• Kunden aus Hessen und Nordrhein-Westfalen können über die Rufnummer 0221 / 466 191 00 Hilfe bei allen Problemen in Anspruch nehmen.
    Kunden aus Baden-Württemberg können über die Rufnummer 0711 / 54 888 150 Hilfe bei allen Problemen in Anspruch nehmen.

Unitymedia Technicolor TC4400 Docsis 3.1 Modem Info Thread

Diskutiere Technicolor TC4400 Docsis 3.1 Modem Info Thread im Internet und Telefon über das TV-Kabelnetz Forum im Bereich Internet und Telefon; Da scheint sich etwas im Ablauf geändert zu haben. Zumindest habe ich letzens vergeblich auf die deaktivierung des alten Modems gewartet. Es bleib...
  • Technicolor TC4400 Docsis 3.1 Modem Info Thread Beitrag #7.876
Da scheint sich etwas im Ablauf geändert zu haben. Zumindest habe ich letzens vergeblich auf die deaktivierung des alten Modems gewartet. Es bleib über Tage online bis das neue Gerät angeschlossen wurde.
 
  • Technicolor TC4400 Docsis 3.1 Modem Info Thread Beitrag #7.877
Das Modem war die ganze Nacht am Netz und wurde immer noch nicht provisioniert. Der "Vodafone Twitter-support" reagiert nicht ... Zum Glück geht das alte Modem noch. Welche hotline ruft man in diesem Fall am besten an? Fragen zum Vertrag oder die Technik?
 
  • Technicolor TC4400 Docsis 3.1 Modem Info Thread Beitrag #7.878
Ich würde auf Twitter warten und die CM-MAC noch mal sauber durchgeben. Am Telefon passieren zu viele Fehler.
 
  • Technicolor TC4400 Docsis 3.1 Modem Info Thread Beitrag #7.879
Zum Twitter support. Der für UM in BW zuständige Twitterservice sollte

Vodafone 24h Service

@vodafoneservice

sein, richtig? Nicht dass ich meine Daten an irgendwie Phantom weitergebe ...
 
  • Technicolor TC4400 Docsis 3.1 Modem Info Thread Beitrag #7.880
Zum Twitter support. Der für UM in BW zuständige Twitterservice sollte

Vodafone 24h Service

@vodafoneservice

sein, richtig? Nicht dass ich meine Daten an irgendwie Phantom weitergebe ...
Ich habe früher Twitter Unitymediahilfe genutzt aber die gibt es ja nicht mehr. Demnach sollte das passen mit Vodafone 24h Service.
 
  • Technicolor TC4400 Docsis 3.1 Modem Info Thread Beitrag #7.881
Ja das ist richtig.
 
  • Technicolor TC4400 Docsis 3.1 Modem Info Thread Beitrag #7.882
Allerdings wirst du da wahrscheinlich auch nicht unter 3-4 Werktagen eine Antwort erhalten.
 
  • Technicolor TC4400 Docsis 3.1 Modem Info Thread Beitrag #7.883
Das Modem ist online! Ich habe es dann doch nochmal per hotline moniert. Anscheinend hatte der Mitarbeiter am Donnerstag alles richtig eingetragen, aber den "übernehmen" button vergessen zu drücken :D :D. Nach dem Telefonat hat es dann keine 10 Minuten gedauert bis es lief ...

Anbei meine Leitungswerte, sind die so in Ordnung?
 

Anhänge

  • tc4400-3.png
    tc4400-3.png
    1,1 MB · Aufrufe: 52
  • tc4400-4.png
    tc4400-4.png
    59,5 KB · Aufrufe: 44
Zuletzt bearbeitet:
  • Technicolor TC4400 Docsis 3.1 Modem Info Thread Beitrag #7.884
Top. Leitungswerte sind ok bis gut. Viel Spaß!
 
