• Kunden aus Hessen und Nordrhein-Westfalen können über die Rufnummer 0221 / 466 191 00 Hilfe bei allen Problemen in Anspruch nehmen.
    Kunden aus Baden-Württemberg können über die Rufnummer 0711 / 54 888 150 Hilfe bei allen Problemen in Anspruch nehmen.

Unitymedia Technicolor TC4400 Docsis 3.1 Modem Info Thread

Diskutiere Technicolor TC4400 Docsis 3.1 Modem Info Thread im Internet und Telefon über das TV-Kabelnetz Forum im Bereich Internet und Telefon; nee die haben sogar schon einmal das Ticket einfach so geschlossen... Ich rufe morgen Vormittag nochmal an, wenn dann nix passiert ist schreibe...
  • Technicolor TC4400 Docsis 3.1 Modem Info Thread Beitrag #826
nee die haben sogar schon einmal das Ticket einfach so geschlossen...
Ich rufe morgen Vormittag nochmal an, wenn dann nix passiert ist schreibe ich eine Mail an die BNA. hab die Schnauze voll. Müssen ja nur eine MAC einpflegen.
 
  • Technicolor TC4400 Docsis 3.1 Modem Info Thread Beitrag #827
Nachdem mein Modem nun seit Wochen am Stück einwandfrei lief, hatte ich seit heute Nacht ein paar Packetloss dabei. Also aufs Modem geschaut und festgestellt dass 2 von 5 US Kanälen nur "Partial Bonded" waren. Kein Thema, Modem neustarten. Nur dann dauerte es über 1-2 Minuten bis der US verbunden war. Zusätzlich schwankte dabei die Transmitpower bei 308MHz zwischen 24 und 58dBmV. Nun ist nur noch ein US Kanal verbunden, allerdings gebondet mit QAM64. Der Upload kommt dadurch nicht über 15 MBit/s. Ich traue mich aber nicht das Modem noch mal neu zu starten.
Was könnte hier das Problem sein? Die kalten Temperaturen? Der Powerlevel im DS ist auch um 1-2 dBmV gestiegen. Mein Verstärker hängt im Speicher wo es derzeit deutlich unter 0 Grad sind.

Errorlog nach Neustart (zuvor keine Fehler):
Code:
 26 Time Not Established Critical (3) "SYNC Timing Synchronization failure - Failed to acquire QAM/QPSK symbol timing;;CM-MAC= 27 Time Not Established Critical (3) "No Ranging Response received - T3 time-out;CM-MAC= 28 Time Not Established Critical (3) "SYNC Timing Synchronization failure - Failed to acquire QAM/QPSK symbol timing;;CM-MAC= 29 Time Not Established Critical (3) "No Ranging Response received - T3 time-out;CM-MAC= 30 Time Not Established Notice (6) "Honoring MDD; IP provisioning mode = IPv4" 31 Time Not Established Warning (5) "DHCP WARNING - Non-critical field invalid in response ;CM-MAC= 32 ??? Feb 25 08:57:25 2018 Notice (6) "TLV-11 - unrecognized OID;CM-MAC=

aU2P8yp.jpg


Nachtrag:

Habe das Modem nun doch noch mal neugestartet. Diesmal war es in wenigen Sekunden verbunden, allerdings wieder nur mit dem einen US Kanal auf 308MHz.
Interessant auch, seitdem ist mein Ping um 2-3ms höher.
 
  • Technicolor TC4400 Docsis 3.1 Modem Info Thread Beitrag #828
Das ist ein Fall für den Kundenservice und alles andere pure Spekulation - leider :kafffee:


Wenn ich einmal spekulieren darf: Einstrahlung :mussweg:
 
  • Technicolor TC4400 Docsis 3.1 Modem Info Thread Beitrag #830
Nachdem mein Modem nun seit Wochen am Stück einwandfrei lief, hatte ich seit heute Nacht ein paar Packetloss dabei. Also aufs Modem geschaut und festgestellt dass 2 von 5 US Kanälen nur "Partial Bonded"
Das liegt definitiv an der Leitung.
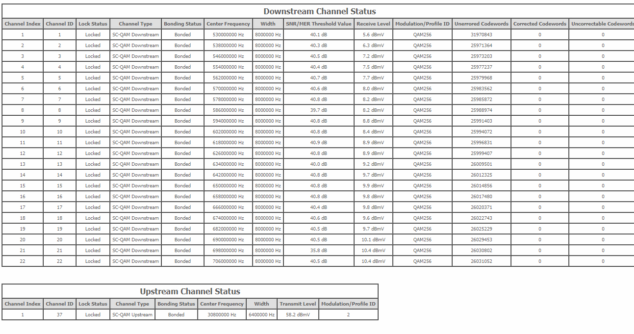
Das TC4400 selbst läuft einwandfrei, hier mal der Status nach 1 Woche Laufzeit:



