• Kunden aus Hessen und Nordrhein-Westfalen können über die Rufnummer 0221 / 466 191 00 Hilfe bei allen Problemen in Anspruch nehmen.
    Kunden aus Baden-Württemberg können über die Rufnummer 0711 / 54 888 150 Hilfe bei allen Problemen in Anspruch nehmen.

Unitymedia Technicolor TC4400 Docsis 3.1 Modem Info Thread

Diskutiere Technicolor TC4400 Docsis 3.1 Modem Info Thread im Internet und Telefon über das TV-Kabelnetz Forum im Bereich Internet und Telefon; Sehr geehrte / -r Frau / Herr Nutzer / -in shm0, Eine der gültigen Normenwerken entsprechende Bezeichnung ist dem Verfasser dieses Beitrages...
  • Technicolor TC4400 Docsis 3.1 Modem Info Thread Beitrag #10.701
Sehr geehrte / -r Frau / Herr Nutzer / -in shm0,

Weiss zufällig jemand wie diese Hohlstecker heißen, wo man den Strom direkt abgreifen kann?
Also quasi so nen Durchgangsstecker an dem 2 Kabel rausgehen?
Eine der gültigen Normenwerken entsprechende Bezeichnung ist dem Verfasser dieses Beitrages leider nicht bekannt.
Im Handel werden solche Produkte gerne unter Bezeichnungen wie Y-Kabel oder Y-Verteiler vertrieben. Beispiele:




Mit freundlichen Grüßen

Jung-Fernmelder

Bearbeitungsvermerk: Fehlfunktion eines Links beseitigt.
 
  • Technicolor TC4400 Docsis 3.1 Modem Info Thread Beitrag #10.702
Also müsste Vodafone die Anlage modernisieren?
Was wäre wenn nicht bekannten Elektriker, dass machen lasse?
Ich weiß auch nicht warum sowas nicht direkt erneuernd wird...
Erspart dann die Fehlersucherei....

Die Anlage ist auf keiner Lochplatte montiert.
Alle Bauteile (einschließlich HÜP) sind aber am PA angeschlossen.

Der Aufbau ist wie folgt:
Hüb -> Erdungsblock > Astro HV 432 Verstärker > Erdungsblock > 3 Fach Verteiler > Erdungsblock > Anschlüsse Teilnehmer

Am Eingang vom Verstärker und an 2 Teilnehmerausgängen sind noch Dämpfungsglieder verbaut.

Welche genau, müsste ich noch mal nachschauen.

Alles Crimp Stecker und keine Kompressionsstecker.

Die Teilnehmer Kabel sind alle, gefühlt 50 Jahre alt.
Würde ich als nicht mal 1,5 fach geschirmt bezeichnen.
Folie ja, Geflecht keine Ahnung ob man das als Geflecht bezeichnen kann.
Und natürlich braun telecom Dosen...


Hohlstecker Y Kabel, könnte man auch nehmen....

Offtopic Frage:
Phase links oder rechts in der Steckdose?
 
Zuletzt bearbeitet:
  • Technicolor TC4400 Docsis 3.1 Modem Info Thread Beitrag #10.703
Am Eingang vom Verstärker und an 2 Teilnehmerausgängen sind noch Dämpfungsglieder verbaut.

Das sind wahrscheinlich keine Dämpfungsglieder.
Am Eingang des Verstärkers wird gerne ein Filter für den Upstream eingesetzt, der den Frequenzbereich unterhalb von 25 oder 28 MHz sperrt. Da gibt es zu viele Störungen.
Wenn die zwei weiteren Teilnehmer kein Kabel-Internet haben, ist an ihren Abgängen womöglich ein Rückweg-Sperrglied montiert, welches den ganzen Bereich unterhalb 88 MHz wegfiltert.

NACHTRAG - Wikipedia sagt zu den Steckdosen:

Entgegen vielen Meinungen gibt es bei CEE-7/4-Steckdosen keine Norm, welche die Position des Neutralleiters „links“ oder „rechts“ bei waagerecht angeordneten Steckbuchsen festlegt. Bei Steckdosen nach der Schweizer Norm SEV 1011 ist der Neutralleiter vom Betrachter aus gesehen links und der Schutzleiter mittig unten.

Und als Fußnote weiter unten dann....

Entgegen der früheren Praxis, bei waagerecht angeordneten Buchsen den Neutralleiter (von vorne gesehen) links anzuschließen, setzt sich immer mehr die Variante mit Neutralleiter „rechts“ durch.
Wird der Neutralleiter rechts angeschlossen, so ist bei der häufigen Benutzung „Winkelstecker mit nach unten zeigender Anschlussleitung“ die Kompatibilität mit dem französischen System (Typ E; CEE7/5) gegeben, für welches es in Frankreich eine verbindliche nationale Vorschrift für die Anschlussfolge gibt.

