• Kunden aus Hessen und Nordrhein-Westfalen können über die Rufnummer 0221 / 466 191 00 Hilfe bei allen Problemen in Anspruch nehmen.
    Kunden aus Baden-Württemberg können über die Rufnummer 0711 / 54 888 150 Hilfe bei allen Problemen in Anspruch nehmen.

Unitymedia Technicolor TC4400 Docsis 3.1 Modem Info Thread

Diskutiere Technicolor TC4400 Docsis 3.1 Modem Info Thread im Internet und Telefon über das TV-Kabelnetz Forum im Bereich Internet und Telefon; Wie es funktioniert, sieht man in diesem Thread. Ich kaufe natürlich bei der Telekom nichts, deren Angebote sind für mich allesamt uninteressant...
  • Technicolor TC4400 Docsis 3.1 Modem Info Thread Beitrag #10.601
Funktioniert bei dir der TC4400 im Telekom Netz?
Wie es funktioniert, sieht man in diesem Thread. Ich kaufe natürlich bei der Telekom nichts, deren Angebote sind für mich allesamt uninteressant (Preis, Leistung, Vertragslaufzeiten).
 
  • Technicolor TC4400 Docsis 3.1 Modem Info Thread Beitrag #10.602
Hallo,

was bedeutet den eigentlich dieser Eintrag im Event-Log des Modems:

CM-STATUS message sent. Event Type Code: 22; Chan ID: 31; DSID: N/A; MAC Addr: N/A; OFDM/OFDMA..

Habe meist nur Einträge die sich abwechseln mit:

CM-STATUS message sent. Event Type Code: 16; Chan ID: 31; DSID: N/A; MAC Addr: N/A; OFDM/OFDMA..

CM-STATUS message sent. Event Type Code: 24; Chan ID: 31; DSID: N/A; MAC Addr: N/A; OFDM/OFDMA..

Dieser Code 22 würde mich interessieren. Ist das dann nochmal ein anderes Profil?
 
  • Technicolor TC4400 Docsis 3.1 Modem Info Thread Beitrag #10.603
code 22 bedeutet "NCP profile recovery"
 
  • Technicolor TC4400 Docsis 3.1 Modem Info Thread Beitrag #10.604
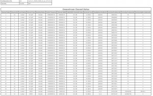
So bei mir waren heute Nacht Wartungsarbeiten. Nachdem ich schon zwei OFDM Downstream hatte gab es nun wie erwartet den OFDM Upstream.

Da ich schon immer schlechte Werte im Upstream hatte muss ich wohl jetzt mal eine Störung melden :(

Eigentlich läuft alles wunderbar, habe 250/50 (mit Power Upload) und hatte immer die volle Leistung. Nun bricht seit heute aber der Upstream teils heftig weg.

Mehrere Speedtests (speedtest.net / ookla) mit folgenden Ergebnis:

Ping meist bei 5ms (4-9ms war die Range, aber fast immer 5ms trotz verschiedener Server).

Downstream mindestens 250Mbit, meistens > 260Mbit.

Upstream, ab und zu wurden die 50 Mbit erreicht, aber teilweise nur 10Mbit und der Mittelwert lag bei 30Mbit...

Das wird ein Spass erstmal an der Hotline vorgekaut zu bekommen, dass es 99€ kostet falls der Techniker nichts findet und es am Kunden eigenen Modem liegt.

Interessant ist der Unitymedia Speedtest, Downstream immer größer 270 MBit, Ping deutlisch schlechter mit 13ms und Upstream waren 12, 51 und 39 MBit.
 

Anhänge

  • Upstream-TC4400.JPG
    Upstream-TC4400.JPG
    43,9 KB · Aufrufe: 42
  • Downstream-TC4400.JPG
    Downstream-TC4400.JPG
    260 KB · Aufrufe: 39
  • Technicolor TC4400 Docsis 3.1 Modem Info Thread Beitrag #10.605
der tafdm modus funktioniert halt einfach nur weiterhin mega schlecht und es bleibt weiterhin bei dem Zitat
In some initial testing, when using the TaFDM feature between SC-QAM & OFDMA channels, it has been observed that the throughput varies depending on the set of channels in use. In one example configuration, there was one 40 MHz OFDMA channel and 4 SCQAM channels in between as per above diagram. The throughput for the time with OFDMA-only portion in use is the highest, the SCQAM-only is the lowest and when they are time sharing the throughput is somewhere in between. To achieve a good OFDMA throughput, consecutive spectrum is needed without the use of SC-QAM channels. The CMTSs tends to schedule OFDMA traffic first in the OFDMA area before it schedules OFDMA bursts in the TaFDM area. If that area is in the lower part of the US spectrum, then the OFDMA also has to deal with the ingress noise which is more typical at the lower frequencies up to 20 MHz. Some operators have turned off TaFDM as that feature is not quite mature on the CMTS implementations and has not gone through enough CMTS-CM system debug.