Ich hab hier, egal, wie lange das Modem läuft, keinen einzigen unkorrigierbaren Fehler.
Wenn da ein Fehler kommt, liegt es definitiv an der Leitung.
 

Anhänge

  • Up.JPG
    Up.JPG
    15,2 KB · Aufrufe: 1.614
  • Channels.JPG
    Channels.JPG
    136,7 KB · Aufrufe: 1.614
  • Technicolor TC4400 Docsis 3.1 Modem Info Thread Beitrag #831
Ja so sah es bei mir auch aus. Selbst mit dem eingebrochenen US. Das Modem ist echt top.

Mein US hat sich jetzt mit 374MHz verbunden und liefert nun stabile 20 MBits. Allerdings noch immer nur 1 Kanal. Otto Normal User würde also überhaupt nichts davon mitbekommen.
Oder werken die am CMTS rum?
 
  • Technicolor TC4400 Docsis 3.1 Modem Info Thread Beitrag #833
Ja, stimmt.

Naja das CMTS ist ja drinnen :D. Irgendwie habe ich meinen Verstärker ein wenig in Verdacht, der ist nämlich der Kälte voll ausgesetzt. Hmm, ich warte mal den Tag noch ab.
 
  • Technicolor TC4400 Docsis 3.1 Modem Info Thread Beitrag #834
Das gleiche hatte ich auch, bei uns war es ne Einstrahlung durch nen defektes Verbindungskabel zwischen HÜP und unserer Wohneinheit. Nach 1,5 Jahren und wöchentlichen Kontakt mit UM und deren Subunternehmen, haben die es endlich getauscht.... WIr hatten auch immer wieder mal 5 Up Kanäle, dann nur einen, dann mal 3. Das ging den ganzen Tag so. Jedes mal wenn alle Werte mal wieder von 30dbmv auf 58 stiegen und Kanäle weggebrochen waren, war das Internet nicht mehr nutzbar. Die Zeit dazwischen konnte man wenigstens Internetseiten laden... :(

Mit dem TC4400 wurden die Probleme aufjedenfall besser. Das rumspringen der Pegel hatte man zwar immer noch gemerkt, aber für einen deutlich kürzeren Zeitraum.

Bin einfach nur froh, wir haben hier sonst keine Alternative... Warte jetzt nur noch auf die Antwort auf meine "Beschwerde Mail" wegen der Gutschrift, die ja erst angefordert werden darf, laut Hotline, wenn die Störung endgültig behoben wurde :D.....

Hier mal die aktuellen Werte nach 5 Tagen Uptime (seit der Störungsbehebung)
 

Anhänge

  • 1.png
    1.png
    65,9 KB · Aufrufe: 1.594
  • Technicolor TC4400 Docsis 3.1 Modem Info Thread Beitrag #835
Hier mal die aktuellen Werte nach 5 Tagen Uptime (seit der Störungsbehebung)
Wow, da ist meine Leitung ja richtig gut :smile:
2,8 Millionen korrigierbare nach 7 Tagen zu 14,5 Millionen korrigierbare nach 5 Tagen. :super:
 
  • Technicolor TC4400 Docsis 3.1 Modem Info Thread Beitrag #836
Ja woher die "FEhler" kommen weiß ich auch noch nicht :D Das war vor ein Paar Wochen, trotz des defekten Kabels, mal besser, da hatte ich vll in Summe 10.000 pro Tag :3

Aber egal, läuft jetzt alles, zu Stoßzeiten Fullspeed, bei Pingtests sogut wie keine Schwankungen mehr und alles Stabil auch bei Volllast :)

So zufrieden war ich mit UM noch nie :) Mal schauen wie lange das so bleibt :D - Vll drücken sie mir bald DSlite auf.....
 
