• Kunden aus Hessen und Nordrhein-Westfalen können über die Rufnummer 0221 / 466 191 00 Hilfe bei allen Problemen in Anspruch nehmen.
    Kunden aus Baden-Württemberg können über die Rufnummer 0711 / 54 888 150 Hilfe bei allen Problemen in Anspruch nehmen.

Unitymedia Technicolor TC4400 Docsis 3.1 Modem Info Thread

Diskutiere Technicolor TC4400 Docsis 3.1 Modem Info Thread im Internet und Telefon über das TV-Kabelnetz Forum im Bereich Internet und Telefon; Die Werte sind Top !
  • Technicolor TC4400 Docsis 3.1 Modem Info Thread Beitrag #7.901
  • Technicolor TC4400 Docsis 3.1 Modem Info Thread Beitrag #7.902
  • Technicolor TC4400 Docsis 3.1 Modem Info Thread Beitrag #7.903
ja upload ist egal wann max bei 35.
hab gerade nochmal mein PC direkt an das TC-4400-EU angeschlossen und ca 20 Speedtests gemacht.
Download immer 900 +- 20
Upload schiesst beim Start kurz auf 40 und fällt dann langsam auf 25 und da bleibt es dann konstant bei 20 bis 25.
das ist das Ergebnisse das ich eigentlich schon die ganze Zeit seit der Umstellung auf das TC-4400 habe.
Download ist für mich top mehr brauch ich nicht aber der Upload wäre für mich wichtiger, das war der eigentliche grund für den Wechsel auf die 1000 er Leitung.
was könnte es noch sein? probiere gern alles durch.
 
  • Technicolor TC4400 Docsis 3.1 Modem Info Thread Beitrag #7.904
was könnte es noch sein? probiere gern alles durch.
Das Segment ist einfach dicht, daran kannst Du nichts machen. Solltest froh sein, dass Du überhaupt noch 20-25 MBit's im UL bekommst.
Andere bekommen da teilweise mittlerweile nur noch 《1 MBit's
 
  • Technicolor TC4400 Docsis 3.1 Modem Info Thread Beitrag #7.905
das Komische an der Geschichte ist wenn ich auf meine alte FB 6490 Cable Provisioniere ist der Upload Perfekt,
da liege ich immer so um die 52 - 56 aber der Download kackt dann bei 600 ab da die alte FB nicht für den Download kozipiert ist. das heist doch eigentlich das der upload von 50 normal kein Problem darstellen sollte oder?
 
  • Technicolor TC4400 Docsis 3.1 Modem Info Thread Beitrag #7.906
Das TC packt 50 Mbits Upload ohne Probleme.
 
  • Technicolor TC4400 Docsis 3.1 Modem Info Thread Beitrag #7.907
das denk ich mir doch, sollte für das TC eigentlich kein Problem darstellen.
 
  • Technicolor TC4400 Docsis 3.1 Modem Info Thread Beitrag #7.908
Kurzes Update zu meinem Umstieg aufs TC4400 vor zwei Tagen (vorher Cisco 3208):
Das Modem läuft super und irgendwie sind die minimalen Latenzen besser geworden. Mit dem Cisco war das höchste der Gefühle ein Ping von 12 ms zum google DNS (8.8.8.8), mit dem TC4400 bin ich jetzt bei minimal 6 ms. Hat das mit dem zusätzlichen OFDM Kanal zu tun???
 
  • Technicolor TC4400 Docsis 3.1 Modem Info Thread Beitrag #7.909
Eher nicht. Zufall, oder Glück welchen Zeitschlitz man erwischt bei der Kopfstelle. Ich habe teils 3-4ms min, im Schnitt aber 8.
 
  • Technicolor TC4400 Docsis 3.1 Modem Info Thread Beitrag #7.910
Bekommt man eigentlich noch die Telefon Option, wenn man auf das TC4400-EU tauscht ? Hab derzeit doppeltes NAT mit der FritzBox 6591 und UniFi UDM-Pro dahinter
Ich habe die Telefon Comfort Option immer als Aufpreis für einen vernünftigen Router verstanden (als es die Routerfreiheit noch nicht gab). Diese zusätzliche Rufnummer haben die da nur mit rein genommen, damit sie sich nicht die Blöße geben müssen das Standardmodem als schlecht zu bezeichnen.

Ansonsten halte ich 5€ für die zusätzliche Leitung für viel zu viel! Gib das Geld lieber bei einem Anbieter aus, der etwas von VoIP versteht, also Sipgate oder easybell. Dann hast du bei einem Anbieterwechsel auch keinen Zusatzaufwand mehr für eine Rufnummerportierung...
 