Entweder, man folgt den Schweizern, oder den Franzosen ;-)
 
Zuletzt bearbeitet:
  • Technicolor TC4400 Docsis 3.1 Modem Info Thread Beitrag #10.704
Sehr geehrte / -r Frau / Herr Nutzer / -in shm0,


Nein. Bis vor ein paar Jahren war der Erdungsanschluss des Hausübergabepunktes mittels einer vier Quadratmillimeter starken, grün-gelb ummantelten Kuperleitung mit dem örtlichen Potentialausgleich zu verbinden. Aktuell jedoch darf diese Verbindung nicht mehr hergestellt werden.

Mit freundlichen Grüßen

Jung-Fernmelder

Aussage bitte belegen. Danke
 
  • Technicolor TC4400 Docsis 3.1 Modem Info Thread Beitrag #10.705
Sehr geehrte / -r Frau / Herr Nutzer / -in shm0,

Also müsste Vodafone die Anlage modernisieren?
In aller Regel sind Modernisierungen über die Firma Vodafone zu initialisieren. Ähnlich wie in der Medizin gibt es konkrete Indikationen für eine Modernisierung; einfach zum Selbstzweck wird dies nicht durchgeführt. Liegt denn in irgendeiner Art und Weise eine Störung vor? Welche Dienste können von den an die Verteilanlage angeschlossenen Kundinnen oder Kunden nicht uneingeschränkt genutzt werden? Ihre Verteilanlage mag alt sein und, (unter anderem) da als Maßnahme zur Vermeidung der Verschleppung von potentiell gefährlichen und störenden Ausgleichströmen, die sich über die Schirme der verbauten Koaxialkabel ihre Wege durch das Breitbandkabelnetz bahnen, der Hausübergabepunkt geerdet wurde, ferner die Komponenten nicht auf einer Lochplatte montiert wurden, nicht dem aktuellen Stand der Technik entsprechen, aber insofern sie ihren Zweck erfüllt, ist kein Handlungsbedarf erkennbar. Der verbaute Hausanschlussverstärker weist einen Frequenzbereich von 85 - 1006 MHz im Vorweg und 5 - 65 MHz im Rückweg auf, wurde zum Einbau in das Breitbandkabelnetz von Unitymedia (zwischenzeitlich von der Firma Vodafone "gefressen") zertifiziert. Dieser entspricht also dem aktuellen Stand der Technik und über diesen könnten alle aktuell angebotenen Produkte der Firma Vodafone realisiert werden (wobei vorab die vermutlich verbauten Rückwegsperrfilter ausgebaut werden müssten).

Alle Bauteile (einschließlich HÜP) sind aber am PA angeschlossen.
1a. Die Anwendung dieser Maßnahme war zum Zeitpunkt der letzten Modernisierung Ihrer Verteilanlage wahrscheinlich die Maßnahme der Wahl und wurde auch konsequent umgesetzt. Insofern der Potentialausgleich funktionsfähig ist und einen ausreichend geringen Erdungswiderstand aufweist, sollten also keine oben beschriebenen Ströme auftreten.

Was wäre wenn nicht bekannten Elektriker, dass machen lasse?
Möge man erst einen Fachbetrieb finden, der Modernisierungen von Hausverteilanlagen für Breitbandkabel als Teil seines Leistungsspektrums anbietet und diese Arbeit auch fachgerecht durchführt. Ob dieser Fachbetrieb solche Arbeiten überhaupt durchführen darf (schließlich erfolgen diese am Breitbandkabelnetz der Firma Vodafone), sollte gegebenenfalls vor Beginn der Arbeiten auch mit haftungsrechtlichem Hintergedanken hinterfragt werden. Erst einmal hätte dies auch den Nachteil, dass die Rechnung aller Wahrscheinlichkeit an Sie adressiert würde. Wenn die Firma Vodafone diese Arbeiten (beispielsweise im Rahmen einer Störungsbearbeitung oder nach Abschluss eines Vertrages über Kabelfernsehen oder Internetzugang) in Auftrag gibt, werden die Kosten auch von der Firma Vodafone übernommen.

Alles Crimp Stecker und keine Kompressionsstecker.
Was ist denn mit "Crimp Stecker" gemeint? Wenn es sich nicht um die Stecker handelt, die einfach nur aufgedreht werden, ist dies ohne Frage vorteilhaft.

Erspart dann die Fehlersucherei....
Welcher Fehler tritt denn auf? Wurde der Fehler bereits der Firma Vodafone gemeldet? Falls nein, Störungsmeldung bitte umgehend nachholen.

Die Teilnehmer Kabel sind alle, gefühlt 50 Jahre alt.
Würde ich als nicht mal 1,5 fach geschirmt bezeichnen.
In der Praxis sind die hochfrequenztechnischen Eigenschaften solcher Kabel oftmals trotzdem ausreichend. Wenn sich beispielsweise im Rahmen einer Schadenssanierung oder Modernisierung die Gelegenheit ergeben sollte, diese mit vertretbarem Aufwand auszutauschen, sollte dies dennoch getan werden. Eine Verlegung im Leerrohr ist derzeitiger Stand der Technik und bietet Vorteile.

