• Kunden aus Hessen und Nordrhein-Westfalen können über die Rufnummer 0221 / 466 191 00 Hilfe bei allen Problemen in Anspruch nehmen.
    Kunden aus Baden-Württemberg können über die Rufnummer 0711 / 54 888 150 Hilfe bei allen Problemen in Anspruch nehmen.

Unitymedia Technicolor TC4400 Docsis 3.1 Modem Info Thread

Diskutiere Technicolor TC4400 Docsis 3.1 Modem Info Thread im Internet und Telefon über das TV-Kabelnetz Forum im Bereich Internet und Telefon; War lange nicht hier unterwegs und bevor ich die 300 seiten nachlese: Gibt es mittlerweile eine Möglichkeit die Firmware des Modems zu...
  • Technicolor TC4400 Docsis 3.1 Modem Info Thread Beitrag #7.576
War lange nicht hier unterwegs und bevor ich die 300 seiten nachlese: Gibt es mittlerweile eine Möglichkeit die Firmware des Modems zu aktualisieren und wenn ja wie?
 
  • Technicolor TC4400 Docsis 3.1 Modem Info Thread Beitrag #7.577
Selbst kann man nix updaten, aber Du kannst zu Werner Elektronikshop Kontakt aufnehmen und ihn um 1 Angebot bitten. Das Gerät muss hierfür aber eingeschickt werden und ist ne Weile weg.
 
  • Technicolor TC4400 Docsis 3.1 Modem Info Thread Beitrag #7.578
Hi zusammen,

Ich lese hier, dass einige von euch auch das gleiche Problem wie haben, bzw. in der Vergangenheit hatten.

Ich habe nämlich einen Packetloss von etwa 98% (innerhalb von 24h gemessen).
Mein Router (ein Asus RT-AC86U, aktuellste Merlin SW) kriegt zwar eine öffentliche IPv4 Adresse, allerdings ist (fast) kein Datenverkehr möglich. Gelegentlich gehen ein oder zwei Pings durch, aber das ist auch schon alles.
Das ganze passiert, seit dem ich auf das 1000/50-Paket umgestiegen bin.

Die Telefonsupport ist leider wenig hilfreich. Sie versuchen mir immer die "Comfort"-Option zu verkaufen, können mein Problem nur aufnehmen, aber kein Bearbeitungsstand nennen, etc..
Mir wurde jedoch gesagt, dass der Fehler auf der Seite von Unitymedia (bzw. jetzt Vodafone) liegt und das sich "jemand aus der Technik-Abteilung meldet", allerdings habe ich jetzt seit paar Tagen keine Rückmeldung erhalten. Ich verlasse mich daher auf eure Fachkenntnisse, die mich in den vorangegangenen Posts wirklich begeistert haben! :)

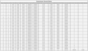
Ich wäre euch allen sehr dankbar, wenn ihr einen Blick auf meine Parameter in den Screenshots werfen und mir ein paar Hinweise, bzw. eure Meinung geben könntet.

Danke!
 

Anhänge

  • Screenshot 2020-02-20 at 22.46.27.png
    Screenshot 2020-02-20 at 22.46.27.png
    972,5 KB · Aufrufe: 64
  • Screenshot 2020-02-20 at 22.46.41.png
    Screenshot 2020-02-20 at 22.46.41.png
    53,5 KB · Aufrufe: 61
  • Screenshot 2020-02-20 at 22.46.57.png
    Screenshot 2020-02-20 at 22.46.57.png
    94,3 KB · Aufrufe: 57
  • Screenshot 2020-02-20 at 22.48.33.png
    Screenshot 2020-02-20 at 22.48.33.png
    81,3 KB · Aufrufe: 51
  • Screenshot 2020-02-20 at 22.52.41.png
    Screenshot 2020-02-20 at 22.52.41.png
    53,5 KB · Aufrufe: 43
  • Technicolor TC4400 Docsis 3.1 Modem Info Thread Beitrag #7.579
@keskol der OFDM hat ein zu schlechtes Signal.
Mir persönlich gefällt auch der US-Powerlevel nicht, aber da scheint er ja zu bonden, also ist das offenbar nicht so schlimm.

Hattest Du vor der Buchung des neuen Tarifes wirklich keine Probleme?
 