ein weiteres Zitat klärt auch etwas, warum die bandbreite mit dem tafdm OFDMA auch so schwankt. Wenn der upstream verrauscht ist, springen die profile derart hin und her und dadurch verringert sich die qualität
A CM supports 2 US Profiles/IUCs at a time. A CM starts on the OFDMA channel wit h IUC 13(say for example 16 QAM). At a later point the CM is assigned an additional IUC (e.g. IUC 12, say 256 QAM). When CMTS sees US FEC errors on the secondary profile (IUC 12 in this example), it chooses to rectify the situation. A CMTS can reassign the CM a new IUC (say IUC 11, with 64 QAM in areas of high noise and 256 QAM elsewhere) via DBC messages. The CMTS continues to use the default IUC-Profile 13 to forward traffic to avoid packet loss during IUC change, when the DBC is in process. In practice, this means is that the US capacity for the CM is changing intermittently quite significantly which leads to a degraded performance and user experience. We observed this in multiple MSO lab trials and also in our testing.
 
Zuletzt bearbeitet:
  • Technicolor TC4400 Docsis 3.1 Modem Info Thread Beitrag #10.606
Danke @floh667

Das Event Log bestätigt dauernde Wechsel des Profils auf dem US OFDMA.

Hoffentlich komme ich mit dem schwankenden Upload zu Recht. Das TC4400 läuft ansonsten perfekt.
 
  • Technicolor TC4400 Docsis 3.1 Modem Info Thread Beitrag #10.607
Wenn der Upstream neu eingepegelt ist, dann dürfte das Problem beseitigt sein. +10dBmV auf allen Kanälen fehlen wohl...
 
  • Technicolor TC4400 Docsis 3.1 Modem Info Thread Beitrag #10.608
Hey Leute,
hab mich jetzt nach Ewigkeiten wieder versucht etwas hier einzulesen. Hab zwei Fragen an euch.
Zum einen versuche ich mich in die Weboberfläche einzuloggen mit „admin/password“, da tut sich aber nichts.

ich erinnere mich grob die .42 Firmware drauf zu haben, sollte ich die Updaten lassen oder kann ich ,wenn alles problemlos läuft, ohne Bedenken die .42 drauf lassen?

danke schon mal
 
  • Technicolor TC4400 Docsis 3.1 Modem Info Thread Beitrag #10.609
  • Technicolor TC4400 Docsis 3.1 Modem Info Thread Beitrag #10.610
Danke wegen den Zugangsdaten.

habe aktuell bei mir die .41installiert. Ja, es läuft alles stabil, mir ging es eher drum ob es etwas sicherheitsrelevantes gibt weswegen man unbedingt Updaten sollte, kommt ja hier und da auch mal vor.
 
  • Technicolor TC4400 Docsis 3.1 Modem Info Thread Beitrag #10.611
Hi,

nein, es gab nur Optimierungen bezüglich des OFDMA Kanals. Die letzte bekannte größere Lücke (CableHaunt) ist mit Firmwareversionen <.40 geschlossen.
 
  • Technicolor TC4400 Docsis 3.1 Modem Info Thread Beitrag #10.612
Muss man das Netzteil mitschicken?
 
  • Technicolor TC4400 Docsis 3.1 Modem Info Thread Beitrag #10.613
Hi,

für ein Firmware-Update bei Werner? Nein :)
 
  • Technicolor TC4400 Docsis 3.1 Modem Info Thread Beitrag #10.614
Hi,

für ein Firmware-Update bei Werner? Nein :)
Ja.
Okay, danke :)

Hab mittlerweile jede Minute T3 Timeouts.
Die Leitung an sich ist aber stabil, komischerweise.

Mal gucken ob das FW Update etwas bringt.
 