Und natürlich braun telecom Dosen...
Sollten diese den Anforderungen nicht genügen, sind sie auszutauschen. Im Regelfall führt die Fernmeldehandwerkerin beziehungsweise der Fernmeldehandwerker vor Ort diese Arbeit für die Endkundin beziehungsweise den Endkunden kostenfrei durch, wenn ein Technikereinsatz durchgeführt wird, beispielsweise im Rahmen einer Störungsbearbeitung oder wenn ein Neuvertrag abgeschlossen wurde.

Phase links oder rechts in der Steckdose?
Dies halten diejenigen, die Steckdosen montieren, wie die Dachdecker. Eine Vorgabe gibt es nicht. In einem Gebäude, in dem eine Angehörige des Verfassers dieses Beitrages wohnte, wurden manche Steckdosen sogar mit dem Schutzleiterbügel in horizontaler Ausrichtung montiert; auch dies ist im Sinne der gültigen Normen und allgemein anerkannten Regeln der Technik in Ordnung. Für die elektrische Sicherheit oder die Funktionalität spielt es keine Rolle.

Aussage bitte belegen. Danke
Konkrete Belege, im Sinne von offiziellen Dokumenten der Firma Vodafone (oder anderen Autoritäten) liegen dem Verfasser dieses Beitrages leider nicht vor. Diese Informationen wurden Veröffentlichungen anderer Nutzerinnen und Nutzer dieses Forums entnommen, welche der Verfasser dieses Beitrages in der Vergangenheit durchgelesen hat.

Leider ist es dem Verfasser dieses Beitrages weiterhin nicht gelungen, zu verstehen, ob und wenn ja welches Problem bezüglich dieser Verteilanlage gegenwärtig besteht. Würden Sie Informationen darüber veröffentlichen, könnte man vermutlich effektiver unterstützen. Es sei Ihnen ein weiterhin angenehmer Tag gewünscht.


Mit freundlichen Grüßen

Jung-Fernmelder
 
  • Technicolor TC4400 Docsis 3.1 Modem Info Thread Beitrag #10.706


Alles Crimp Stecker und keine Kompressionsstecker.
Was ist denn mit "Crimp Stecker" gemeint? Wenn es sich nicht um die Stecker handelt, die einfach nur aufgedreht werden, ist dies ohne Frage vorteilhaft.

Es gibt historisch dreieinhalb Arten von F-Steckern zum nachträglichen Anbringen an Koaxialkabeln:

1) Aufdrehstecker: Sehr Fehleranfällig, schwierig einen glatten Übergang herzustellen. Gefahr von Mikroreflexionen.

2) Crimp-Stecker: Die Gehäuse dieser Stecker werden beim Anbringen am Kabel durch eine spezielle Zange mechanisch gequetscht (engl. "to crimp"). Auch diese sind etwas aus der Mode gekommen. Durch das Quetschen kann es auch bei diesen Steckern zu Stufenbildungen im Dielektrikum kommen, was Mikro-Reflektionen verursacht. Für den Laien eh kaum zu verarbeiten.

3a) Normale Kompressionsstecker. Ähnlich wie Crimp-Stecker, nur wird nicht durch Verformung des Metalls sondern durch Einschieben einer Kompressions-Passhülse von der Kabelseite aus in die konische Innenform des Gehäuses die Kompression erreicht. Ermöglicht einfachere Kompressions-Zangen im Gegensatz zu denen für Crimp-Stecker, weniger Gefahr von Stufenbildungen im Dielektrikum.

3b) Self-Install Kompressionsstecker. Hier wird die Passhülse durch das erste Aufdrehen in das Steckergehäuse von der Steckseite aus eingepresst. Eine Zange braucht man nicht. Jedoch ist das erste Aufdrehen recht kraftaufwändig .... Mein Fall sind diese Stecker nicht, ich tendiere eher zu "richtigen" Kompressionssteckern ...
 
  • Technicolor TC4400 Docsis 3.1 Modem Info Thread Beitrag #10.707
Sehr geehrte / -r Frau / Herr Nutzer / -in shm0,

Konkrete Belege, im Sinne von offiziellen Dokumenten der Firma Vodafone (oder anderen Autoritäten) liegen dem Verfasser dieses Beitrages leider nicht vor. Diese Informationen wurden Veröffentlichungen anderer Nutzerinnen und Nutzer dieses Forums entnommen, welche der Verfasser dieses Beitrages in der Vergangenheit durchgelesen hat.


Mit freundlichen Grüßen

Jung-Fernmelder

Danke. Dann halte folgende Aussage für grenzwertig, wenn diese auf Erfahrungen basiert und es dafür kein offizielles Statement seitens Vodafone gibt:

"Nein. Bis vor ein paar Jahren war der Erdungsanschluss des Hausübergabepunktes mittels einer vier Quadratmillimeter starken, grün-gelb ummantelten Kuperleitung mit dem örtlichen Potentialausgleich zu verbinden. Aktuell jedoch darf diese Verbindung nicht mehr hergestellt werden. "

Ich kann das nicht bestätigen. Mein Anschluss (HÜP), von 02/2021, wurde mit dem Potenizalausgleich verbunden.
 
