• Kunden aus Hessen und Nordrhein-Westfalen können über die Rufnummer 0221 / 466 191 00 Hilfe bei allen Problemen in Anspruch nehmen.
    Kunden aus Baden-Württemberg können über die Rufnummer 0711 / 54 888 150 Hilfe bei allen Problemen in Anspruch nehmen.

Unitymedia Technicolor TC4400 Docsis 3.1 Modem Info Thread

Diskutiere Technicolor TC4400 Docsis 3.1 Modem Info Thread im Internet und Telefon über das TV-Kabelnetz Forum im Bereich Internet und Telefon; Ich dachte, die Verbindung wird zuerst über einen der D3.0-Kanäle aufgebaut? Das würde dann ja eher nicht mehr klappen...
  • Technicolor TC4400 Docsis 3.1 Modem Info Thread Beitrag #6.976
Ich dachte, die Verbindung wird zuerst über einen der D3.0-Kanäle aufgebaut? Das würde dann ja eher nicht mehr klappen...
 
  • Technicolor TC4400 Docsis 3.1 Modem Info Thread Beitrag #6.977
Kommt drauf an was sich das Modem greift. Ich hatte auch schon dass er bei einem frischen Ranging zuerst den OFDM ertastet hatte und den auch als primary channel gelockt. Allerdings ist der US natürlich das Problem mit so einem Filter 🤔
 
  • Technicolor TC4400 Docsis 3.1 Modem Info Thread Beitrag #6.978
Ich habe nun mein .41 aktivieren lassen wollen, was aber wohl nicht ganz geklappt hat und dann an eine "Fachabteilung" weiter geleitet wurde. Tja, nun hat es geklappt, aber... "cust-own_1000000_50000_dslite_sip_wifi-on.bin ". Was für ein Saftladen!
 
  • Technicolor TC4400 Docsis 3.1 Modem Info Thread Beitrag #6.979
Tja, nun hat es geklappt, aber... "cust-own_1000000_50000_dslite_sip_wifi-on.bin ". Was für ein Saftladen!
Tja, wie war das noch mal, "nicht in laufende Prozesse eingreifen" 🤗
 
  • Technicolor TC4400 Docsis 3.1 Modem Info Thread Beitrag #6.980
Recht Du hast... 🤦‍♂️
 
  • Technicolor TC4400 Docsis 3.1 Modem Info Thread Beitrag #6.981
So auch mit der .41 ändert sich nichts an der OFDM Auslastung. Es werden nach wie vor primär die SC-QAM belastet. Ziehe ich nun mit 2 GBit/s, ist das Segment nur durch mich komplett am Limit.
 
  • Technicolor TC4400 Docsis 3.1 Modem Info Thread Beitrag #6.982
Genau diese Überlegung hatte ich auch schon.... Alle SC-QAM wegfiltern und nur den OFDM bonden lassen falls möglich.
 
  • Technicolor TC4400 Docsis 3.1 Modem Info Thread Beitrag #6.983
Ziehe ich nun mit 2 GBit/s, ist das Segment nur durch mich komplett am Limit.
Na, na, na :eek:
2 Modems mit einem Vertrag nutzen, das sollst Du doch nicht :cool:
Naja, wenn der Provider zu blöd ist.....
 
  • Technicolor TC4400 Docsis 3.1 Modem Info Thread Beitrag #6.984
Bringt eh nix, mehr als 1,2 GBit/s sind nicht drin und das Alte nun eh deprovisioniert. Nun kommt es ins Regal und wartet auf den nächsten Einsatz als "Spectrum Analyzer" :cool: Fakt ist, dass die .33zu wenig Codewords anzeigt beim OFDM.
 
  • Technicolor TC4400 Docsis 3.1 Modem Info Thread Beitrag #6.985
Interessant war allerdings, das Configfile war dslite und meine pfSense hat auch keine IPv4 ziehen können. Der DHCP Log sagte immer "fail". Plötzlich bekam es jedoch eine IPv4 (Umstellung auf Dualstack) und das obwohl kein neues Configfile geladen wurde! Sprich der DHCP Server bei UM scheint bei DS-Lite auch anders konfiguriert zu sein, um sich keine IPv4 zu erschleichen.
 
  • Technicolor TC4400 Docsis 3.1 Modem Info Thread Beitrag #6.986
Soweit ich weiß lässt die CMTS das nicht zu, da ja ein D3-Kanal für die Anmeldung genutzt wird...
 
