- Technicolor TC4400 Docsis 3.1 Modem Info Thread Beitrag #7.601
Starcrawler
- Beiträge
- 1
- Punkte Reaktionen
- 0
Vielleicht hat ja jemand auch noch bei mir einen Tipp oder eine Empfehlung. 
Es ist so, dass der OFDM hier vor ein paar Tagen aufgeschaltet wurde. Ohne Sperrfilter läuft die Leitung gar nicht, ist quasi unbenutzbar. Zum Glück hatte ich einen Filter provisorisch gekauft.
Mit Sperrfilter läuft alles soweit in Ordnung, keine Verzögerungen oder Aussetzer. Ich warte jetzt noch mal ein paar Tage oder Wochen ab, denke hier wird UM nachbessern (müssen).
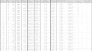
Was mich nur verunsichert, sind die Uncorrectable Codewords. Diese treten aber nur sporadisch und intervallmäßig aus.
Zum Beispiel stehen die Uncorrectable Codewords für 12 Stunden oder 24 Stunden bei 0 und springen dann schlagartig auf > 100.
Also ob jemand an der Leitung "wackeln" würde ...
Standard Specification Compliant Docsis 3.1
Hardware Version TC4400 Rev:3.6.0
Software Version 70.12.41-180903
Cable Modem MAC Address XXXXXXXXXXXXX
Cable Modem Serial Number XXXXXXXXXXXXX
CM certificate Installed
Danke und ich wünsche euch allen ein schönes WE!
Es ist so, dass der OFDM hier vor ein paar Tagen aufgeschaltet wurde. Ohne Sperrfilter läuft die Leitung gar nicht, ist quasi unbenutzbar. Zum Glück hatte ich einen Filter provisorisch gekauft.
Mit Sperrfilter läuft alles soweit in Ordnung, keine Verzögerungen oder Aussetzer. Ich warte jetzt noch mal ein paar Tage oder Wochen ab, denke hier wird UM nachbessern (müssen).
Was mich nur verunsichert, sind die Uncorrectable Codewords. Diese treten aber nur sporadisch und intervallmäßig aus.
Zum Beispiel stehen die Uncorrectable Codewords für 12 Stunden oder 24 Stunden bei 0 und springen dann schlagartig auf > 100.
Also ob jemand an der Leitung "wackeln" würde ...
Standard Specification Compliant Docsis 3.1
Hardware Version TC4400 Rev:3.6.0
Software Version 70.12.41-180903
Cable Modem MAC Address XXXXXXXXXXXXX
Cable Modem Serial Number XXXXXXXXXXXXX
CM certificate Installed
Danke und ich wünsche euch allen ein schönes WE!