  • Technicolor TC4400 Docsis 3.1 Modem Info Thread Beitrag #7.580
@keskol der OFDM hat ein zu schlechtes Signal.
Mir persönlich gefällt auch der US-Powerlevel nicht, aber da scheint er ja zu bonden, also ist das offenbar nicht so schlimm.

Hattest Du vor der Buchung des neuen Tarifes wirklich keine Probleme?

Hi @addicted
Ich hatte schon mal das gleiche Problem, allerdings war ich für einige Zeit beruflich Unterwegs und als ich nach paar Wochen zurück nach Hause kam, ging wieder alles. Damals habe ich auch mit der Hotline telefoniert, was aber dazwischen passiert ist, ist mir leider nicht bekannt und ich hatte auch keine Möglichkeit, mir das Problem genauer anzuschauen.. Ich war nur froh, dass es funktioniert hat :)
Ich danke Dir allerdings für Dein Feedback! Ich bin wirklich verzweifelt gewesen, ob es an meinem TC4400, oder an der Leitung lag.

Kann ich das an die Support so weiterleiten?
 
  • Technicolor TC4400 Docsis 3.1 Modem Info Thread Beitrag #7.581
Gibt hier noch ein paar Experten für Signalwerte (z.B. @Hemapri @rv112), deren Bestätigung würde ich nochmal abwarten. Ich bin eher so Amateur mit gefährlichem Halbwissen auf dem Gebiet ;)
 
  • Technicolor TC4400 Docsis 3.1 Modem Info Thread Beitrag #7.582
Der obere Frequenzbereich fällt ab, der OFDM ist ebenfalls zu schlecht und Dein Hauptproblem. Der US ist ebenfalls grenzwertig. Die Hotline hat in diesem Fall recht, dass die Störung auf ihrer Seite liegt. Demnach nochmal Störung melden und frisch einmessen lassen. Das Modem hat natürlich nix.
 
  • Technicolor TC4400 Docsis 3.1 Modem Info Thread Beitrag #7.583
Die Telefonsupport ist leider wenig hilfreich. Sie versuchen mir immer die "Comfort"-Option zu verkaufen, können mein Problem nur aufnehmen, aber kein Bearbeitungsstand nennen, etc..
Mir wurde jedoch gesagt, dass der Fehler auf der Seite von Unitymedia (bzw. jetzt Vodafone) liegt und das sich "jemand aus der Technik-Abteilung meldet", allerdings habe ich jetzt seit paar Tagen keine Rückmeldung erhalten.
Nix telefonisch machen. Email an [email protected] mit "Beschwerde" im Betreff. Freundlich das Problem dokumentieren und auf die Historie verweisen, eine Frist von 14 Tagen zur Behebung setzen und alternativ die Sonderkündigung schonmal avisieren. Das bringt den Laden idR schnell in Bewegung und Du kommst in Bereiche, die Du per Telefon niemals erreichst.

Obiges Vorgehen hat bei mir zu einem kompletten Neubau der Anlage geführt sowie zu einem persönlichen Ansprechpartner im Beschwerdemanagement und einem Dauerrabatt zur Wiedergutmachung iHv 15€ für die ganze Vertragslaufzeit.
 
  • Technicolor TC4400 Docsis 3.1 Modem Info Thread Beitrag #7.584
@keskol : Die gleichen Symptome hatte ich auch vor kurzem. Bei mir hat ein neues TC4400 das Problem gelöst. Allerdings habe ich mittlerweile den Verdacht (jetzt, wo ich einen Vergleich habe), dass mein altes TC4400 einfach zu heiß lief. Eventuell mal einen Ventilator darauf richten und schauen, ob es etwas bringt.
 
  • Technicolor TC4400 Docsis 3.1 Modem Info Thread Beitrag #7.585
Hallo zusammen,

ich hatte diesen Beitrag zuerst in einem anderen Thread geschrieben, habe aber jetzt gemerkt, dass es scheinbar ein eher generelles Problem ist. Den alten Beitrag werden ich dann löschen.
Seit gestern morgen komme ich auch nicht mehr ins Netz mit dem TC4400, es geht quasi gar nichts mehr. Ich erhalte eine IPv4 Adresse und das war es leider.

