• Kunden aus Hessen und Nordrhein-Westfalen können über die Rufnummer 0221 / 466 191 00 Hilfe bei allen Problemen in Anspruch nehmen.
    Kunden aus Baden-Württemberg können über die Rufnummer 0711 / 54 888 150 Hilfe bei allen Problemen in Anspruch nehmen.

Unitymedia Technicolor TC4400 Docsis 3.1 Modem Info Thread

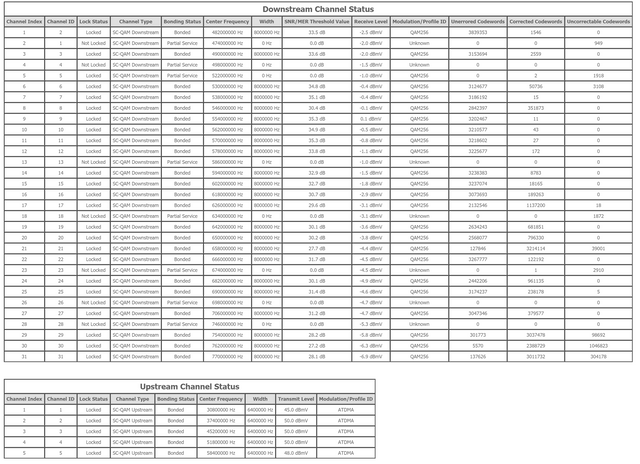
Diskutiere Technicolor TC4400 Docsis 3.1 Modem Info Thread im Internet und Telefon über das TV-Kabelnetz Forum im Bereich Internet und Telefon; Von den Traumwerten (SNR) kann ich nur träumen, hänge da meist bei 37-38 dB rum und habe viele Correctable Errors.
  • Technicolor TC4400 Docsis 3.1 Modem Info Thread Beitrag #3.251
Also irgendwie arbeitet Vodafone hier am Netzt. Gerade hat das Modem wieder neu gestartet und die Kanalbelegung hat sich anscheind ein wenig geändert.
Screenshot (8).png
Screenshot (7).png

Von den Traumwerten (SNR) kann ich nur träumen, hänge da meist bei 37-38 dB rum und habe viele Correctable Errors.
 
  • Technicolor TC4400 Docsis 3.1 Modem Info Thread Beitrag #3.252
Von den Traumwerten (SNR) kann ich nur träumen, hänge da meist bei 37-38 dB rum und habe viele Correctable Errors.
Das ist aber eher der Normalzustand im HFC Netz.
Traumwerte von 40 und mehr und kaum korrigiere Fehler sind die Ausnahme bei einigen ganz wenigen Anschlüssen im HFC Netz :winken:
 
  • Technicolor TC4400 Docsis 3.1 Modem Info Thread Beitrag #3.253
Von den Traumwerten (SNR) kann ich nur träumen, hänge da meist bei 37-38 dB rum und habe viele Correctable Errors.
Das ist aber eher der Normalzustand im HFC Netz.
Traumwerte von 40 und mehr und kaum korrigiere Fehler sind die Ausnahme bei einigen ganz wenigen Anschlüssen im HFC Netz :winken:

Ich stör mich da auch gar nicht dran, im Gegenteil läuft meine Leitung seit dem Upgrade von der 6490 besser (niedrigere Latenz) und konstanter (Upload vorallem) und am Wichtigsten: mit allen Features die ich vorher nicht nutzen konnte (IPSec z.b. oder Line-Rate OpenVPN Durchsatz). Ich müsste mal mit einem DVB-C Stick die Auslastung messen, schätze aber das hier auch locker > 1000 Kunden im Segment aktiv sind.
 
  • Technicolor TC4400 Docsis 3.1 Modem Info Thread Beitrag #3.254
Und ich habe Traumwerte: 41,8 - 42,2 dB SNR und trotzdem immer unkorrigierbare Fehler
 
  • Technicolor TC4400 Docsis 3.1 Modem Info Thread Beitrag #3.255
Hier teils nur 36dB und keine Unkorrigierbaren :)
 
  • Technicolor TC4400 Docsis 3.1 Modem Info Thread Beitrag #3.256
Mit meiner Provider Fritzbox habe ich bei 33dB keine Unkorrigierbaren Fehler. Schätze da haben noch einige andere Faktoren Einfluss. Besonders weil eine Erhöhung um 3dB ja etwa einer Verdoppelung des Pegel entspricht...
 