  • Technicolor TC4400 Docsis 3.1 Modem Info Thread Beitrag #10.708
Das sind wahrscheinlich keine Dämpfungsglieder.
Am Eingang des Verstärkers wird gerne ein Filter für den Upstream eingesetzt, der den Frequenzbereich unterhalb von 25 oder 28 MHz sperrt. Da gibt es zu viele Störungen.
Wenn die zwei weiteren Teilnehmer kein Kabel-Internet haben, ist an ihren Abgängen womöglich ein Rückweg-Sperrglied montiert, welches den ganzen Bereich unterhalb 88 MHz wegfiltert.
Alle Teilnehmer haben Kabel-Internet.

Und wegen den Steckdosen...
Also meine Kaltgeräte Stecker sind beschriftet, da wäre Phase Links.
Bei den Schweizern wäre die Phase auch links, wenn man die Steckdose dreht so dass der Erdungsstift oben ist (wie bei den Franzosen).
Es wird ja immer gesagt es wäre egal....
Aber z.B. bei diesen Überspannungsschutz Steckdosenleisten mit Feinsicherung.
Da möchte ich doch die Feinsicherung auf der Phasenleitung haben oder nicht?
Hatte den Support von der Steckdosenleiste angeschrieben und dieser meinte es wäre egal.
Hmm...
 
Zuletzt bearbeitet:
  • Technicolor TC4400 Docsis 3.1 Modem Info Thread Beitrag #10.709
Hoch geschätztes Vodafone-West-Forum!

An Martin:
Vielen herzlichen Dank für diese äußerst informative Aufstellung der Bauarten von F-Steckern. Diese ist auch ein Beitrag zur Bildung des Verfassers dieses Beitrages.
Die F-Stecker zum Aufdrehen sollen bekannterweise als Bestandteil rückkanalfähiger Anlagen keinesfalls eingesetzt werden und auch ohne Vorliegen einer Störung gegen zeitgemäße Stecker ausgetauscht werden. Gilt dies auch für Crimpstecker oder genießen diese eine Art Bestandsschutz?

An Nortel:
Vielen Dank für Ihren Einwand. Bei einer kurzen Nachrecherche mittels der Forensuche sind auch mir diesbezüglich widersprüchliche Informationen aufgefallen. Ob den Fernmeldehandwerkerinnen und Fernmeldehandwerkern die Herstellung einer solchen Verbindung tatsächlich untersagt ist, kann ich gegenwärtig leider nicht mit großer Sicherheit einschätzen. Der Einbau eines doppelt-galvanischen Trenngliedes sowie einer Vorrichtung zum Schutz vor unbeabsichtigtem Berühren jedoch scheint definitiv obligatorisch zu sein (bei neu errichteten Verteilanlagen sowie bei umfassenden Modernisierungen derselbigen). Einige Fernmeldehandwerkerinnen und Fernmeldehandwerker scheinen die Hausübergabepunkte wohl dennoch zu erden, sie kombinieren also die Maßnahmen "Hausübergabepukt erden" und "doppelt-galvanisches Trennglied verbauen". Das Verbauen eines doppelt-galvanischen Trennglieds (und einer Vorrichtung zum Schutz vor unbeabsichtigtem Berühren) ist jedoch als Einzelmaßnahme vollkommen ausreichend; ein Grund, zusätzlich zu dieser Maßnahme den Hausübergabepunkt zu erden, ist für den Verfasser dieses Beitrages nicht erkennbar, allerdings sollten daraus keinerlei Nachteile (vom dabei entstehenden Mehraufwand abgesehen) wie Gefahren oder Leitungsstörungen entstehen. Die Vermutung des Verfassers dieses Beitrages ist, dass erfahrene Fernmeldehandwerkerinnen und Fernmeldehandwerker diese Maßnahme aus Gewohnheit durchführen, auch wenn sie zumindest nicht mehr obligatorisch ist.

An shm0:
Diesen drei an dieser Verteilanlage angeschlossenen Kundinnnen beziehungsweise Kunden wird also über das Breitbandkabelnetz der Firma Vodafone Zugang zum Weltnetz gewährt. Ist der Internetzugang denn bei bei mindestens einer / einem gestört? Falls nein, ist kein Handlungsbedarf erkennbar und es ist vollkommen legitim, diese Verteilanlage, so wie sie ist, so lange weiterzubetreiben, bis eine Störung auftreten wird.