Der Techniker soll nun sogar schon heute nachmittag kommen, ich bin aber unsicher ob er wirklich etwas bewirken kann/will.

Anbei die üblichen Screenshots, es wäre freundlich wenn ihr Profis das bewerten könntet.

Besten Dank!
 

Anhänge

  • downstream.jpg
    downstream.jpg
    363,9 KB · Aufrufe: 54
  • upstream.png
    upstream.png
    12,3 KB · Aufrufe: 48
  • deviceinfo.jpg
    deviceinfo.jpg
    29,6 KB · Aufrufe: 26
  • status.JPG
    status.JPG
    40,7 KB · Aufrufe: 24
  • Technicolor TC4400 Docsis 3.1 Modem Info Thread Beitrag #7.586
@keskol : Die gleichen Symptome hatte ich auch vor kurzem. Bei mir hat ein neues TC4400 das Problem gelöst. Allerdings habe ich mittlerweile den Verdacht (jetzt, wo ich einen Vergleich habe), dass mein altes TC4400 einfach zu heiß lief. Eventuell mal einen Ventilator darauf richten und schauen, ob es etwas bringt.
@pascalp ich glaube nicht, dass es an der Temperatur liegen könnte, denn ich bin viel Unterwegs gewesen und in der Zwischenzeit war alles ausgeschaltet, u.a. die Heizung auch, es war also kalt :D
Die TC4400 habe ich an die Wand montiert und die Wand kann auch ein Teil der Wärme ableiten (theoretisch) - danke für Dein Tipp aber!
 
  • Technicolor TC4400 Docsis 3.1 Modem Info Thread Beitrag #7.587
Der obere Frequenzbereich fällt ab, der OFDM ist ebenfalls zu schlecht und Dein Hauptproblem. Der US ist ebenfalls grenzwertig. Die Hotline hat in diesem Fall recht, dass die Störung auf ihrer Seite liegt. Demnach nochmal Störung melden und frisch einmessen lassen. Das Modem hat natürlich nix.
Hallo @rv112 und danke Dir!
 
  • Technicolor TC4400 Docsis 3.1 Modem Info Thread Beitrag #7.588
Hallo zusammen,

ich hatte diesen Beitrag zuerst in einem anderen Thread geschrieben, habe aber jetzt gemerkt, dass es scheinbar ein eher generelles Problem ist. Den alten Beitrag werden ich dann löschen.
Seit gestern morgen komme ich auch nicht mehr ins Netz mit dem TC4400, es geht quasi gar nichts mehr. Ich erhalte eine IPv4 Adresse und das war es leider.

Der Techniker soll nun sogar schon heute nachmittag kommen, ich bin aber unsicher ob er wirklich etwas bewirken kann/will.

Anbei die üblichen Screenshots, es wäre freundlich wenn ihr Profis das bewerten könntet.

Besten Dank!
Ich würde vermuten dass hier der OFDM kürzlich aufgeschaltet wurde und noch nicht richtig eingestellt ist. Ist dem so? Falls ja, einfach ein paar Tage abwarten. Falls nein: Störung melden.
 
  • Technicolor TC4400 Docsis 3.1 Modem Info Thread Beitrag #7.589
Ich würde vermuten dass hier der OFDM kürzlich aufgeschaltet wurde und noch nicht richtig eingestellt ist. Ist dem so? Falls ja, einfach ein paar Tage abwarten. Falls nein: Störung melden.

Hallo rv112,

danke für deine Antwort. Ich denke ja, ich habe es aber nicht zu 100% beobachtet, da ich nicht weiß, wie es "vorher" aussah.
Störung ist wie beschrieben ohnehin gemeldet, Techniker sollte nachher kommen.
Ich vermute aber, er wird nichts machen können.
 
  • Technicolor TC4400 Docsis 3.1 Modem Info Thread Beitrag #7.590
Hallo,
Techniker war da und ist ohne Aktion wieder gegangen. Alle Werte seien ok, liegt am Modem und da kann er nix machen.

Was heißt denn ein paar Tage abwarten und wie sicher ist es denn, das irgendwann wieder „alles von alleine“ funktioniert?
 
  • Technicolor TC4400 Docsis 3.1 Modem Info Thread Beitrag #7.591
Hallo,
Techniker war da und ist ohne Aktion wieder gegangen. Alle Werte seien ok, liegt am Modem und da kann er nix machen.