  • Technicolor TC4400 Docsis 3.1 Modem Info Thread Beitrag #10.615
Ich komme nicht mehr auf die Eventlog Seite. Weder mit dem Menü, noch direkt. Ich sehe nur den oberen Anfang der Tabelle aber ohne Inhalt. Hat jemand einen Tipp parat?
 
  • Technicolor TC4400 Docsis 3.1 Modem Info Thread Beitrag #10.616
Das liegt daran dass das Event Log voll ist und das TC4400 nichts mehr anzeigt.

Nach einen Neustart kommt es wieder. Ist ein Fehler in der Software.
 
  • Technicolor TC4400 Docsis 3.1 Modem Info Thread Beitrag #10.617
Bei uns wurde im Upstream auch der OFDMA aktiviert -seit dem hab ich Probleme

TC4400 mit .41er FW - "reicht" hier neues Einpegeln?

1631183690229.png



1631183755114.png
 
  • Technicolor TC4400 Docsis 3.1 Modem Info Thread Beitrag #10.618
Vermutlich Zeit für dein FW-Update bei Werner....
 
  • Technicolor TC4400 Docsis 3.1 Modem Info Thread Beitrag #10.619
Och ne.... dann muss ich ja erst hinschicken :( Dachte liegt nur weil der OFDMA zu wenig upstream power hat?
 
  • Technicolor TC4400 Docsis 3.1 Modem Info Thread Beitrag #10.620
Och ne.... dann muss ich ja erst hinschicken :( Dachte liegt nur weil der OFDMA zu wenig upstream power hat?

5...6 dB Pegelunterschied zu den SC-QAM-Kanälen ist ganz normal. Der CMTS regelt das
 
  • Technicolor TC4400 Docsis 3.1 Modem Info Thread Beitrag #10.621
Meint ihr also wirklich führt kein Weg dran vorbei? Techniker neu einpegeln lassen hilft nix ?
 
  • Technicolor TC4400 Docsis 3.1 Modem Info Thread Beitrag #10.622
Die Pegel im Upstream sind ganz gut bei Dir! Daran wird es sicherlich nicht liegen.
 
  • Technicolor TC4400 Docsis 3.1 Modem Info Thread Beitrag #10.623
Hab mal LTE Sperrfilter wieder reingemacht... mal sehen... hat ja auch untenrum bissel Dämpfung

1631201646790.png

Geht zur Zeit nicht 3 Tage auf Telefon zu verzichten.. echt nervig
 
  • Technicolor TC4400 Docsis 3.1 Modem Info Thread Beitrag #10.624
Dein einer Upstreamkanal läuft jetzt im Partitial Service...
 
  • Technicolor TC4400 Docsis 3.1 Modem Info Thread Beitrag #10.625
Ne war nur kurz... is jetzt alles bonded. Bissel stabiler isses nun auch find ich

1631209937883.png
 
Thema:

Technicolor TC4400 Docsis 3.1 Modem Info Thread

Technicolor TC4400 Docsis 3.1 Modem Info Thread - Ähnliche Themen

Netgear CM2000 (US Modem): Dank DOCSIS 3.1 und dem dortigen Wegfall der Unterscheidung zwischen DOCSIS und EuroDOCSIS sind einige Modems aus den USA durchaus im Vodafone...
Unitymedia Technicolor CGA4233 Docsis 3.1 Router Info Tread: Wie auch schon bei TC4400 dient dieser Thread zum Sammeln von Informationen zum Technicolor CGA4233. Default login: user / VTmgQapcEUaE Link zum...
Unitymedia Kabelmodem Arris CM8200B: Moin, Das Arris CM8200B wurde hier schon gelegentlich erwähnt, aber nie vertiefend. Da bei mir seit ein paar Tagen eines herumsteht starte ich...
Unitymedia Cisco EPC3208 verliert immer Verbindung -> Vodafone Station als Lösung? (DOCSIS 3.1 schuld?): Nabend! Ich habe seit 25.11. plötzlich ein massives Problem mit meinem Anschluß, und könnte etwas Aufklärung von Insidern brauchen bevor ich zur...
Unitymedia [Q] Probleme mit Bridge Network Model Virtualisierungsserver: Hallo! Ich habe eine Virtualisierungsplattform mit Web-Oberfläche (Proxmox VE 3.3) aufgesetzt und den Server direkt mit dem Kabel-Gateway TC7200...
Oben