- Technicolor TC4400 Docsis 3.1 Modem Info Thread Beitrag #7.651
addicted
- Beiträge
- 4.868
- Punkte Reaktionen
- 136
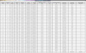
Ich finde der Power-Level fällt in den hohen Frequenzen zu stark ab. Den OFDM finde ich mit 30 dB nicht mehr schön.
Follow along with the video below to see how to install our site as a web app on your home screen.
Anmerkung: This feature may not be available in some browsers.
Danke! Der Rest und die Werte auch ok? Auch die „Uncorrectable Codewords"?QAM1024.
Gut, alles klar. Wieso mein Upload nicht voll ankommt ist eher fraglich.Die Werte sehen gut aus, ja. Mach Dir um die Uncorrectables keine Sorgen. Die sind beim OFDM eh nicht so kritisch.
Um das mal wieder aufzugreifen: In den configfiles sollte neben der SNMP-Community auch der für diese Community erlaubte Netzbereich stehen. Ein docsis-binfile müsste™ eigentlich ein tlv sein (type, length, value), aber ich bekomme da nichts sinnvolles drauf gemappt. Alle mir bekannten docsis-tools, die zwischen Text- und Binärformat hin- und herkonvertieren, scheitern sowohl an der no-service.bin als auch an den cust-own- und generic-configs. Gut, die community könnte man noch über 'strings' auslesen, beim Netz streiche ich aber erstmal die Segel.Ich vermute, die community ist an eine bestimmte Source-IP-Adresse gebunden. Leider bekomme ich die config files auch nicht sauber dekodiert, weder "oscar" noch "docsis" können da tiefer reinschauen.
Bin da kein Experte, aber für mein Empfinden ist das schon besser. Einzig der SNR des OFDM, der nachwievor eher Richtung 30 geht statt Richtung 40, fällt mir "negativ" auf.Sind die Werte so besser?

