moin.
ich komme auch aus herne. hier bei mir siehts zwar besser aus, aber auch nicht wirklich gut.
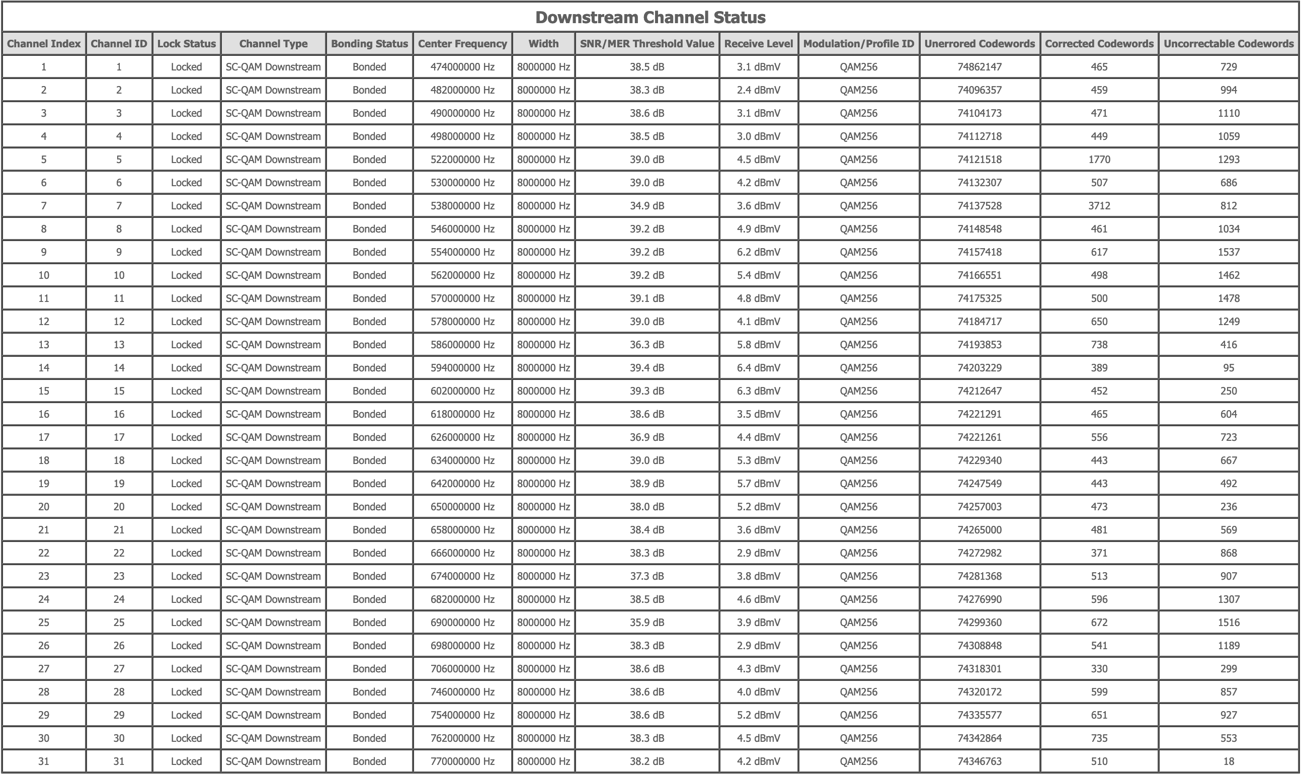
die werte sind gerade noch relativ gut (mag am wetter liegen, je waermer es ist, umso schwaecher werden SNR und receive level. normal sind auch noch unkorrigierbare fehler im ertraeglichen rahmen dabei. SNR des OFDM kanal lag bisher bei </= 32db)
neu sind die "warnungen" im log.
download schwankt, ist aber noch akzeptabel, ping liegt im normalen bereich (um die 13ms zu heise.de)
eine stoerung habe ich aktuell nicht gemeldet, da ich ganz einfach ueberhaupt keine lust habe, das standardprozedere zu durchlaufen an dessem ende ein techniker vor der tuer steht, der eh nichts machen kann.
ich werds wohl einfach aussitzen, solange es nicht schlimmer wird (und nein, ein wechsel zu SVVDSL kommt nicht in frage, da ich in einem kleinen weissen fleck wohne, andem "nur" 100mbit verfuegbar sind)
ich wollte hier jetzt mal nachfragen, ob mir jemand die "warning (5)" im log erklaeren kann, da ich mir nicht sicher bin, ob ich es richtig verstehe.
danke schonmal
