- Technicolor TC4400 Docsis 3.1 Modem Info Thread Beitrag #9.376
rv112
- Beiträge
- 4.991
- Punkte Reaktionen
- 366
Sind doch wohl eher normale Spezifikationen und keine Geheimnisse, oder?
Follow along with the video below to see how to install our site as a web app on your home screen.
Anmerkung: This feature may not be available in some browsers.


Bist du zufällig in Frankfurt? Habe hier nämlich die gleiche (kurzfristige) Ankündigung bekommen. Falls wirklich der OFDMA aufgeschaltet wird bin ich mal gespannt wie mein TC 4400 mit SR70.12.33-180327 damit zurechtkommt.So, kam heute Nachmittag (ziemlich kurzfristig im Vergleich zu den letzten Male) : geplante Wartungsarbeiten am 20.01.2021 zwischen 00:00 und 06:00 Uhr (Beeinträchtigungen: 60 Minuten).
Hoffen wir mal das der Anschluss sich verbessert um mindestens dieses bessere Schlachtfeld aufzuräumen :
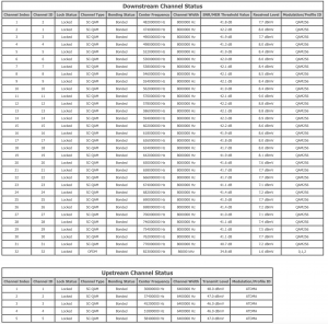
Anhang anzeigen 7418
Ich hab die Ankündigung (Raum Frankfurt) für nächste Nacht (21. Januar) erhalten.Bist du zufällig in Frankfurt? Habe hier nämlich die gleiche (kurzfristige) Ankündigung bekommen.
Ein Bekannter in KA hatte heute Nacht die gleichen Wartungsarbeiten. Er hat nun den OFDMA. Hast Du das Modem mal neugestartet?
Welcher Teil von Frankfurt? Mitte, Nord, Ost, Süd oder West?Ich hab die Ankündigung (Raum Frankfurt) für nächste Nacht (21. Januar) erhalten.
Konkret eine Stadt im Frankfurter Westen nahe dem Flughafen. Aber wenn auch User bis hoch in Bad Vilbel die Ankündigung haben (siehe anderen Thread), so sind das vermutlich alle, die an dem CMTS hängen.Welcher Teil von Frankfurt? Mitte, Nord, Ost, Süd oder West?
Danke, bin im Osten von FFM, bisher noch nichts bekommenKonkret eine Stadt im Frankfurter Westen nahe dem Flughafen. Aber wenn auch User bis hoch in Bad Vilbel die Ankündigung haben (siehe anderen Thread), so sind das vermutlich alle, die an dem CMTS hängen.
Ja schon mal heute morgen neu gestartet : bei mir kein OFDM
Ich bin nicht in KA selbst aber im Landkreis Rastatt, hänge aber an der Kopfstation Karlsruhe.
Gefühlt hat sich das Thema Upload etwas verbessert : ist noch weit entfernt von was im Vertrag steht aber in Tageszeite wo früher 2 Mbit/s drin waren bin ich jetzt eher bei 10 Mbit/s.
Vielleicht hat aufschalten des OFDM in anderen Segmenten die Gesamtlage etwas entspannt ?
Ich "erfreue" mich seit knapp zwei Wochen an einem quasi nicht existenten Upload. Über zwei Tage verteilt in 20 Messungen variierte der immer zwischen 0,3 und 2 Mbit/s, gebucht habe ich 20. Fange ich an, mal größere Dateien hochzuladen, bricht das ganze Netz für ein paar Minuten zusammen.
Spannend: Ich bin mir relativ sicher, dass die Verbindung nachts / an Wochenenden besser ist. Kann es vielleicht sein, dass das Backbone hier in der Region wegen der vielen Homeoffice-User einfach massiv überlastet ist?
Weil Du keine Dämpfung hast durch die fehlende Dose. Das kann durchaus Dein Problem sein, muss nicht. Eine Störung zu melden ist hier aber der richtige Weg.
Wobei wenn ich mich nicht täusche installiert UM die erste Dose "gratis" aber die nächsten werden dann gesondert abgerechnet. Ich würde kein Techniker nach Hause rufen bevor das Modem nicht an einer Korrekten Dose hängt. Das Risiko ist relativ groß dass der NE4-Tech der kommt sofort wieder geht und 99 EUR in Rechnung stellt weil das Modem unsachgemäß vom Kunden angeschlossen wurde.
Das Modem muss erst zurück an seinen Platz oder es muss eine Dose installiert werden.
Aber wenn Du +24dBmV am splitter hast (ich gehe mal davon aus dass er dort installiert ist), wieviel hast du an der normalen Dose ? (bzw. ist das die einzige im Haus ?)