• Kunden aus Hessen und Nordrhein-Westfalen können über die Rufnummer 0221 / 466 191 00 Hilfe bei allen Problemen in Anspruch nehmen.
    Kunden aus Baden-Württemberg können über die Rufnummer 0711 / 54 888 150 Hilfe bei allen Problemen in Anspruch nehmen.

Unitymedia Technicolor TC4400 Docsis 3.1 Modem Info Thread

Diskutiere Technicolor TC4400 Docsis 3.1 Modem Info Thread im Internet und Telefon über das TV-Kabelnetz Forum im Bereich Internet und Telefon; @GamEasedYT Das Gerät hat immer die 192.168.100.1, weil das ein Teil des DOCSIS-Standards ist. Das ist nicht änderbar. DHCP macht es, damit es...
  • Technicolor TC4400 Docsis 3.1 Modem Info Thread Beitrag #7.551
@GamEasedYT
Das Gerät hat immer die 192.168.100.1, weil das ein Teil des DOCSIS-Standards ist. Das ist nicht änderbar.
DHCP macht es, damit es Leute einfacher haben, auf die Diagnosedaten zuzugreifen, wenn Internet weg ist. Sobald das Gerät einen Uplink erfolgreich hergestellt hat, wird der eingebaute DHCP-Daemon inaktiv.

Du kannst da nichts dran administrieren, sondern nur Diagnosedaten abrufen. Der Unterschied bei den Zugängen besteht darin, welche Daten man einsehen kann.
 
  • Technicolor TC4400 Docsis 3.1 Modem Info Thread Beitrag #7.552
Habe heute endlich mal mein Modem mit 20er Firmware durch das neue mit der 41er Firmware ersetzt. Zu Beginn war es etwas komisch, da die DS LED ewig geblinkt hat, bis sie endlich dauerhaft leuchtete. Ich dachte schon, das Modem hat nen Defekt. Aber dann ging es doch irgendwann :)

Was ich nun komisch finde: Ich kann das Modem auf der 10er Mgmt IP nicht erreichen. Ist das normal? Auf der 192.168.100.1 komm ich drauf, aber nicht auf der 10er. Mach ich was falsch? Die Firewall lässt den Traffic durch, das sehe ich im Log, krieg abr dennoch einen ERR_CONNECTION_TIMED_OUT
 
  • Technicolor TC4400 Docsis 3.1 Modem Info Thread Beitrag #7.553
Ist bei der .41 normal :)
 
  • Technicolor TC4400 Docsis 3.1 Modem Info Thread Beitrag #7.554
Hallo zusammen,
ich habe aktuell das TC mit der .20er Firmware-Version an einer UM 200/20 Leitung laufen. Läuft auch alles soweit wunderbar und habe mich eine ganze Weile nicht mehr darum gekümmert (never change a running system). Jetzt lese ich hier noch mal rein und sehe was von Bug in der Firmware, aber dann doch nicht mehr so schlimm, sobald das Modem Online ist usw... macht es nun Sinn das Modem upzudaten oder wie sind da Eure Meinungen. So eine "Zusammenfassung" der ganzen Erkenntnisse wäre toll (ist bei 300 Seiten etwas schwer alles nachzuvollziehen).
 
  • Technicolor TC4400 Docsis 3.1 Modem Info Thread Beitrag #7.555
Hallo zusammen,

ich habe mit meinem TC-4400 immer wieder kurze Aussetzer. Kann mir jemand helfen woran es liegt und was ich ggf. Unitymedia mitteilen muss?

Vielen Dank!

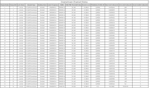
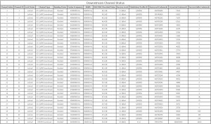
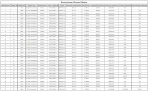
Hier ein paar Screenshots:
Downstream.JPG
Upstream.JPG
thinkbroadband.JPG
 
  • Technicolor TC4400 Docsis 3.1 Modem Info Thread Beitrag #7.556
Was verstehst Du unter kurze Aussetzer? Den Paketloss auf dem Graphen? Wie lange ist das Modem nun online (ohne Neustart)?
 
  • Technicolor TC4400 Docsis 3.1 Modem Info Thread Beitrag #7.557
Das Modem ist ca. 24 Tage online. Habe die Packetloss aber auch nach einem Neustart.
 
