreibst Du entweder die 1 (OFDM aktiv) oder die 2 (OFDM nicht aktiv), jeweils integer, in die OID 1.3.6.1.4.1.46366.4292.77.1.307.0.

Ich habe grade versucht den OFDM Kanal mit dieser Info zu deaktiveren.
Funktioniert leider nicht...

Aufbau:
- TC4400 nur an Strom und LAN
- Firmware 70.12.40-180627
- Laptop fest auf 192.168.100.2 gestellt und direkt mit TC4400 verbunden
- iReasoning MIB Browser
- Walk funktioniert

Ich kann die entsprechende OID nicht verändern.

Sagt mir bitte nicht es liegt an der Firmware.
Dann wäre ich ja auf Unitymedia angewiesen...
 
  • Technicolor TC4400 Docsis 3.1 Modem Info Thread Beitrag #5.721
Du musst die 1.3.6.1.4.1.46366.4292.77.1.307.0 als Integer mit dem Wert 2 schreiben.
 
  • Technicolor TC4400 Docsis 3.1 Modem Info Thread Beitrag #5.722
Das versuche ich und erhalte diese Fehlermeldung:
hohLGi1.png


Unter Advanced habe ich folgendes eingestellt:
Address: 192.168.100.1
Port: 161 (voreingestellt)
Read Community: public
Write Community: public
SNMP Version: 2
 
  • Technicolor TC4400 Docsis 3.1 Modem Info Thread Beitrag #5.723
Nimm mal SNMP version 1, das nutze ich.
 
  • Technicolor TC4400 Docsis 3.1 Modem Info Thread Beitrag #5.724
Macht es nicht besser... verändert nur die Fehlermeldung :D
oFFFWnm.png

SDbTL2l.png


Hab das Modem jetzt nochmal neugestartet und das ändert auch nichts.
 
  • Technicolor TC4400 Docsis 3.1 Modem Info Thread Beitrag #5.725
Ist es denn wirklich unprovisioniert, oder ist da schon ein configfile von UM drauf?
 
Thema:

Technicolor TC4400 Docsis 3.1 Modem Info Thread

Technicolor TC4400 Docsis 3.1 Modem Info Thread - Ähnliche Themen

Netgear CM2000 (US Modem): Dank DOCSIS 3.1 und dem dortigen Wegfall der Unterscheidung zwischen DOCSIS und EuroDOCSIS sind einige Modems aus den USA durchaus im Vodafone...
Unitymedia Technicolor CGA4233 Docsis 3.1 Router Info Tread: Wie auch schon bei TC4400 dient dieser Thread zum Sammeln von Informationen zum Technicolor CGA4233. Default login: user / VTmgQapcEUaE Link zum...
Unitymedia Kabelmodem Arris CM8200B: Moin, Das Arris CM8200B wurde hier schon gelegentlich erwähnt, aber nie vertiefend. Da bei mir seit ein paar Tagen eines herumsteht starte ich...
Unitymedia Cisco EPC3208 verliert immer Verbindung -> Vodafone Station als Lösung? (DOCSIS 3.1 schuld?): Nabend! Ich habe seit 25.11. plötzlich ein massives Problem mit meinem Anschluß, und könnte etwas Aufklärung von Insidern brauchen bevor ich zur...
Unitymedia [Q] Probleme mit Bridge Network Model Virtualisierungsserver: Hallo! Ich habe eine Virtualisierungsplattform mit Web-Oberfläche (Proxmox VE 3.3) aufgesetzt und den Server direkt mit dem Kabel-Gateway TC7200...
Oben