  • Technicolor TC4400 Docsis 3.1 Modem Info Thread Beitrag #7.885
Hallo,
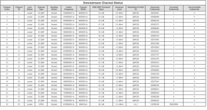
habe ein TC4400 an einem Unitymedia/Vodafone-Anschluss mit 500 M/Bit, PowerUpload und DualStack - als Router dahinter eine USG PRO.
Läuft soweit ganz ordentlich - lediglich die Latzenzen sind etwas hoch (so bei 23ms) und hin und wieder gibt es sporadische Hänger/Aussetzer.
Hab entsprechend eine Störung bei UM eröffnet - kann mir bitte einer der sich auskennt kurz die Werte meines TC4400 anschauen - als Nicht-Modem-Experte würde ich sagen der ODMF-Kanal sieht nicht gerade toll aus - oder ?

Danke vorab !!!
 

Anhänge

  • tc4400-1.jpg
    tc4400-1.jpg
    63,2 KB · Aufrufe: 40
  • tc4400-2.jpg
    tc4400-2.jpg
    840,4 KB · Aufrufe: 48
  • Technicolor TC4400 Docsis 3.1 Modem Info Thread Beitrag #7.887
Hallo,
habe ein TC4400 an einem Unitymedia/Vodafone-Anschluss mit 500 M/Bit, PowerUpload und DualStack - als Router dahinter eine USG PRO.
Läuft soweit ganz ordentlich - lediglich die Latzenzen sind etwas hoch (so bei 23ms) und hin und wieder gibt es sporadische Hänger/Aussetzer.
Hab entsprechend eine Störung bei UM eröffnet - kann mir bitte einer der sich auskennt kurz die Werte meines TC4400 anschauen - als Nicht-Modem-Experte würde ich sagen der ODMF-Kanal sieht nicht gerade toll aus - oder ?

Danke vorab !!!
Ne, toll sehen die generell nicht aus, aber noch im Rahmen. Nachmessen lassen schadet aber nicht!
 
  • Technicolor TC4400 Docsis 3.1 Modem Info Thread Beitrag #7.888
Ne, toll sehen die generell nicht aus, aber noch im Rahmen. Nachmessen lassen schadet aber nicht!
Danke für die super-schnelle Rückantwort - dann schauen wir mal was der Techniker sagt, wenn er dann mal erscheint :)
 
  • Technicolor TC4400 Docsis 3.1 Modem Info Thread Beitrag #7.889
Die Frage ist ob die da bei diesen Werten überhaupt einen Techniker rausschicken ... (Die Werte sind ja soweit alle noch im Soll, das einzig Unschöne sind halt die vielen unkorrigierbaren Fehler auf dem OFDM)
 
  • Technicolor TC4400 Docsis 3.1 Modem Info Thread Beitrag #7.890
Noch eine Frage zu meinen Log-Einträgen, kann ich die ignorieren/ sind die normal?
 

Anhänge

  • tc4400-log.png
    tc4400-log.png
    394,7 KB · Aufrufe: 31
  • Technicolor TC4400 Docsis 3.1 Modem Info Thread Beitrag #7.891
Es ändert sich nicht viel, lediglich ein Bug bei bestimmten CMTS Konfigurationen. Betrifft uns aktuell aber nicht.
Bei welchen CMTS Konfigurationen den? bzw welche CMTS betrifft es denn? Cisco?
 
  • Technicolor TC4400 Docsis 3.1 Modem Info Thread Beitrag #7.892
Kann ich nicht sagen, da mir in Deutschland noch keine solcher Fälle bekannt sind. Es gibt wohl aber Probleme bei der Profilumschaltung des OFDM mit manchen CMTS. Zum Cisco Bug kann ich leider nichts sagen, ob der gefixt ist inzwischen.

Noch eine Frage zu meinen Log-Einträgen, kann ich die ignorieren/ sind die normal?
Ja, und "ja".
 
  • Technicolor TC4400 Docsis 3.1 Modem Info Thread Beitrag #7.893
Kann ich nicht sagen, da mir in Deutschland noch keine solcher Fälle bekannt sind. Es gibt wohl aber Probleme bei der Profilumschaltung des OFDM mit manchen CMTS. Zum Cisco Bug kann ich leider nichts sagen, ob der gefixt ist inzwischen.