  • Technicolor TC4400 Docsis 3.1 Modem Info Thread Beitrag #7.558
macht es nun Sinn das Modem upzudaten oder wie sind da Eure Meinungen.
Ich würde das Modem nicht updaten. Du kannst den Traffic zum Port 8080 der MgmtIP und der 192er IP auf Deiner Firewall blockieren. Dann bist Du vor Cable Haunt soweit sicher. Problematischer sind in der Hinsicht Kabelrouter, die keine weitere Firewall mehr angebunden haben. Hier würde ich ein Update anraten.
 
  • Technicolor TC4400 Docsis 3.1 Modem Info Thread Beitrag #7.559
Das Modem ist ca. 24 Tage online. Habe die Packetloss aber auch nach einem Neustart.
OK. Der Powerlevel ist etwas hoch, aber der Packetloss kommt sicher vom Segment. Entweder irgendwo ein Störer, oder der US ist teilweise nicht so prall. Sieht aber nicht nach viel aus, würde hier also gar nichts unternehmen und abwarten.
 
  • Technicolor TC4400 Docsis 3.1 Modem Info Thread Beitrag #7.560
Ich würde das Modem nicht updaten. Du kannst den Traffic zum Port 8080 der MgmtIP und der 192er IP auf Deiner Firewall blockieren. Dann bist Du vor Cable Haunt soweit sicher. Problematischer sind in der Hinsicht Kabelrouter, die keine weitere Firewall mehr angebunden haben. Hier würde ich ein Update anraten.
Danke dir für die Info,
die MgmtIP ist die .100.1(aber nur wenn kein Coax-kabel dran ist, oder?)? Bzw welche beiden wären es ? ;-)
 
  • Technicolor TC4400 Docsis 3.1 Modem Info Thread Beitrag #7.561
die MgmtIP ist die .100.1(aber nur wenn kein Coax-kabel dran ist, oder?)? Bzw welche beiden wären es ? ;-)
Die Mgmt IP ist die 10.x.x.x IP, welche Du im WebUI des Modems auslesen kannst, wenn Du Dich per 192.168.100.1 einloggst. Du musst den Traffic aus Deinem eigenen LAN auf den Port 8080 beider IPs blockieren (DENY).
 
  • Technicolor TC4400 Docsis 3.1 Modem Info Thread Beitrag #7.562
Die Mgmt IP ist die 10.x.x.x IP, welche Du im WebUI des Modems auslesen kannst, wenn Du Dich per 192.168.100.1 einloggst. Du musst den Traffic aus Deinem eigenen LAN auf den Port 8080 beider IPs blockieren (DENY).
Alles klar, danke! Das ist ja kein Problem wenn man das Ziel kennt ;-)

Kann noch einer was zu den Leitungswerten sagen - ob ok, nicht ok.. :-D
 

Anhänge

  • DS.jpg
    DS.jpg
    563 KB · Aufrufe: 38
  • US.jpg
    US.jpg
    76,8 KB · Aufrufe: 33
  • Technicolor TC4400 Docsis 3.1 Modem Info Thread Beitrag #7.563
Die Leitungswerte sehen gut aus.
 
  • Technicolor TC4400 Docsis 3.1 Modem Info Thread Beitrag #7.564
  • Technicolor TC4400 Docsis 3.1 Modem Info Thread Beitrag #7.565
Wie lange ist das Modem ohne Neustart?
 
  • Technicolor TC4400 Docsis 3.1 Modem Info Thread Beitrag #7.567
Ich würde es mal neustarten und ein paar Tage beobachten, wie schnell die Fehler hoch gehen. Durch Wartungsarbeiten kann es sein, dass Du einige hast. Aber als Faustregel gilt, wenn die Uncorrectable niedriger als die Correctable sind, spürt man keine Beeinflussung.
 
  • Technicolor TC4400 Docsis 3.1 Modem Info Thread Beitrag #7.568
Ich würde es mal neustarten und ein paar Tage beobachten, wie schnell die Fehler hoch gehen. Durch Wartungsarbeiten kann es sein, dass Du einige hast. Aber als Faustregel gilt, wenn die Uncorrectable niedriger als die Correctable sind, spürt man keine Beeinflussung.
Alles klar, schon mal vielen vielen Dank für die Hilfe
 