  • Technicolor TC4400 Docsis 3.1 Modem Info Thread Beitrag #3.257
Ja sagen tun sie das immer ;) Bestell einen Techniker und gut ist.

Das habe ich nun mal gemacht. Ich hoffe das bleibt auch kostenfrei. Werde ich auch nochmal abklären wenn der Techniker zur Terminvereinbarung anruft. So ist der Anschluss unzumutbar, ich kann nicht mal telefonieren.





 
  • Technicolor TC4400 Docsis 3.1 Modem Info Thread Beitrag #3.258
Eben auch wieder immer für wenige Sekunden die Verbindung weg. Sehr nervig für Onlinegames. Also wieder manuell auf die DSL Leitung umschalten... :(
 
  • Technicolor TC4400 Docsis 3.1 Modem Info Thread Beitrag #3.259
Vielleicht liegt’s auch am TC?
 
  • Technicolor TC4400 Docsis 3.1 Modem Info Thread Beitrag #3.260
Glaube ich nicht. Wieso sollte es das? Zumal mein benachbarter Techniker die Ausfälle ebenfalls hat ein paar Straßen weiter.
 
  • Technicolor TC4400 Docsis 3.1 Modem Info Thread Beitrag #3.261
  • Technicolor TC4400 Docsis 3.1 Modem Info Thread Beitrag #3.262
Ich habe mich heute nochmal beschwert da die Leitung immer schlechter wird. Musste dann erfahren, dass gestern garnichts gemacht wurde. Es wurde kein Entstörauftrag eingestellt obwohl ich dem gestern zugestimmt habe. Heute wurde nun dann endlich einer eingestellt aber auch wieder mit der Vorwarnung, dass es 99€ kostet, wenn es an meinem Modem liegt.

Nun will sich die Firma Solutions30 mit mir in Verbindung setzen. Ist die gut? Zschau haben sie wohl rausgeworfen. Ich hoffe die bekommen das noch gefixt, die Modemwerte werden nämlich zurzeit jeden Tag schlechter.

 
  • Technicolor TC4400 Docsis 3.1 Modem Info Thread Beitrag #3.263
Die Solutions30 machen eine gute Arbeit. Im Zweifel haben die auch die Kollegen von Unitymedia mit im Schlepptau. Viel Erfolg :)
 
  • Technicolor TC4400 Docsis 3.1 Modem Info Thread Beitrag #3.264
Habe auch positive Erfahrungen mit Solutions30 gemacht. Hat nur zwei Wochen gedauert vom Ticket bei UM aufsetzen bis zum Austausch von defekten Abzweigen in der Straße. Die Beiden Techniker die von Solutions30 kamen waren freundlich und kompetent.
 
  • Technicolor TC4400 Docsis 3.1 Modem Info Thread Beitrag #3.265
Bevor ich die verpassten 40 Seiten nachlesen: Ende Juni sollte angeblich eine "finale 0.35" Firmware rauskommen. Nun haben wir Ende Juli und Werner listet immer noch eine ".33 Lab Version". Weiß jemand ob/wann sich da was tun wird?
 
  • Technicolor TC4400 Docsis 3.1 Modem Info Thread Beitrag #3.267
Heute gab es hier gegen 17.45 einen Ausfall, das HF Signal war wohl auch kurz weg.
Danach ist das Modem nicht wieder von allein Online gegangen.
So etwas ist blöd, wenn man gerade im Urlaub ist und auf das heimische Netzwerk zugreifen möchte.
Dann bleibt die Verbindung bis zur Heimkehr Offline. :wand:
Am Modem leuchtete nur die Power Leuchte und die DS Leuchte war am blinken.
Erst ein Stromreset brachte das Modem dazu, wieder Online zu gehen.
Eine neue IP Adresse gab´s dabei auch, also ist irgendetwas im Netz ausgefallen, oder das CMTS hat´nen Reboot hingelegt. :kratz:

Aktuell hab ich noch die 20er FW auf dem Modem.
Vermutlich hat folgender Bug verhindert, dass das Modem wieder von allein wieder Online ging:
[TC4400GEN-2721] - [Power Management] CM fails to detect RF re-connectivity, after an RF outage and the downstream scanning has been ‘round the honor’ 5 times.

