- Wartungsarbeiten am 11.11.2020 BW Reutlingen Beitrag #201
Soldierofoc
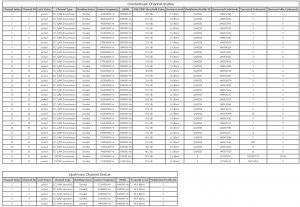
Ja, der bisherige OFDM wirft (minimal) mehr Fehler wie zuvor, zumindest hier bei mir. Aber weit davon entfernt problematisch zu sein. Der zweite/neue OFDM hat bei mir so gut wie gar keine unkorrigierbaren Fehler (bis jetzt nach guten 13 Stunden gerade mal 150).
Pegel blieben bei mir gleich. Lediglich die Upstreamkanäle sind vom Tranmitlevel her um etwa 2-3dB gesunken (war eh am eher oberen Toleranzband, von daher alles gut).
Pegel blieben bei mir gleich. Lediglich die Upstreamkanäle sind vom Tranmitlevel her um etwa 2-3dB gesunken (war eh am eher oberen Toleranzband, von daher alles gut).