Mit freundlichen Grüßen

Jung-Fernmelder
 
  • Technicolor TC4400 Docsis 3.1 Modem Info Thread Beitrag #10.710
Sehr geehrte / -r Frau / Herr Nutzer / -in shm0,

vielen Dank für Ihre Nachtrag.
Also meine Kaltgeräte Stecker sind beschriftet, da wäre Phase Links.
Spannend. Welchen Vorteil bietet dies? Im Umfeld des Verfassers dieses Beitrages tut dies niemand (der Verfasser dieses Beitrages selbst auch nicht).

Es wird ja immer gesagt es wäre egal....
Ist es auch!

Da möchte ich doch die Feinsicherung auf der Phasenleitung haben oder nicht?
Vorweg, solche Steckdosenleisten können nur dann effektiv schützen, wenn vor Ort sowohl ein Grob- als auch ein Mittelschutz entsprechend DIN VDE 0100-443 in Kombination mit DIN VDE 0100-534 vorhanden ist. Obligatorisch im Wohnbau sind diese Schutzvorrichtungen für Neuanlagen, welche ab dem 14.12.2018 in Betrieb genommen werden. Fehlt dieser, wird eine solche Steckdosenleiste im Falle einer nicht nur schwachen Überspannung keine Wirkung haben. Außedem spielt es doch keine Rolle, welchen der beiden aktiven Leiter die Feinsicherung trennt, insofern nicht sowieso beide aktiven Leiter getrennt werden. Wenn man einen Stromkreis auftrennt, ist dieser außer Betrieb, egal an welcher Stelle man ihn auftrennt. Zum Freischalten im Sinne der fünf Sicherheitsregeln (wenn es entscheidend wäre, welchen aktiven Leiter man trennt) sind Steckdosenleisten jeder Art so oder so nicht zugelassen, da muss man tatsächlich das (beispielsweise zum Zwecke einer Reparatur) freizuschaltende Gerät ausstecken.

Kurzum, es wird nicht nur immer gesagt, dass es unerheblich ist, welcher der beiden aktiven Leiter nun die Phase und welcher der Neutralleiter ist, es ist auch unerheblich.


Mit freundlichen Grüßen

Jung-Fernmelder

Bearbeitungsvermerk: Rechtschreib- und Kommafehler korrigiert.
 
  • Technicolor TC4400 Docsis 3.1 Modem Info Thread Beitrag #10.711
Hallo zusammen,

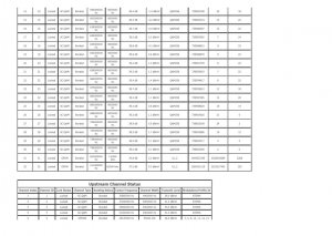
ich habe seit einer Woche Probleme mit meiner TC4400. Die Verbindung bricht einfach immer wieder ohne Grund ab. Jetzt habe ich herausgefunden dass hier wohl noch die Alte Firmware 70.12.41-180903 läuft.

Ich habe bereits nach einen Techniker bei Vodafone BW bestellt der in den nächsten Tagen kommen soll.

Kann mir jemand sagen ob ich hier ein Firmwareupdate benötige oder lediglich das Modem neue eingemessen werden muss ?Wäre sehr dankbar. Sorry ich kenne mich nicht so gut aus mit dem Zeug..

IMG_2417.jpg.
 

Anhänge

  • TC4400 Event Log.jpg
    TC4400 Event Log.jpg
    149,5 KB · Aufrufe: 48
  • TC4400 Status.jpg
    TC4400 Status.jpg
    94,7 KB · Aufrufe: 47
  • TC4400 Status2.jpg
    TC4400 Status2.jpg
    120,9 KB · Aufrufe: 45
Zuletzt bearbeitet:
  • Technicolor TC4400 Docsis 3.1 Modem Info Thread Beitrag #10.712
Pegel sind gut. Würde das FW Update probieren und den Technikertermin stornieren.
 
  • Technicolor TC4400 Docsis 3.1 Modem Info Thread Beitrag #10.713
Update:
Seit mehreren Tagen stabil mit der neuen FW.


"Phase/Links rechts egal ohne Verpolungsschutz und wenn man keine Schalter hat die beide Leiter trennen", ob dass wirklich egal ist wage ich zu bezweifeln...

Ob diese Überspannungsschutzsteckdosenleisten Sinn machen... Keine Ahnung, aber besser als nichts.
Kompletter Gebäude Überspannungsschutz ist teuer....
Aber da möchte man definitiv die Sicherung auf der Phasenseite haben.
Damit der Leiter mit 230/-230 von den Verbrauchern getrennt wird.
Wenn jetzt der Neutralleiter getrennt hat es den Anschein dass das Gerät keinen Strom führt....
Bekommt man aber trotzdem eine geballert, wenn aus irgendwelchen Gründen andere Schutzmaßnahmen nicht mehr greifen. (Erdung)