Allerdings wurde der Bug in der 30a FW behoben, somit dürfte das nur bei Leuten auftreten, die noch die 20er FW auf dem Modem haben.
 
  • Technicolor TC4400 Docsis 3.1 Modem Info Thread Beitrag #3.268
*hust* Backupleitung ;) Ich bin echt überrascht wie oft ich schon auf die DSL Leitung zurückgreifen musste. Ironischerweise traten die meisten Ausfälle erst seit dem schalten der DSL Leitung auf...
 
  • Technicolor TC4400 Docsis 3.1 Modem Info Thread Beitrag #3.269
*hust* Backupleitung ;) Ich bin echt überrascht wie oft ich schon auf die DSL Leitung zurückgreifen musste. Ironischerweise traten die meisten Ausfälle erst seit dem schalten der DSL Leitung auf...
Mein Referezmodem (anderer Hersteller), welches ich parallel am Anschluss laufen habe, ist nach dem ca. 5 Minütigen Ausfall jedenfalls von allein wieder Online gegangen.
 
  • Technicolor TC4400 Docsis 3.1 Modem Info Thread Beitrag #3.270
Ach so, dann hast Du ja sozusagen ein Backup ;)
 
  • Technicolor TC4400 Docsis 3.1 Modem Info Thread Beitrag #3.271
  • Technicolor TC4400 Docsis 3.1 Modem Info Thread Beitrag #3.272
Eine neue IP Adresse gab´s dabei auch, also ist irgendetwas im Netz ausgefallen, oder das CMTS hat´nen Reboot hingelegt. :kratz:
Hast Du schon nachgeprüft, ob sich bei Durchsatz/Latenz/Jitter was getan hat?
 
  • Technicolor TC4400 Docsis 3.1 Modem Info Thread Beitrag #3.273
Hast Du schon nachgeprüft, ob sich bei Durchsatz/Latenz/Jitter was getan hat?
Na klar, war das Erste, was ich getan hab.
Leider unverändert.
CMTS dümpelt auch immer noch bei nur 20/5 Kanälen rum.
 
  • Technicolor TC4400 Docsis 3.1 Modem Info Thread Beitrag #3.274
Na klar, war das Erste, was ich getan hab.
Leider unverändert.
CMTS dümpelt auch immer noch bei nur 20/5 Kanälen rum.

Immernoch mehr Kanäle, wie das Maximum bei PYUR (500/20) mit maximal 20/4 Kanälen :mussweg:
 
Thema:

Technicolor TC4400 Docsis 3.1 Modem Info Thread

Technicolor TC4400 Docsis 3.1 Modem Info Thread - Ähnliche Themen

Netgear CM2000 (US Modem): Dank DOCSIS 3.1 und dem dortigen Wegfall der Unterscheidung zwischen DOCSIS und EuroDOCSIS sind einige Modems aus den USA durchaus im Vodafone...
Unitymedia Technicolor CGA4233 Docsis 3.1 Router Info Tread: Wie auch schon bei TC4400 dient dieser Thread zum Sammeln von Informationen zum Technicolor CGA4233. Default login: user / VTmgQapcEUaE Link zum...
Unitymedia Kabelmodem Arris CM8200B: Moin, Das Arris CM8200B wurde hier schon gelegentlich erwähnt, aber nie vertiefend. Da bei mir seit ein paar Tagen eines herumsteht starte ich...
Unitymedia Cisco EPC3208 verliert immer Verbindung -> Vodafone Station als Lösung? (DOCSIS 3.1 schuld?): Nabend! Ich habe seit 25.11. plötzlich ein massives Problem mit meinem Anschluß, und könnte etwas Aufklärung von Insidern brauchen bevor ich zur...
Unitymedia [Q] Probleme mit Bridge Network Model Virtualisierungsserver: Hallo! Ich habe eine Virtualisierungsplattform mit Web-Oberfläche (Proxmox VE 3.3) aufgesetzt und den Server direkt mit dem Kabel-Gateway TC7200...
Oben