  • Technicolor TC4400 Docsis 3.1 Modem Info Thread Beitrag #7.911
... aber leider auch die Arbeit, den Altanschluss selber kündigen zu müssen und die Kündigungsbestätigung dem neuen Anbieter zu übermitteln. Das darf dabei nicht außer Acht gelassen werden. Für die meisten von uns dürfte das kein Problem darstellen, aber bei manchen ist das ein Problem. Kein Fax, kein Scanner oder Multifunktionsgerät, somit keine Möglichkeit, die Kündigungsbestätigung selbst zu digitalisieren und dem neuen Provider zugänglich zu machen...
 
  • Technicolor TC4400 Docsis 3.1 Modem Info Thread Beitrag #7.912
... aber leider auch die Arbeit, den Altanschluss selber kündigen zu müssen und die Kündigungsbestätigung dem neuen Anbieter zu übermitteln. Das darf dabei nicht außer Acht gelassen werden. Für die meisten von uns dürfte das kein Problem darstellen, aber bei manchen ist das ein Problem. Kein Fax, kein Scanner oder Multifunktionsgerät, somit keine Möglichkeit, die Kündigungsbestätigung selbst zu digitalisieren und dem neuen Provider zugänglich zu machen...
Najaaaaaaa, Foto mit Schlaufon machen wird wohl jeder hinbekommen. Nur diese ganze Bürokratie was wohin schicken und dann die Ungewissheit wird vermutlich doch einige abschrecken.
 
  • Technicolor TC4400 Docsis 3.1 Modem Info Thread Beitrag #7.913
Mein Modem läuft leider "nur" mit der 20er Firmware. Alles darüber führt dazu, dass das Modem nicht mehr online kommt. ****** Cisco Bug :rolleyes: oder wurde der in der 42er gefixt?

Mein TC4400 mit 41er-Firmware syncte am Cisco-CMTS der Tele AG (Deutsche Telekom White Label) letztes Jahr auch nicht. Inzwischen wurde das Problem offenbar anbieter-seitig behoben. Ist immer noch das Cisco-CMTS mit 16/4, aber das Modem geht nun online und kommt ohne weitere Firmware-Updates auf das Provisionierungs-Portal.

Werde weiterhin keinen Tarif buchen, da alles voll mit LTE-Einstrahlungen...
 
  • Technicolor TC4400 Docsis 3.1 Modem Info Thread Beitrag #7.914
Najaaaaaaa, Foto mit Schlaufon machen wird wohl jeder hinbekommen. Nur diese ganze Bürokratie was wohin schicken und dann die Ungewissheit wird vermutlich doch einige abschrecken.
Ist ja eigentlich auch von der Politik und der BNetzA so nicht gewollt. Außerdem wirds dann nix mit Weiterversorgung, wenn sich der Anschluss beim neuen Provider aus welchen Gründen auch immer verzögert. Das geht nur mit Portierungsauftrag :(
 
  • Technicolor TC4400 Docsis 3.1 Modem Info Thread Beitrag #7.915
Hallo zusammen,
leider bin ich grad etwas hektisch, da mir hier einige Dinge schieflaufen. Ich sitze hier übrigens in NRW und habe noch einen Unitymediavertrag, wo mir jetzt ein Zwangstausch aus Auge gedrückt wird. Bisher habe ich IPv4 und mein gutes altes Cisco-Modem mit 100/5. Und ich bin eigentlich glücklich.

Seit heute hat mir Vodafone die tolle Vodafone-Station zugeschickt. Der Hinweis sagt, dass ich jetzt 10 Tage Zeit zum Umbau habe. Diese kann ich aber nicht gebrauchen, da ich auf VPN und externen Zugriff angewiesen bin.
Parallel dazu abe ich mir aber ein neues TC4400 besorgt und wollte stattdessen das Modem bei Vodafone in meinen bestehenden Unitymediavertrag einbuchen lassen.
Ich habe endlich einen Mitarbeiter gefunden, der bereit war, meine Routerfreiheit anzuerkennen und wo das Modem mit Seriennummer und Mac einbuchen wollte. Dann kam er aber damit heraus, dass er dieses Modem gar nicht einbchen kann, weil es aus dem Ausland kommt, das Vodafone dieses Modem gar nicht kennt, er es gar nicht einbuchen kann und irgendwann hat er afgelegt. Der letzte Stand war jetzt eigentlich, dass er das Modem eingetragen hat und heute irgendwann umgeschaltet wird und das alte Modem abgeschaltet wird. Dann meinte er noch, das das mit meinem Vertrag doch nicht geht und dann hat er aufgelegt. Ganz toll!

Meine Frage ist jetzt:
Will der nur nicht, oder kann man das TC4400 jetzt doch nicht benutzen? Gibt es Erfahrungen mit dem TC4400 und Vodafone, reicht die Standard-Firmware auf dem Gerät? Es wurde bei Werner gekauft.
Kann/Muss/Sollte ich mich an irgendwen wenden?

