• Kunden aus Hessen und Nordrhein-Westfalen können über die Rufnummer 0221 / 466 191 00 Hilfe bei allen Problemen in Anspruch nehmen.
    Kunden aus Baden-Württemberg können über die Rufnummer 0711 / 54 888 150 Hilfe bei allen Problemen in Anspruch nehmen.

Unitymedia Technicolor TC4400 Docsis 3.1 Modem Info Thread

Diskutiere Technicolor TC4400 Docsis 3.1 Modem Info Thread im Internet und Telefon über das TV-Kabelnetz Forum im Bereich Internet und Telefon; Das ist immer so. Warum sollte das Modem eine andere IP bekommen oder gar benötigen? Starte doch mal Modem und dahinterliegenden Router neu. Die...
  • Technicolor TC4400 Docsis 3.1 Modem Info Thread Beitrag #10.976
Seitdem bekommt mein TC4400 (FW .43) "nur noch" eine 10er IP
Das ist immer so. Warum sollte das Modem eine andere IP bekommen oder gar benötigen?

Starte doch mal Modem und dahinterliegenden Router neu.

Die gebuchte PU Option berechtigt für DualStack. Anrufen und umstellen lassen. Danach Modem wieder neu starten und prüfen ob _ipv4_ durch _ds_ ersetzt wurde. Danach im Router DHCPv6 einrichten.
 
  • Technicolor TC4400 Docsis 3.1 Modem Info Thread Beitrag #10.977
Bzgl. der IP bin ich mir auch nicht ganz sicher, war nur eine Vermutung, vage Erinnerung, dass zuerst eine temp. IP vergeben wird, um dann die "richtige" zu bekommen.
Modem und Ubiquiti Edge schon x-mal neu gestartet, auch direktes Anschließen an den PC sorgt nicht dafür, dass meiner NIC die IP vergeben wird (daher meine ursprüngliche Annahme bzgl. der IP oben).

Ich rufe mal an und _versuche_ umstellen zu lassen. Bzgl. Support habe ich keine so guten Erfahrungen mit vodafone - allerdings, wer schon?
 
  • Technicolor TC4400 Docsis 3.1 Modem Info Thread Beitrag #10.978
Bzgl. der IP bin ich mir auch nicht ganz sicher, war nur eine Vermutung, vage Erinnerung, dass zuerst eine temp. IP vergeben wird, um dann die "richtige" zu bekommen.
Dein Router bekommt eine 192.168.x.x bis das modem provisioniert ist, anschließend bekommst du eine externe. Das Modem an sich bekommt immer eine 10.x.x.x als managment IP bei Unitymedia. Das wird sich wohl erst ändern wenn Vodafone das mal angleicht und auf IPv6 umstellt.
Modem und Ubiquiti Edge schon x-mal neu gestartet, auch direktes Anschließen an den PC sorgt nicht dafür, dass meiner NIC die IP vergeben wird (daher meine ursprüngliche Annahme bzgl. der IP oben).
Nach dem anschließen an den PC muss das Modem neugestartet werden, generell gilt das sobald sich die MAC des angeschlossenen Geräts sich ändert muss das Modem neugestartet werden.
Ich rufe mal an und _versuche_ umstellen zu lassen. Bzgl. Support habe ich keine so guten Erfahrungen mit vodafone - allerdings, wer schon?
Sollte eigentlich kein Problem sein, du hast ja schon IPv4, die Umstellung von Dual Stack Lite auf Dual Stack ist da eher ein Problem.
 
  • Technicolor TC4400 Docsis 3.1 Modem Info Thread Beitrag #10.979
Das ging schnell und hat (bisher) auch nicht weh getan.
Modem hat nun das DS Profil, zieht allerdings noch keine IPv6 - vermutlich dauert das noch etwas.

Trotzdem glaube ich, dass vodafone hier momentan grundsätzliche Probleme hat und die Leitung einfach irgendwie tot ist - ich bekomme halt einfach keine IPv4 auf meinen Router/PC-NIC gelegt.
Ich mache eine Factory Reset, und nach einigen Minuten ist das TC4400 nicht mehr über die 192.168.0.1 zu erreichen - danach starte ich das Gerät neu (am selben Endgerät ob Modem oder NIC) - und das sollte es doch eigentlich tun, oder?

Vielen Dank für die bisherigen Antworten.
 

