- Technicolor TC4400 Docsis 3.1 Modem Info Thread Beitrag #3.376
namtech
- Beiträge
- 40
- Punkte Reaktionen
- 0
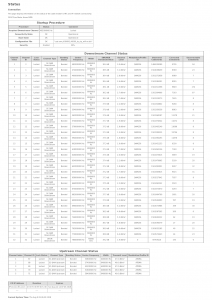
Bei mir in Frankfurt wurde ebenfalls in der Nacht vom 7. auf den 8. August Docsis 3.1 aufgeschaltet. Mein TC4400 hat damit aber keine Probleme. Der Ping ist noch etwas besser geworden. Mal gucken, wie es in der Primetime ist. Die Uplink Werte sind ca. 3 dB gesunken, Downlink ist etwa gleich geblieben. Der Docsis 3.1er SNR sieht zwar sehr mager aus aber macht keinerlei Fehler.
Eine Meldung über geplante Wartungsarbeiten gab es aber nicht. Die Internetverbindung war um kurz vor Mitternacht unterbrochen. Mein Router zeigte "Poor Internet" an. Da die LEDs am Modem kein Problem anzeigten, habe ich nur den Router neugestartet und danach war Internet wieder da.
FFM_31.png
FFM_spec.png
hast du es gut. Heute wollten sie schon wieder einen Techniker bei mir zum "Durchmessen" vorbeischicken.
Jetzt will man wohl den für den D3.1 Rollout in Frankfurt zuständigen Kollegen ansprechen, weil der Rollout sei angeblich erst zum 31.08 geplant.
Bin dann jetzt den dritten Tag quasi-offline.