Ich muss meine Aussage korrigieren, die Anlage ist nicht mit dem Haus PA verbunden.
Wie sieht es eigentlich aus, wenn der Mantel/Schirmung nicht geerdet ist? (Wenn man jetzt mal den Aspekt der Berührungssicherheit weglässt.)
Funktioniert diese dann überhaupt? Wenn jetzt eine Störstrahlung aufs Kabel trifft dann wird eine Spannung indiziert? Und diese muss ja dann irgendwie abgeführt werden?
Ohne PA schwierig? Dann hat man quasi eine riesige Antenne die die Störstrahlung quasi noch verstärkt?
Da bekommt der Begriff Antennenkabel eine ganz neue Bedeutung? :D
 
Zuletzt bearbeitet:
  • Technicolor TC4400 Docsis 3.1 Modem Info Thread Beitrag #10.714
Sehr geehrte / -r Frau / Herr Nutzer / -in shm0,

sehr angenehm zu lesen, dass Ihr Kabelmodem seit der Aktualisierung stabil arbeitet. Die besten Probleme sind doch immer noch die, die bereits gelöst sind.

"Phase/Links rechts egal ohne Verpolungsschutz und wenn man keine Schalter hat die beide Leiter trennen", ob dass wirklich egal ist wage ich zu bezweifeln...
Vielleicht mögen Sie einmal darlegen, warum Sie glauben, dass dies eine Relevanz hätte und welche Nachteile Sie erwarten, wenn man dies nicht beachtet. Dann könnte man auch darauf eingehen. Andere Nutzerinnen und Nutzer sowie der Verfasser dieses Beitrages würden sich sicherlich darüber freuen, sachliche Argumente zu Ihrer Ansicht zu lesen.

Wie sieht es eigentlich aus, wenn der Mantel/Schirmung nicht geerdet ist?
Für die hochfrequenztechnischen Eigenschaften spielt es keine Rolle, ob der Außenleiter in den örtlichen Potentialausgleich eingebunden ist. Der Verfasser dieses Beitrages erkennt für den Außenleiter drei wesentliche Funktionen:
1. Übertragung der Signalmasse
2. Abschirmung des Nutzsignals gegen die Außenwelt
3. Verhinderung von Potentialverschleppungen
Auch wenn der Außenleiter nicht in den örtlichen Potentialausgleich eingebunden ist, so führt er trotzdem die Signalmasse, denn der Außenleiter ist dennoch an die Signalmasse angeschlossen. Dies liegt daran, dass der Außenleiter an den vorgeschalteten Verstärkern mit deren dafür vorgesehenen Anschlüssen verbunden ist oder, sofern verbaut, am doppelt-galvanischen Trennglied mit der "neuen" Signalmasse verbunden ist. Diese Funktion ist also von der Einbindung in den örtlichen Potentialausgleich unabhängig. Die Abschirmung des Nutzsignals vor der Außenwelt funktioniert nach dem Prinzip des Faradayschen Käfigs. Dieser schütz unabhängig davon, ob er an etwas angeschlossen ist oder nicht; also kann der Außenleiter auch diese Funktion unabhängig von der Einbindung in den örtlichen Potentialausgleich erfüllen. Diese ist lediglich zur Vermeidung von Potentialverschleppungen unabdingbar. Es kann dazu kommen, dass durch die Verschleppung eines fremden Potentials von außen in den betroffenen Teil der Anlage bei Berührung des Außenleiters mit einem anderen Metallteil oder einer Person Spannungen auftreten, welche beim Berühren eine Gefahr darstellen können, beziehungsweise Ströme fließen, welche den Außenleiter unzulässig erwärmen und somit einen Brandgefahr darstellen.

Dann hat man quasi eine riesige Antenne die die Störstrahlung quasi noch verstärkt?
Nein, ein Antenneffekt tritt nicht auf, wenn der Außenleiter nicht in den örtlichen Potentialausgleich eingebunden wird. Ein Antenneffekt kann auftreten, wenn der Außenleiter abschnittweise nicht mehr vorhanden ist, aber die Seele noch intakt oder zumindest nicht gänzlich durchtrennt ist. Dabei können Störungen aus der Umgebung in den Innenleiter gelangen und somit das Nutzsignal überlagern. In nicht-rückkanalfähigen Anlagen können dadurch Empfangsstörugen auftreten. Zeitweise soll es wohl sogar, wenn auch nicht normkonform und handwerklich ohne Frage inakzeptabel, Usus gewesen sein, das Nutzsignal über sehr kurze Strecken sogar ohne Dielektrikum und Außenleiter nur mithilfe eines Drahtes zu übertragen. Die dadurch entstandenen Störungen waren gering genug, um toleriert zu werden. In rückkanalfähigen Anlagen würde dies gegebenenfalls zu Rückwegstörungen führen, welche bei vielen Kundinnen und Kunden zu Nachteilen führen.

Der Verfasser dieses Beitrages hofft, Ihre Frage soweit beantwortet zu haben.


Mit freundlichen Grüßen

Jung-Fernmelder

Bearbeitungsvermerk: Sematischer Fehler korrigiert.
 