Anhänge

  • statusneu.png
    statusneu.png
    41,4 KB · Aufrufe: 18
  • ipneu.png
    ipneu.png
    3,4 KB · Aufrufe: 20
  • profile.PNG
    profile.PNG
    10,9 KB · Aufrufe: 18
  • Technicolor TC4400 Docsis 3.1 Modem Info Thread Beitrag #10.980
Das ging schnell und hat (bisher) auch nicht weh getan.
Modem hat nun das DS Profil, zieht allerdings noch keine IPv6 - vermutlich dauert das noch etwas.
Das Modem bekommt keine IPv6 im Unitymedia land, da ist das managment IPv4. Das Managment Netz und das was du an deinem Router bekommst haben auch nichts miteinander zu tun, kannst du also ignorieren.
Ich mache eine Factory Reset, und nach einigen Minuten ist das TC4400 nicht mehr über die 192.168.0.1 zu erreichen - danach starte ich das Gerät neu (am selben Endgerät ob Modem oder NIC) - und das sollte es doch eigentlich tun, oder?
Eigentlich sollte das so funktionieren. Was für eine IP hast du denn nach dem die 192.168.x.x Adresse auf deinem Router oder PC weg ist? Leasetime ist ja nur 1 minute für die IP vor dem Provisionieren, somit müsste die ja kurze zeit später verschwinden.
 
  • Technicolor TC4400 Docsis 3.1 Modem Info Thread Beitrag #10.981
  • Technicolor TC4400 Docsis 3.1 Modem Info Thread Beitrag #10.982
Zufall? Gestern 30min keine Konnektivität gehabt, seitdem zieht sich mein TC4400 keine IPv4 mehr (CableMax 500 + PU, Profil 500_50_ds), bzw. bekommt keine mehr von Vodafone. IPv6 Gateway kommt hoch und nimmt auch Traffic entgegen, daher denke ich, dass der Fehler bei Vodafone liegt. Mein Ticket von gestern wurde kommentarlos nach 3h geschlossen mit Verweis auf "Großstörung".

TC4400 wurde bereits mehrfach rebootet, resettet, inkl. pfSense Router dahinter. Anschluss Linksys WRT 1200AC oder auch MacBook direkt zeigt gleiches Fehlerbild, es läuft erstmal normal, 192.168.100.10 wird zugewiesen und dann.. Nix. Keine IPv4. Nada.

Hat wer paar Ideen außer nochmal Vodafone anrufen, bis einer helfen kann?
 
  • Technicolor TC4400 Docsis 3.1 Modem Info Thread Beitrag #10.983
Hi,
also ich bin auch am verzweifeln.
Ich komme so nicht weiter - ein Setup, welches wirklich sehr lange funktioniert hat (auch wenn mit IPV4 only) - da kann ich mir zumindest nicht vorstellen, dass es am Modem oder Router liegt.

Für die Einrichtung des EdgeRouter X mit IPV6 fehlt mir im Moment das technische Verständnis um mit Sicherheit sagen zu können, dass der IPv6 Teil sauber funktioniert (nach DS Aktivierung).

Wenn ich auf ETH0 DHCP für IPv6 lege bekomme ich eine IPv6 Adresse für ETH0 im Router angezeigt.
 
  • Technicolor TC4400 Docsis 3.1 Modem Info Thread Beitrag #10.984
Zwischenupdate: Der Kollege shadowsamt und ich können uns quasi PLZ-technisch gesehen die Hand reichen, wäre schon ein merkwürdiger Zufall sonst. Fehlerbild kann ich zeitlich und auch Auswirkungstechnisch bestätigen.

Scheint wohl was bei Vodafone zu sein. Hotline leider auch eher wenig hilfreich, jetzt wurde immerhin mein komplett geschlossenes Ticket reaktiviert.
 
  • Technicolor TC4400 Docsis 3.1 Modem Info Thread Beitrag #10.985
Die 192.168.0.1 passt mir besser ins Heimnetz -nutze das TC4400 Modem nur für Monitoring Zwecke ...

Heimnetz hatte 192.168.2.1 mit Subnetzmaske 255.255.255.0

Dadurch, dass ich die Subnetzmaske auf 255.255.252.0 erweitert habe fällt alles zwischen 192.168.0.xyz bis192.168.3.xyz in das Heimnetz, und das TC4400 ist gut über 192.168.0.1 aus dem Heimnetz erreichbar ...
 
  • Technicolor TC4400 Docsis 3.1 Modem Info Thread Beitrag #10.986
Ich hab da mal ne Offtopic Frage.. zum galvanischen Trennglied.
Es wird in einem Plastikgehäuse verbaut.
Wegen dem Berührungsschutz...?
Es hätte ja dann auch keinen Kontakt zur Lochplatte.
Heißt dann, das es ist nicht wie alle anderen Bauteile mit dem Potentialausgleich verbunden ist (wegen dem Gehäuse).
Fast überall wird gesagt/geschrieben man solle das Trennglied dann mit dem Hauspotential über die Erdungsschraube am Gehäuse verbinden.
Dann kann man das Plastikgehäuse ja gleich weg lassen?
 