  • Technicolor TC4400 Docsis 3.1 Modem Info Thread Beitrag #837
Ich sage es immer wieder. Würde UM vernünftige Modem oder von mir aus auch Kabelrouter mit vernünftiger Hardware an die Kunden verteilen, hätten sie deutlich weniger Reklamationen und mehr zufriedene Kunden.
 
  • Technicolor TC4400 Docsis 3.1 Modem Info Thread Beitrag #838
Aber egal, läuft jetzt alles, zu Stoßzeiten Fullspeed, bei Pingtests sogut wie keine Schwankungen mehr und alles Stabil auch bei Volllast
Selbiges hier, aber erst, seitdem ich das TC 400 habe.
Vorher mit der Fritzbox war's teilweise ne Katastrophe.
So zufrieden war ich mit UM noch nie
Da sieht man mal, wie stark das von der verwendeten HW abhängt. Ich bin mittlerweile auch absolut zufrieden.
Die Leistung passt jetzt. Nur etwas mehr Upload würd ich mir noch wünschen und echten Dual Stack :winken:
Vll drücken sie mir bald DSlite auf.....
Das wäre für mich ein sofortiger Kündigungsgrund, zum Glück gibt's hier jetzt Alternativen, somit kann mich UM jetzt nicht mehr unter Druck setzen :D
 
  • Technicolor TC4400 Docsis 3.1 Modem Info Thread Beitrag #839
Ja, die Alternative hier wäre Telekom mit 100/40. Aber da mir zur Zeit der Download deutlich wichtiger ist - ist es leider keine Option....

Wenn dann jetzt tatsächlich 600/40 zu einem guten Preis kommen sollten, hat die Telekom leider gar keine Chance bei mir.
 
  • Technicolor TC4400 Docsis 3.1 Modem Info Thread Beitrag #840
Wenn dann jetzt tatsächlich 600/40 zu einem guten Preis kommen sollten, hat die Telekom leider gar keine Chance bei mir.
Ab Juni/Juli soll hier 250/50 von der Telekom verfügbar sein. Wenn UM doch nicht mit 600/40 um die Ecke kommt, lässt mich das noch mal grübeln, ob ich dann doch nicht 250/50 anstatt 400/20 nehme :kratz:
 
  • Technicolor TC4400 Docsis 3.1 Modem Info Thread Beitrag #841
  • Technicolor TC4400 Docsis 3.1 Modem Info Thread Beitrag #843
Hääähhh :kratz:
mit knapp 2500 unkorrigierbaren Fehlern :traurig:

Dafür aber deutlich weniger korrigierbare. :streber:

Und die meisten Fehler würd ich auf das rumgepfusche von Unitymedia schieben:
Code:
25.02.18 15:01:34 No Ranging Response received - T3 time-out
24.02.18 19:18:43 DBC-ACK not received
24.02.18 15:19:15 No Ranging Response received - T3 time-out
15.02.18 11:43:59 Lost MDD Timeout
15.02.18 06:00:35 No Ranging Response received - T3 time-out
12.02.18 17:21:08 MIMO Event MIMO: Stored MIMO=-1 post cfg file MIMO=-1
12.02.18 17:20:48 No Ranging Response received - T3 time-out
12.02.18 17:20:29 TFTP Request Retries exceeded, CM unable to register
12.02.18 17:20:29 TFTP failed - Request sent - No Response
12.02.18 17:16:56 DHCP FAILED - Discover sent, no offer received
12.02.18 17:14:40 No Ranging Response received - T3 time-out
12.02.18 17:12:40 REG RSP bad SID 3847
12.02.18 17:12:21 REG RSP not received
12.02.18 17:12:21 T6 Timeout and retries exceeded
12.02.18 17:12:09 MIMO Event MIMO: Stored MIMO=-1 post cfg file MIMO=-1
12.02.18 17:10:58 No Ranging Response received - T3 time-out
12.02.18 17:10:14 DHCP FAILED - Discover sent, no offer received
12.02.18 17:07:52 No Ranging Response received - T3 time-out
12.02.18 17:05:51 B-INIT-RNG Failure - Retries exceeded
12.02.18 17:05:42 No Ranging Response received - T3 time-out
 