  • Technicolor TC4400 Docsis 3.1 Modem Info Thread Beitrag #7.569
OK. Der Powerlevel ist etwas hoch, aber der Packetloss kommt sicher vom Segment. Entweder irgendwo ein Störer, oder der US ist teilweise nicht so prall. Sieht aber nicht nach viel aus, würde hier also gar nichts unternehmen und abwarten.
Danke für deine Antwort. Gestern Abend wurde bei mir Vodafone CableMax 1000 geschaltet. Das Modem ist nun 17 Stunden online. Gegen das Packetloss kann man nichts machen? Ich bin häufig per Remote auf meinem Rechner aufgeschaltet und ab und zu geht immer kurzzeitig die Verbindung weg.
thinkbroadband.JPG
 

Anhänge

  • Downstream.JPG
    Downstream.JPG
    256,4 KB · Aufrufe: 31
  • Upstream.JPG
    Upstream.JPG
    44,5 KB · Aufrufe: 29
  • Technicolor TC4400 Docsis 3.1 Modem Info Thread Beitrag #7.570
Einfach mal eine Störung melden, dass das mal vor Ort richtig gemessen wird.
 
  • Technicolor TC4400 Docsis 3.1 Modem Info Thread Beitrag #7.571
Aloha allerseits!
Mit den jetzt überall aus dem Boden sprießenden Gigacable-Tarifen kommen zumindest die, die 1000mbps erhalten (zu denen ich noch nicht gehöre), doch langsam in die Regionen, wo ein GE-Port nicht mehr ausreicht (afaik werden 1000mbps plus soundsoviel Prozent provisioniert). Hat schon jemand mit dem tc4400 bonding ausprobiert? Spricht das Modem hier "echtes" lacp oder ist das nur ein roundrobin loadbalancing (xor-lb ist ja witzlos)? Wurden mehr als 1gbps erreicht?
 
  • Technicolor TC4400 Docsis 3.1 Modem Info Thread Beitrag #7.572
Ja probiert schon. Es funktioniert, aber nicht wirklich brauchbar. Empfehlen kann ich es nicht. Echtes LACP kann es nicht, eher Roundrobin. Mit dem TM3402B dürfte man hier etwas mehr Glück haben, wobei auch das kein echtes LACP kann.
 
  • Technicolor TC4400 Docsis 3.1 Modem Info Thread Beitrag #7.573
Na, 1000mbps und damit bonding hat sich für mich wohl eh erledigt. Obwohl Hanau laut Enterprise-Locator prinzipiell eine Gigabit-City ist, ist das hiesige Neubaugebiet davon ausgenommen. Grau: Kein Ausbau geplant.
 
  • Technicolor TC4400 Docsis 3.1 Modem Info Thread Beitrag #7.575
Es gibt keine Gebiete die nicht ausgebaut werden sollen.
Na dann bin ich ja mal gespannt, wann ausgebaut wird.
Aber mal im Ernst:
Screenshot_2020-02-19 Enterprise-Locator.png
Ich sehe technisch auch keinen Grund, weshalb hier keine 1000mbps oder mehr möglich sein sollten. Vielleicht hängt's mit dem Extraverstärker für dieses Wohngebiet zusammen, kA. 🤷‍♂️
 
Thema:

Technicolor TC4400 Docsis 3.1 Modem Info Thread

Technicolor TC4400 Docsis 3.1 Modem Info Thread - Ähnliche Themen

Netgear CM2000 (US Modem): Dank DOCSIS 3.1 und dem dortigen Wegfall der Unterscheidung zwischen DOCSIS und EuroDOCSIS sind einige Modems aus den USA durchaus im Vodafone...
Unitymedia Technicolor CGA4233 Docsis 3.1 Router Info Tread: Wie auch schon bei TC4400 dient dieser Thread zum Sammeln von Informationen zum Technicolor CGA4233. Default login: user / VTmgQapcEUaE Link zum...
Unitymedia Kabelmodem Arris CM8200B: Moin, Das Arris CM8200B wurde hier schon gelegentlich erwähnt, aber nie vertiefend. Da bei mir seit ein paar Tagen eines herumsteht starte ich...
Unitymedia Cisco EPC3208 verliert immer Verbindung -> Vodafone Station als Lösung? (DOCSIS 3.1 schuld?): Nabend! Ich habe seit 25.11. plötzlich ein massives Problem mit meinem Anschluß, und könnte etwas Aufklärung von Insidern brauchen bevor ich zur...
Unitymedia [Q] Probleme mit Bridge Network Model Virtualisierungsserver: Hallo! Ich habe eine Virtualisierungsplattform mit Web-Oberfläche (Proxmox VE 3.3) aufgesetzt und den Server direkt mit dem Kabel-Gateway TC7200...
Oben