Ja, und "ja".
Super :)
 
  • Technicolor TC4400 Docsis 3.1 Modem Info Thread Beitrag #7.894
Bekommt man eigentlich noch die Telefon Option, wenn man auf das TC4400-EU tauscht ? Hab derzeit doppeltes NAT mit der FritzBox 6591 und UniFi UDM-Pro dahinter
 
  • Technicolor TC4400 Docsis 3.1 Modem Info Thread Beitrag #7.895
Falls du Telefon Comfort Option meinst, ja die kann man auf das TC4400 buchen.
 
  • Technicolor TC4400 Docsis 3.1 Modem Info Thread Beitrag #7.896
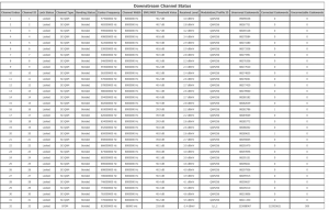
Hallo,
habe ein TC4400-EU an einem Unitymedia/Vodafone-Anschluss mit 1000 M/bit, als Router dahinter eine USG
Download bekomme ich max 400 Upload so um die 20 M/bit, ist eig viel zu wenig. kann einer mal über meine Modemwerte Schauen
ob hier irgendwo der wurm drin ist?

Danke schonmal im vorraus.
 

Anhänge

  • Bildschirmfoto 2020-05-03 um 19.13.18.png
    Bildschirmfoto 2020-05-03 um 19.13.18.png
    37,2 KB · Aufrufe: 35
  • Bildschirmfoto 2020-05-03 um 19.14.09.png
    Bildschirmfoto 2020-05-03 um 19.14.09.png
    39,6 KB · Aufrufe: 37
  • Bildschirmfoto 2020-05-03 um 19.13.39.png
    Bildschirmfoto 2020-05-03 um 19.13.39.png
    169,5 KB · Aufrufe: 34
  • Technicolor TC4400 Docsis 3.1 Modem Info Thread Beitrag #7.897
IPS/IDS aktiviert am USG ?
 
  • Technicolor TC4400 Docsis 3.1 Modem Info Thread Beitrag #7.898
Klingt eher nach einem Limiter oder so. Sicher dass hier nicht versehentlich noch ein alter Tarif (400/20) eingetragen ist irgendwo? Leitungswerte sehen top aus.
 
  • Technicolor TC4400 Docsis 3.1 Modem Info Thread Beitrag #7.899
Nein, noch nicht. aber direkt am modem angeschlossen hab ich das gleiche Resultat.
sind die werte von meinem Modem I.O?
 
  • Technicolor TC4400 Docsis 3.1 Modem Info Thread Beitrag #7.900
Klingt eher nach einem Limiter oder so. Sicher dass hier nicht versehentlich noch ein alter Tarif (400/20) eingetragen ist irgendwo? Leitungswerte sehen top aus.
Das Modem ist mit 1000/50 provisioniert!
 
Thema:

Technicolor TC4400 Docsis 3.1 Modem Info Thread

Technicolor TC4400 Docsis 3.1 Modem Info Thread - Ähnliche Themen

Netgear CM2000 (US Modem): Dank DOCSIS 3.1 und dem dortigen Wegfall der Unterscheidung zwischen DOCSIS und EuroDOCSIS sind einige Modems aus den USA durchaus im Vodafone...
Unitymedia Technicolor CGA4233 Docsis 3.1 Router Info Tread: Wie auch schon bei TC4400 dient dieser Thread zum Sammeln von Informationen zum Technicolor CGA4233. Default login: user / VTmgQapcEUaE Link zum...
Unitymedia Kabelmodem Arris CM8200B: Moin, Das Arris CM8200B wurde hier schon gelegentlich erwähnt, aber nie vertiefend. Da bei mir seit ein paar Tagen eines herumsteht starte ich...
Unitymedia Cisco EPC3208 verliert immer Verbindung -> Vodafone Station als Lösung? (DOCSIS 3.1 schuld?): Nabend! Ich habe seit 25.11. plötzlich ein massives Problem mit meinem Anschluß, und könnte etwas Aufklärung von Insidern brauchen bevor ich zur...
Unitymedia [Q] Probleme mit Bridge Network Model Virtualisierungsserver: Hallo! Ich habe eine Virtualisierungsplattform mit Web-Oberfläche (Proxmox VE 3.3) aufgesetzt und den Server direkt mit dem Kabel-Gateway TC7200...
Oben