Danke für die Antworten, entschuldigt bitte meine Hektik, ich bekomme gerade Sorge, dass nachher nichts mehr läuft und ich nicht mehr die Kamera sehe, die ich benötige, um zu kontrollieren, ob meine beiden Senioren nicht in Haus und Garten gestolpert sind, wie es schon mal war.

NAchtrag:
Laut Werner ist die derzeitige Firmware: SR70.12.42
 
Zuletzt bearbeitet:
  • Technicolor TC4400 Docsis 3.1 Modem Info Thread Beitrag #7.916
Ich habe endlich einen Mitarbeiter gefunden, der bereit war, meine Routerfreiheit anzuerkennen und wo das Modem mit Seriennummer und Mac einbuchen wollte. Dann kam er aber damit heraus, dass er dieses Modem gar nicht einbchen kann, weil es aus dem Ausland kommt, das Vodafone dieses Modem gar nicht kennt, er es gar nicht einbuchen kann und irgendwann hat er afgelegt. Der letzte Stand war jetzt eigentlich, dass er das Modem eingetragen hat und heute irgendwann umgeschaltet wird und das alte Modem abgeschaltet wird. Dann meinte er noch, das das mit meinem Vertrag doch nicht geht und dann hat er aufgelegt. Ganz toll!
Ja, ganz toll.
Da bist Du mal wieder auf die geballte Inkompetenz getroffen.
Der MA sollte besser bei der Wohlfahrt anfangen !
Jedenfalls musst Du zur Aktivierung des Modems auf einen aktuellen Tarif wechseln.
Bei dem alten 100/5 Tarif stellen die sich quer.
Das hätte der MA Dir aber erläutern müssen.
Also auf einen aktuellen Tarif + Power UL wechseln und DS schalten lassen.
Dann das Modem freischalten lassen.
 
  • Technicolor TC4400 Docsis 3.1 Modem Info Thread Beitrag #7.917
Hallo zusammen,
leider bin ich grad etwas hektisch, da mir hier einige Dinge schieflaufen. Ich sitze hier übrigens in NRW und habe noch einen Unitymediavertrag, wo mir jetzt ein Zwangstausch aus Auge gedrückt wird. Bisher habe ich IPv4 und mein gutes altes Cisco-Modem mit 100/5. Und ich bin eigentlich glücklich.

Seit heute hat mir Vodafone die tolle Vodafone-Station zugeschickt. Der Hinweis sagt, dass ich jetzt 10 Tage Zeit zum Umbau habe. Diese kann ich aber nicht gebrauchen, da ich auf VPN und externen Zugriff angewiesen bin.
Parallel dazu abe ich mir aber ein neues TC4400 besorgt und wollte stattdessen das Modem bei Vodafone in meinen bestehenden Unitymediavertrag einbuchen lassen.
Ich habe endlich einen Mitarbeiter gefunden, der bereit war, meine Routerfreiheit anzuerkennen und wo das Modem mit Seriennummer und Mac einbuchen wollte. Dann kam er aber damit heraus, dass er dieses Modem gar nicht einbchen kann, weil es aus dem Ausland kommt, das Vodafone dieses Modem gar nicht kennt, er es gar nicht einbuchen kann und irgendwann hat er afgelegt. Der letzte Stand war jetzt eigentlich, dass er das Modem eingetragen hat und heute irgendwann umgeschaltet wird und das alte Modem abgeschaltet wird. Dann meinte er noch, das das mit meinem Vertrag doch nicht geht und dann hat er aufgelegt. Ganz toll!

Meine Frage ist jetzt:
Will der nur nicht, oder kann man das TC4400 jetzt doch nicht benutzen? Gibt es Erfahrungen mit dem TC4400 und Vodafone, reicht die Standard-Firmware auf dem Gerät? Es wurde bei Werner gekauft.
Kann/Muss/Sollte ich mich an irgendwen wenden?

Danke für die Antworten, entschuldigt bitte meine Hektik, ich bekomme gerade Sorge, dass nachher nichts mehr läuft und ich nicht mehr die Kamera sehe, die ich benötige, um zu kontrollieren, ob meine beiden Senioren nicht in Haus und Garten gestolpert sind, wie es schon mal war.

NAchtrag:
Laut Werner ist die derzeitige Firmware: SR70.12.42
Ich würde es in dem Fall über die Kundenrückgewinnung versuchen. Vorteil hier: man kommt direkt bei Vodafone raus. Ich würde den Mitarbeiter auch nicht mit einem TC4400 verunsichern. Einfach sagen Du möchtest ein eigenes Modem freischalten lassen. Die Mitarbeiter wählen dort dann eine Fritzbox aus, das passt auch soweit. Natürlich darauf hinweisen dass es eine DOCSIS 3.1 "Fritzbox" ist. Normal klappt die Provisionierung dann innerhalb weniger Minuten. Die CM-MAC lasse ich mir danach immer nochmal vorlesen zum Abgleich.