Was heißt denn ein paar Tage abwarten und wie sicher ist es denn, das irgendwann wieder „alles von alleine“ funktioniert?
Dann wars ne Pfeiffe oder er hat Tomaten auf den Augen, der OFDM ist sowas von Out of Range...
 
  • Technicolor TC4400 Docsis 3.1 Modem Info Thread Beitrag #7.592
  • Technicolor TC4400 Docsis 3.1 Modem Info Thread Beitrag #7.593
2. mein Downloadspeed ist sehr unterschiedlich. habe eine 1Gbit Leitung, aber Speedtest von verschiedenen Seiten zeigt mir was zwischen 400 und 700 Mbit. Wahrscheinlich liegt es an Punkt 4.
3. Woher kommen die Dateien wie "cust-own_400000_40000_ds_sip_wifi-on.bin " oä.

2. Dann muss es irgendwo ein Flaschenhals geben. Der kann von hoher Auslastung in deinem Netzsegment, von zu niedrigem Throughput deines Routers oder Engpässen in deinem Heimnetzwerk kommen. Vielleicht kommt der verwendete Speedtest auch nicht mit höheren Geschwindigkeiten zurecht, oder es liegt tatsächlich eine Störung vor.

3. Das ist der Name der Konfig Datei die dein Internetanbieter an dein Modem schickt. Sie bestimmt die Internetgeschwindigkeit, die IP Konfiguration und andere Einstellungen die nur der Provider vornehmen kann.

Bei Unitymedia kann man am Namen die wichtigsten Eigenschaften des Vertrags ablesen:
cust-own bedeutet Kundeneignes Endgerät
Die Zahlen geben die freigeschaltete Internetgeschwindigkeit an
ds, dslite oder ip4 gibt den Anschlusstyp an
sip bedeutet, dass die Telefonie über SIP läuft.

Das TC4400 zeigt den Namen der Konfig Datei auf der Seite mit den Modemwerten an. Davon kannst du einen Screenshot schicken. Oft kann man anhand der Modemwerte sehen ob eine Störung vorliegt.
 
  • Technicolor TC4400 Docsis 3.1 Modem Info Thread Beitrag #7.594
2. Dann muss es irgendwo ein Flaschenhals geben. Der kann von hoher Auslastung in deinem Netzsegment, von zu niedrigem Throughput deines Routers oder Engpässen in deinem Heimnetzwerk kommen. Vielleicht kommt der verwendete Speedtest auch nicht mit höheren Geschwindigkeiten zurecht, oder es liegt tatsächlich eine Störung vor.

3. Das ist der Name der Konfig Datei die dein Internetanbieter an dein Modem schickt. Sie bestimmt die Internetgeschwindigkeit, die IP Konfiguration und andere Einstellungen die nur der Provider vornehmen kann.

Bei Unitymedia kann man am Namen die wichtigsten Eigenschaften des Vertrags ablesen:
cust-own bedeutet Kundeneignes Endgerät
Die Zahlen geben die freigeschaltete Internetgeschwindigkeit an
ds, dslite oder ip4 gibt den Anschlusstyp an
sip bedeutet, dass die Telefonie über SIP läuft.

Das TC4400 zeigt den Namen der Konfig Datei auf der Seite mit den Modemwerten an. Davon kannst du einen Screenshot schicken. Oft kann man anhand der Modemwerte sehen ob eine Störung vorliegt.
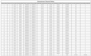
Ok, ich bin bei KD/VF und mein Configfile heißt "bac1050200030001d4b92f6af21c"

Code:
Startup Procedure
Procedure Status Comment
Acquire Downstream Channel 146000000 Hz Locked
Connectivity State OK Operational
Boot State OK Operational
Configuration File OK bac1050200030001d4b92f6af21c
Security Enabled BPI+

Anbei die Modemwerte, wenn du daraus was lesen kannst, wäre interessant.
 

Anhänge

  • 003.PNG
    003.PNG
    90,2 KB · Aufrufe: 40
  • 004.PNG
    004.PNG
    21,2 KB · Aufrufe: 37
  • Technicolor TC4400 Docsis 3.1 Modem Info Thread Beitrag #7.595
Modemwerte sehen soweit wie ich das beurteilen kann gut aus. Die sollte keine Probleme machen.