  • Technicolor TC4400 Docsis 3.1 Modem Info Thread Beitrag #6.987
So auch mit der .41 ändert sich nichts an der OFDM Auslastung. Es werden nach wie vor primär die SC-QAM belastet. Ziehe ich nun mit 2 GBit/s, ist das Segment nur durch mich komplett am Limit.
Mit dem OFDM Kanal sollte doch die Gesamtbandbreite bei 3,6 GBit liegen.
Klappt natürlich nur, wenn auch die Leute, die 1GBit gebucht haben (also du), anteilig stärker den ODFM Kanal nutzen.

Aber es könnte natürlich wirklich sein, dass das TC4400 dabei im Zusammenspiel mit der Konfiguration der CMTS Probleme bereitet und doch den knappen QAM-Bereich nutzt und auslastet. Das erklärt dann auch die Anrufe bei dir...
 
  • Technicolor TC4400 Docsis 3.1 Modem Info Thread Beitrag #6.988
Man müsste mal andere 3.1 Geräte (am Besten die Vodafonestation oder die Fritzbox) testen. Vielleicht machen die das "besser" ?
 
  • Technicolor TC4400 Docsis 3.1 Modem Info Thread Beitrag #6.989
Die Lastverteilung legt die CMTS fest, nicht das CPE.
 
  • Technicolor TC4400 Docsis 3.1 Modem Info Thread Beitrag #6.990
Mit dem OFDM Kanal sollte doch die Gesamtbandbreite bei 3,6 GBit liegen.
Nein, die Gesamtbandbreite müsste bei Unitymedia zwischen 2,0 und 2,4 Gbit/s liegen, je nachdem, ob der OFDM-Block 48 MHz oder 88 MHz breit ist.
 
  • Technicolor TC4400 Docsis 3.1 Modem Info Thread Beitrag #6.991
Ach so, danke für die Aufklärung. Hatte es so verstanden, dass wir nun eine deutliche Erhöhung der Gesamtkapazität haben. Aber gerade mal 400 MBit mehr, dafür dass jetzt jedem die ersten 12 Monate 1GBit praktisch ohne Aufpreis verkauft wird ist ja nicht so viel...
 
  • Technicolor TC4400 Docsis 3.1 Modem Info Thread Beitrag #6.992
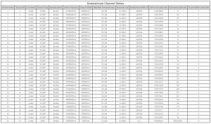
Sieht man eigentlich den OFDM in der Kanal Übersicht vom TC4400 wenn der so schlecht ist das davon nichts reinkommt? Ich hab davon zwar was im Spectrum analyzer gesehen aber nichts in der Kanal Übersicht, deswegen bin ich gerade nicht sicher ob das eine Einstrahlung oder der OFDM war.
 
  • Technicolor TC4400 Docsis 3.1 Modem Info Thread Beitrag #6.993
Klar, Kanal ID32 ist bei UM der OFDM.

Nein, die Gesamtbandbreite müsste bei Unitymedia zwischen 2,0 und 2,4 Gbit/s liegen, je nachdem, ob der OFDM-Block 48 MHz oder 88 MHz breit ist.

Bei mir lagen gestern um 22 Uhr 1,4 GBit/s im Segment als Last an (ohne mich) auf den SC-QAM. Habe leider keinen Speedtest gemacht, aber erfahrungsgemäß ist es wenn die SC-QAM voll sind eher schwach. Entweder wird der OFDM auch schon fleißig genutzt, oder eben zu wenig. Da mein OFDM mit QAM4096 läuft, sollte da doch schon mehr drin sein.

@Sascha Wenn man einen Beitrag bearbeitet, kann man kein Zitat mehr einfügen, bzw. der Button dazu fehlt.
 

Anhänge

  • Unbenannt2.JPG
    Unbenannt2.JPG
    240,9 KB · Aufrufe: 8
Zuletzt bearbeitet:
  • Technicolor TC4400 Docsis 3.1 Modem Info Thread Beitrag #6.994
Da mein OFDM mit QAM4096 läuft, sollte da doch schon mehr drin sein.
Was meinst du damit, dass da doch mehr drin sein sollte? Bei dir am Anschluss oder im Segment?

Die 31 SC-QAM ergeben ja insgesamt etwa 1550 Mbit/s, und der OFDM-Block schafft je nach Größe etwa 480 bzw. 880 Mbit/s.
 