Viel Glück!
 
  • Technicolor TC4400 Docsis 3.1 Modem Info Thread Beitrag #7.918
Hallo und Danke für die schnelle Antwort.
dann erzähle ich denen halt ab jetzt alles zur Fritzbox. Ich würde auch gerne einen neuen Tarif abschließen, obwohl ich es traurig finde, dass man dort dann 24 Monate abschließen muss und noch 9,90 Euro für vorzeitigen Vertragswechsel. Bisher hat man mir aber ausschließlich Verträge ab 39 Euro angeboten, wollte mir meine IPv4 nicht bestätigen und auch sonst nichts.

Kann ich an die Kundenrückgewinnung denn schon ohne Kündigung heran und wie erreiche ich die?

Das TC4400 ist aber jetzt OK, oder?
 
  • Technicolor TC4400 Docsis 3.1 Modem Info Thread Beitrag #7.920
Natürlich darauf hinweisen dass es eine DOCSIS 3.1 "Fritzbox" ist. Normal klappt die Provisionierung dann innerhalb weniger Minuten. Die CM-MAC lasse ich mir danach immer nochmal vorlesen zum Abgleich.

Viel Glück!

Danke!
Die CM-MAC ist aber die Mac, die unter dem Modem steht, richtig?

Ich finde es übrigens toll, wenn ich Deine Signatur lese. Bei mir wäre es TC4400 und Draytek Vigor 2920N. :)
 
  • Technicolor TC4400 Docsis 3.1 Modem Info Thread Beitrag #7.921
Genau, die CM-MAC steht einmal am Modem und auf dem Karton vom Modem. Probier mal die 0800/23232309 für die Kundenrückgewinnung, ansonsten bei der Hotline zur Kundenrückgewinnung durchstellen lassen.
 
  • Technicolor TC4400 Docsis 3.1 Modem Info Thread Beitrag #7.922
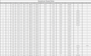
Hallo Leute,

ich habe ein TC4400 an einem Vodafone-Anschluss mit 1000 M/Bits. Könnte sich einer der Experten hier mal kurz meine Werte anschauen? Ich glaube, die sind richtig mies. Vielen Dank schon mal dafür!
 

Anhänge

  • Bildschirmfoto am 2020-04-19 um 18.16.14.png
    Bildschirmfoto am 2020-04-19 um 18.16.14.png
    74 KB · Aufrufe: 52
  • Technicolor TC4400 Docsis 3.1 Modem Info Thread Beitrag #7.923
Die passen hinten und vorne nicht, richtig. Störung melden! Aus Interesse: wie läuft so ein krummer Anschluss mit dem TC4400?
 
  • Technicolor TC4400 Docsis 3.1 Modem Info Thread Beitrag #7.924
Geht noch so, hängt aber immer mal kurz.
 
  • Technicolor TC4400 Docsis 3.1 Modem Info Thread Beitrag #7.925
Denk nur dran, daß du bei VFKDG zwingend das Providergerät für eine Störungsmeldung angeschlossen haben musst und auch bis zum Technikerbesuch dein eigenes Endgerät nicht wieder aktivieren darfst, sonst wird die Störung automatisch durchs System geschlossen.
 
Thema:

Technicolor TC4400 Docsis 3.1 Modem Info Thread

Technicolor TC4400 Docsis 3.1 Modem Info Thread - Ähnliche Themen

Netgear CM2000 (US Modem): Dank DOCSIS 3.1 und dem dortigen Wegfall der Unterscheidung zwischen DOCSIS und EuroDOCSIS sind einige Modems aus den USA durchaus im Vodafone...
Unitymedia Technicolor CGA4233 Docsis 3.1 Router Info Tread: Wie auch schon bei TC4400 dient dieser Thread zum Sammeln von Informationen zum Technicolor CGA4233. Default login: user / VTmgQapcEUaE Link zum...
Unitymedia Kabelmodem Arris CM8200B: Moin, Das Arris CM8200B wurde hier schon gelegentlich erwähnt, aber nie vertiefend. Da bei mir seit ein paar Tagen eines herumsteht starte ich...
Unitymedia Cisco EPC3208 verliert immer Verbindung -> Vodafone Station als Lösung? (DOCSIS 3.1 schuld?): Nabend! Ich habe seit 25.11. plötzlich ein massives Problem mit meinem Anschluß, und könnte etwas Aufklärung von Insidern brauchen bevor ich zur...
Unitymedia [Q] Probleme mit Bridge Network Model Virtualisierungsserver: Hallo! Ich habe eine Virtualisierungsplattform mit Web-Oberfläche (Proxmox VE 3.3) aufgesetzt und den Server direkt mit dem Kabel-Gateway TC7200...
Oben