  • Technicolor TC4400 Docsis 3.1 Modem Info Thread Beitrag #10.715
Nachtrag:

Ob diese Überspannungsschutzsteckdosenleisten Sinn machen... Keine Ahnung, aber besser als nichts.
Das muss jede (-r) für sich selbst entscheiden. Ohne Grob- und Mittelschutz ist der Grad des Schutzes sehr beschränkt, nicht viel höher als der Feinstschutz, der in jedes Gerät verbindlich einzubauen ist und unabhägig von der Elektrizitätsversorgung vorhanden sein muss.

Bekommt man aber trotzdem eine geballert, wenn aus irgendwelchen Gründen andere Schutzmaßnahmen nicht mehr greifen.
Daher sind diese anderen Schutzmaßnahmen so auszulegen, dass sie eben nicht versagen. Wenn das Gerät in Betrieb ist, müssen Personen ebenfalls vor Gefahren geschützt werden. Solche Steckdosenleisten und darin integrierte Schalter sind nicht umsonst und unabhängig davon, auf welcher Seite die Phase gesteckt wird, nicht zum Freischalten oder allgemein als Sicherheitsmaßnahme konzipiert. Wenn andere Schutzmaßnahmen beispielsweise zum Zwecke einer Reparatur, aufgrund eines Einschuss oder anderer Beschädigung, außer Kraft gesetzt sind beziehungsweise außer Kraft zu setzen sind, muss das Gerät ausgesteckt werden. Auch der Kontaktabstand, den ein typischer, in solchen Steckdosenleisten verbauter Schalter aufweist, ist zum Zwecke des Freischaltens als Sicherheitsmaßnahme in der Regel nicht ausreichen, es fehlt auch eine Möglichkeit zum Sichern gegen (unbeabsichtigstes oder fälschlicherweises) Wiedereinschalten.
Solche Steckdosenleisten dienen gewissermaßen dazu, den Komfort zu steigern (mehr Steckdosen insgesamt zur Verfügung, relativ frei platzierbar, Ein- und Ausschalten möglich, ohne den / die Stecker jedes Mal ziehen beziehungsweise einstecken zu müssen) und einen Feinschutz gegen Überspannungen bereitszustellen, nicht für andere Zwecke, wie als zusätzliche Schutzmaßnahme oder dergleichen. Der Verfasser dieses Beitrages wird das Gefühl nicht los, dass diesen Produkten hier möglicherweise Funktionen und schützende Eigenschaften zugeordnet werden, die sie nicht aufweisen.

Anlage ist nicht mit dem Haus PA verbunden.
Das erscheint dem Verfasser dieses Beitrages problematisch zu sein, da somit Potentialverschleppungen nicht vermieden werden können. Selbst wenn ein doppelt-galvanisches Trennglied verbaut ist, sind Erdungswinkel einzusetzen, welche selbstverständlich in den örtlichen Potentialausgleich einzubinden sind. Ebenso wie aus Metallwerkstoffen gefertige Rohre oder ähnliches in diesen eingebunden werden müssen.
 
  • Technicolor TC4400 Docsis 3.1 Modem Info Thread Beitrag #10.716
Hallo,

bei uns ist am 25. August in der Nacht für einige Stunden das Internet ausgefallen, ich vermute dass hier der Uploadkanal geschaltet wurde.
Seitdem habe ich in unregelmäßigen Abständen (alle paar Minuten, aber auch mal 30min Ruhe) kurze (ca. 15s dauer) Internetausetzer, bei denen mein Upload hängt (ich höre andere im Voice weiterhin, sie mich aber nicht).
Im Log sind zeitgleich folgende Einträge zu finden:
"DBC-ACK not received"
"US Profile assignment change"
"Started Unicast Maintenance Ranging - No Response received - T3 time-out"

Das Modem lief vorher ohne Probleme, Firmware 70.12.41-180903 im ehemaligen UM Gebiet, als 400/20 Vertrag auf ipv4.

Könnte hier ein Firmware-Update helfen?
 

Anhänge

  • downstream.PNG
    downstream.PNG
    76,3 KB · Aufrufe: 22
  • eventlog.png
    eventlog.png
    141,4 KB · Aufrufe: 22
  • upstream.PNG
    upstream.PNG
    25,4 KB · Aufrufe: 19
  • Technicolor TC4400 Docsis 3.1 Modem Info Thread Beitrag #10.717
Jep.
 