  • Technicolor TC4400 Docsis 3.1 Modem Info Thread Beitrag #6.995
Richtig, ich meinte dass bei mir die Leitung nicht limitieren sollte, wenn der OFDM richtig ausgenutzt würde. Bei 1,4 GBit/s Last auf den SC-QAM, hänge ich mit 600 MBit/s im Limit.
 
  • Technicolor TC4400 Docsis 3.1 Modem Info Thread Beitrag #6.996
Bis vor einer Woche lief das TC4400 bei meinen Eltern einwandfrei. Jetzt bringt die 7490 Keine Antwort auf Router Solicitation/DHCPv6-Server. Gab seit ca 2 Jahren keine Probleme. Schätze UM hat da was versemmelt? Irgendwelche Tipps was ich der Hotline morgen sagen kann?
 
  • Technicolor TC4400 Docsis 3.1 Modem Info Thread Beitrag #6.997
Mit welcher Firmware müsste man jetzt bei Werner bestellen wenn man alle Funktionen (funktionierend) haben möchte? Bei meiner persönlichen TC4400 geht zum Beispiel der Spectrum Analyzer nicht.
 
  • Technicolor TC4400 Docsis 3.1 Modem Info Thread Beitrag #6.998
Der Spectrum Analyzer geht zumindest mit der .33. Ob es auch mit der .40 geht, weiß ich nicht. Weiß auch nicht ob der gute Herr Werner diese Firmware anbieten kann. Ich verzichte aber inzwischen gerne auf den Analyzer und nutze nun auch die .41. Die läuft einfach noch mal ein Stück fehlerfreier als die .33. Der Spectrumanalyzer ist ja ganz nett, aber wirklich nützlich auch nicht. Gut, das .33 habe ich ja hier zur Not kann ich es dran hängen und damit dann "messen".

@Trappy02

Was heißt keine v6? IPv4 geht problemlos? Beide Geräte mal neu gestartet? Ich hatte mit IPv6 auch schon Malheur mit UM, da lag es an einer "falschen" DUID. Es kann auch sein wenn zu viele Prefixe angefordert werden, UM erst mal "zu" macht. Das hatte ich auch schon.
 
  • Technicolor TC4400 Docsis 3.1 Modem Info Thread Beitrag #6.999
Weiß auch nicht ob der gute Herr Werner diese Firmware anbieten kann.
der Service der Werner GmbH ist top. Ich hatte auf Wunsch erst neulich wieder ein TC4400 mit .33 geliefert bekommen. Kann hoechstens sein, dass die Lieferzeit dann etwas laenger ist.
 
  • Technicolor TC4400 Docsis 3.1 Modem Info Thread Beitrag #7.000
Das stimmt. Leider gibt es nur zunehmend Leute die das nicht schätzen und regelmäßig aktivierte Geräte an ihn zurückschicken, die er dann nicht mehr verkaufen kann. Ich hatte diesbezüglich mehrfach bei Unitymedia/Vodafone angefragt, die Geräte zu löschen aber es gibt keine Reaktion.
 
Thema:

Technicolor TC4400 Docsis 3.1 Modem Info Thread

Technicolor TC4400 Docsis 3.1 Modem Info Thread - Ähnliche Themen

Netgear CM2000 (US Modem): Dank DOCSIS 3.1 und dem dortigen Wegfall der Unterscheidung zwischen DOCSIS und EuroDOCSIS sind einige Modems aus den USA durchaus im Vodafone...
Unitymedia Technicolor CGA4233 Docsis 3.1 Router Info Tread: Wie auch schon bei TC4400 dient dieser Thread zum Sammeln von Informationen zum Technicolor CGA4233. Default login: user / VTmgQapcEUaE Link zum...
Unitymedia Kabelmodem Arris CM8200B: Moin, Das Arris CM8200B wurde hier schon gelegentlich erwähnt, aber nie vertiefend. Da bei mir seit ein paar Tagen eines herumsteht starte ich...
Unitymedia Cisco EPC3208 verliert immer Verbindung -> Vodafone Station als Lösung? (DOCSIS 3.1 schuld?): Nabend! Ich habe seit 25.11. plötzlich ein massives Problem mit meinem Anschluß, und könnte etwas Aufklärung von Insidern brauchen bevor ich zur...
Unitymedia [Q] Probleme mit Bridge Network Model Virtualisierungsserver: Hallo! Ich habe eine Virtualisierungsplattform mit Web-Oberfläche (Proxmox VE 3.3) aufgesetzt und den Server direkt mit dem Kabel-Gateway TC7200...
Oben