Kann sein, dass dein Segment an einem Freitag Abend einfach nicht mehr Geschwindigkeit hergibt. Ich würde zu einer ruhigeren Zeit nochmal Speedtests machen um das Problem einzuschränken.
 
  • Technicolor TC4400 Docsis 3.1 Modem Info Thread Beitrag #7.596
Modemwerte sehen soweit wie ich das beurteilen kann gut aus. Die sollte keine Probleme machen.

Kann sein, dass dein Segment an einem Freitag Abend einfach nicht mehr Geschwindigkeit hergibt. Ich würde zu einer ruhigeren Zeit nochmal Speedtests machen um das Problem einzuschränken.
Danke, werde ich mal testen. Gute N8
 
  • Technicolor TC4400 Docsis 3.1 Modem Info Thread Beitrag #7.597
Der Powerlevel im US ist viel zu hoch. Vermutlich weil die C-Linie abgedämpft wurde wegen Ingress. Auch der OFDM ist unsauber. Hier sollte die Leitung mal richtig gemessen werden.
 
  • Technicolor TC4400 Docsis 3.1 Modem Info Thread Beitrag #7.598
Der Powerlevel im US ist viel zu hoch. Vermutlich weil die C-Linie abgedämpft wurde wegen Ingress. Auch der OFDM ist unsauber. Hier sollte die Leitung mal richtig gemessen werden.
Danke! Dann werde ich den VF Router dran hängen und mal nachschauen ob es besser wird, Wenn es an der Leitung liegt, dann kann VD das mal checken.
 
  • Technicolor TC4400 Docsis 3.1 Modem Info Thread Beitrag #7.599
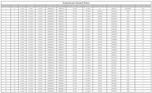
Ich habe das TC 4400 seit gestern Abend auch mit dem neuen CableMax 1000 Tarif laufen. Geschwindigkeit liegt voll an. Dennoch ist mir aufgefallen, dass ich im OFDM-Kanal einige unkorrigierbare Fehler habe. Kann sich meine Wert mal jemand ansehen? Das Modem läuft seit rund 3 Stunden. Im Moment würde ich sagen, dass ich von den unkorrigierbaren Fehlern nichts merke.
Screenshot 2020-02-22 at 14.13.19.png
Screenshot 2020-02-22 at 14.13.28.png
 
  • Technicolor TC4400 Docsis 3.1 Modem Info Thread Beitrag #7.600
Unschön, aber noch im Rahmen. Der Pegel ist allerdings grenzwertig. Eventuell doch mal frisch einmessen lassen. Der obere Frequenzbereich fällt etwas zu stark ab.
 
Thema:

Technicolor TC4400 Docsis 3.1 Modem Info Thread

Technicolor TC4400 Docsis 3.1 Modem Info Thread - Ähnliche Themen

Netgear CM2000 (US Modem): Dank DOCSIS 3.1 und dem dortigen Wegfall der Unterscheidung zwischen DOCSIS und EuroDOCSIS sind einige Modems aus den USA durchaus im Vodafone...
Unitymedia Technicolor CGA4233 Docsis 3.1 Router Info Tread: Wie auch schon bei TC4400 dient dieser Thread zum Sammeln von Informationen zum Technicolor CGA4233. Default login: user / VTmgQapcEUaE Link zum...
Unitymedia Kabelmodem Arris CM8200B: Moin, Das Arris CM8200B wurde hier schon gelegentlich erwähnt, aber nie vertiefend. Da bei mir seit ein paar Tagen eines herumsteht starte ich...
Unitymedia Cisco EPC3208 verliert immer Verbindung -> Vodafone Station als Lösung? (DOCSIS 3.1 schuld?): Nabend! Ich habe seit 25.11. plötzlich ein massives Problem mit meinem Anschluß, und könnte etwas Aufklärung von Insidern brauchen bevor ich zur...
Unitymedia [Q] Probleme mit Bridge Network Model Virtualisierungsserver: Hallo! Ich habe eine Virtualisierungsplattform mit Web-Oberfläche (Proxmox VE 3.3) aufgesetzt und den Server direkt mit dem Kabel-Gateway TC7200...
Oben