  • Technicolor TC4400 Docsis 3.1 Modem Info Thread Beitrag #844
So heute Morgen noch mal das Modem neu gestartet und nun sind wieder alle 5 US Kanäle da. Was war das nun?

cGvxLFg.jpg
 
  • Technicolor TC4400 Docsis 3.1 Modem Info Thread Beitrag #845
Wer kann das Wissen :winken: :D

Aber elektrische Leiter verändern bei Wärme und Kälte ihre physikalischen Eigenschaften -
wer weiß ob das eine Rolle spielt oder auch nicht

:kafffee:
 
  • Technicolor TC4400 Docsis 3.1 Modem Info Thread Beitrag #846
  • Technicolor TC4400 Docsis 3.1 Modem Info Thread Beitrag #847
  • Technicolor TC4400 Docsis 3.1 Modem Info Thread Beitrag #848
  • Technicolor TC4400 Docsis 3.1 Modem Info Thread Beitrag #849
So, gerade nochmal ein langes Gespräch mit der Technik und der IT von Primacom gehabt.

Das Modem können sie nicht aktivieren, weil es in der Datenbank nicht manuell erfasst werden kann. Aus Sicherheitsgründen sollen alle Modems sich selber aktivieren können. Die Liste, wo wahrscheinlich die ganzen MACs draufstehen, wurde nur letztens für die 6590 Fritzbox mal aktualisiert. Heißt, Primacom bekommt es nicht hin, ein etwas anderes Modem zu aktivieren. Zumal es Geld kosten würde, die Liste anzupassen. Erst mit dem Ausbau auf Docsis 3.1 wenn die Geräte dann offiziell in DE verfügbar sein könnten, könnte es klappen. 

Dafür sollen aber in naher Zukunft die TC7200 Modems entfallen und die gleichen Compal nur in neuerer Version auch bei PC zum Einsatz kommen. 

Scheiß Laden
 
  • Technicolor TC4400 Docsis 3.1 Modem Info Thread Beitrag #850
Das Modem können sie nicht aktivieren, weil es in der Datenbank nicht manuell erfasst werden kann. Aus Sicherheitsgründen sollen alle Modems sich selber aktivieren können. Die Liste, wo wahrscheinlich die ganzen MACs draufstehen, wurde nur letztens für die 6590 Fritzbox mal aktualisiert. Heißt, Primacom bekommt es nicht hin, ein etwas anderes Modem zu aktivieren.
Halt Stop, das ist ein Problem von Primacom.
Wenn die nur freie Fritzboxen unterstützen, ist deren System Murks.
Und die Kosten, um die MAC Listen zu aktualisieren, ist deren Problem, das kann Dir ganz egal sein.
Ich würde mir jetzt einen Anwalt nehmen und das durchboxen.
Primacom kann dabei nur verlieren und Deine Anwaltskosten müssen sie auch übernehmen. :streber:
 
Thema:

Technicolor TC4400 Docsis 3.1 Modem Info Thread

Technicolor TC4400 Docsis 3.1 Modem Info Thread - Ähnliche Themen

Netgear CM2000 (US Modem): Dank DOCSIS 3.1 und dem dortigen Wegfall der Unterscheidung zwischen DOCSIS und EuroDOCSIS sind einige Modems aus den USA durchaus im Vodafone...
Unitymedia Technicolor CGA4233 Docsis 3.1 Router Info Tread: Wie auch schon bei TC4400 dient dieser Thread zum Sammeln von Informationen zum Technicolor CGA4233. Default login: user / VTmgQapcEUaE Link zum...
Unitymedia Kabelmodem Arris CM8200B: Moin, Das Arris CM8200B wurde hier schon gelegentlich erwähnt, aber nie vertiefend. Da bei mir seit ein paar Tagen eines herumsteht starte ich...
Unitymedia Cisco EPC3208 verliert immer Verbindung -> Vodafone Station als Lösung? (DOCSIS 3.1 schuld?): Nabend! Ich habe seit 25.11. plötzlich ein massives Problem mit meinem Anschluß, und könnte etwas Aufklärung von Insidern brauchen bevor ich zur...
Unitymedia [Q] Probleme mit Bridge Network Model Virtualisierungsserver: Hallo! Ich habe eine Virtualisierungsplattform mit Web-Oberfläche (Proxmox VE 3.3) aufgesetzt und den Server direkt mit dem Kabel-Gateway TC7200...
Oben