  • Technicolor TC4400 Docsis 3.1 Modem Info Thread Beitrag #10.718
Hallo, ich bin mit meiner .40 neuerdings auch von diesem Upload Problem betroffen. Sobald ich etwas mehr uploade hängt sich das Modem für gute 5Minuten weg.
Ich hab jetzt aber hier gelesen das die .44 vor der Türe steht. Kann einer sagen ob es sich lohnt darauf zu warten (irgendwelche tollen verbesserungen) und oder wie lange es etwa braucht bis zum erscheinen?
Würde mir gerne 2x35€ ersparen ;)
 
  • Technicolor TC4400 Docsis 3.1 Modem Info Thread Beitrag #10.719
Hi,

nur größtenteils Sicherheitsverbesserungen bezüglich des Webservers (Cable Haunt, CVE-2020-7223). DOCSIS seitig scheint laut Changelog nichts interessantes dabei zu sein :/

Bezüglich Verfügbarkeit bei Werner kann evtl. @rv112 etwas sagen :)
 
  • Technicolor TC4400 Docsis 3.1 Modem Info Thread Beitrag #10.720
Hi,

nur größtenteils Sicherheitsverbesserungen bezüglich des Webservers (Cable Haunt, CVE-2020-7223). DOCSIS seitig scheint laut Changelog nichts interessantes dabei zu sein :/

Bezüglich Verfügbarkeit bei Werner kann evtl. @rv112 etwas sagen :)

Danke dir.
Hab mich jetzt da mal eingelesen. Wenn man vom Lan kein Zugriff auf das Modem erlaubt (also auf die Webschnittstelle 192.168.100.1), dann ist die Lücke wohl "nicht schlimm."

Mal schauen ob @rv112 noch ne Info hat. Ansonsten gehts nächste Woche auf die Reise :)
 
  • Technicolor TC4400 Docsis 3.1 Modem Info Thread Beitrag #10.721
Ein Update schadet nie. Neue Modem gibt es mit etwas Glück aber auch noch mal.
 
  • Technicolor TC4400 Docsis 3.1 Modem Info Thread Beitrag #10.722
Ich bin ja immer noch stark daran interessiert mal ein US Modem auszuprobieren, mit D3.1 gibt es ja keinen Unterschied mehr zwischen PAL und NTSC Regionen. Sollte also eigentlich theoretisch laufen.
 
  • Technicolor TC4400 Docsis 3.1 Modem Info Thread Beitrag #10.723
Webschnittstelle 192.168.100.1
Das Modem ist aber auch auf der 192.168.0.1 erreichbar sowie auf der 10er MgmtIP, welche das Modem vom Kabelanbieter erhält. Man sollte also wenigstens diese 3 IPs in der Firewall (LAN --> Modem Richtung) blocken.
 
  • Technicolor TC4400 Docsis 3.1 Modem Info Thread Beitrag #10.724
Ich bin ja immer noch stark daran interessiert mal ein US Modem auszuprobieren, mit D3.1 gibt es ja keinen Unterschied mehr zwischen PAL und NTSC Regionen. Sollte also eigentlich theoretisch laufen.
Naja, auf die 1,5 GBit/s Bandbreite im Downstream durch die dreißig SC-QAM Kanäle würde ich nicht verzichten. Ich weiß auch nicht, ob alleine nur mit OFDM/OFDMA Verbindung möglich ist... Daneben darf man nicht über die schmalfüßigen alten Cisco Modems wettern, und dann selber ein Modem nutzen, das auch nur auf einen Teil der Segmentkapazität Zugang hat.
 
  • Technicolor TC4400 Docsis 3.1 Modem Info Thread Beitrag #10.725
Könnte mir vorstellen, dass es schon daran scheitert, dass der Referenzkanal (Acquire Downstream Channel) bislang immer auf Docsis 3.0 läuft. Ob hier als Fallback auch die Docsis 3.1 Frequenzen dafür genutzt werden könnten müsste man mal in der Docsis 3.1 Spezifikation prüfen...
 
Thema:

Technicolor TC4400 Docsis 3.1 Modem Info Thread

Technicolor TC4400 Docsis 3.1 Modem Info Thread - Ähnliche Themen

Netgear CM2000 (US Modem): Dank DOCSIS 3.1 und dem dortigen Wegfall der Unterscheidung zwischen DOCSIS und EuroDOCSIS sind einige Modems aus den USA durchaus im Vodafone...
Unitymedia Technicolor CGA4233 Docsis 3.1 Router Info Tread: Wie auch schon bei TC4400 dient dieser Thread zum Sammeln von Informationen zum Technicolor CGA4233. Default login: user / VTmgQapcEUaE Link zum...
Unitymedia Kabelmodem Arris CM8200B: Moin, Das Arris CM8200B wurde hier schon gelegentlich erwähnt, aber nie vertiefend. Da bei mir seit ein paar Tagen eines herumsteht starte ich...
Unitymedia Cisco EPC3208 verliert immer Verbindung -> Vodafone Station als Lösung? (DOCSIS 3.1 schuld?): Nabend! Ich habe seit 25.11. plötzlich ein massives Problem mit meinem Anschluß, und könnte etwas Aufklärung von Insidern brauchen bevor ich zur...
Unitymedia [Q] Probleme mit Bridge Network Model Virtualisierungsserver: Hallo! Ich habe eine Virtualisierungsplattform mit Web-Oberfläche (Proxmox VE 3.3) aufgesetzt und den Server direkt mit dem Kabel-Gateway TC7200...
Oben