Zuletzt bearbeitet:
  • Technicolor TC4400 Docsis 3.1 Modem Info Thread Beitrag #10.987
SInn des Trenngliedes ist es, das aus der Erde kommende Kabel (über den Hausanschlusskasten dünner verlängert) NICHT mit dem Potentialausgleich des Hauses zu verbinden.

Also:
1) Gelb-Grüne Leitung vom Hausanschluss wird entfernt
2) Die metallischen Teile der Stecker an der Leitung vom Hausanschluss müssen vor Berührungen geschützt werden, da sie ein unbekanntes von außen in das Haus geschlepptes Potential haben.
3) Das doppelt galvanische Trennglied hat an der Außen-Netz Seite eine isolierte Buchse (siehe Bild - weißer Kunststoffkragen), und an der Haus-Netz Seite eine mit dem Gehäuse verbundene Buchse. Das Gehäuse hat in der Regel eine Erdungsklemme

tris-1002aen.jpg

Beim Berühren der Netzseite sollte man Vorsicht walten lassen. Empfehlenswert ist es, bei Arbeiten den Hausanschlusskasten zu öffnen, und temporär mit dem Potentialausgleich zu verbinden!
 
  • Technicolor TC4400 Docsis 3.1 Modem Info Thread Beitrag #10.988
Falls es jemand interessant findet: Nach vier Wochen war die Einstrahlung behoben, das TC4400 ging wieder im OFDMA von Partial Service auf Bonded. Ich habe es noch nicht wieder provisionieren lassen, die Fritzbox 6660 schlägt sich ganz gut. Das Doppel-NAT mit der pfSense merke ich kaum. TC4400 und Fritzbox laufen parallel am gleichen Anschluss. Die Qualität sieht wie folgt aus (Ping zum Gateway):

Fritzbox
2022-02-26_16h36_39.png
TC4400
2022-02-26_16h36_13.png
Auffällig ist, dass es mit der Fritzbox öfters mal Bursts von Packet Loss gibt, während das TC4400 hier einen glatteren Graphen liefert.
 
  • Technicolor TC4400 Docsis 3.1 Modem Info Thread Beitrag #10.989
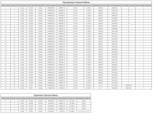
Ich habe mit dem TC4400 seit 2-3 Wochen Probleme mit vereinzelten Neustarts bzw. T3 Timeouts. Davor lief alles problemlos.
Firmware: .44, Raum Stuttgart, CMTS: Arris

Was sagt Ihr zu den Modemwerten?
TC4400_werte.png
 
Zuletzt bearbeitet:
  • Technicolor TC4400 Docsis 3.1 Modem Info Thread Beitrag #10.990
  • Technicolor TC4400 Docsis 3.1 Modem Info Thread Beitrag #10.991
Ich habe seit gerade die neue .44er FW auf dem Modem und kann das Modem unter der 192.168.100.1 nicht mehr ereichen, sobald es Online ist. AUf dem WAN INterface des Routers habe ich zusätzlich noch die Adresse 192.168.100.2 vergeben, damit das Modem auch dann erreichbar ist, wenn es Offline ist. Mit der alten FW hat das wunderbar geklappt. Wie komme ich wieder auf mein Modem wenn es Online ist?

edit: Sehe gerade dass wahrscheinlich eine no-service.bin auf dem MOdem ist. Das Modem vergibt eine 10.196.79.139 Adresse. Da hat VF wohl die Umstellung vergeigt. Kann es auch daran liegen?

VG
 
Zuletzt bearbeitet:
  • Technicolor TC4400 Docsis 3.1 Modem Info Thread Beitrag #10.992
  • Technicolor TC4400 Docsis 3.1 Modem Info Thread Beitrag #10.993
Schonmal die hier oft genannte 192.168.0.1 probiert?

Meins ist auch nur über 192.168.0.1 erreichbar, auch wenn ich die Route nach 192.168.100.0/24 setze. Was mir seit der FW 44 aufgefallen ist: das TC4400 ist zeitweise überhaupt nicht erreichbar, Internetverbindung steht aber und funktioniert. Nach einiger Zeit erholt es sich, ohne Modemneustart.
 
  • Technicolor TC4400 Docsis 3.1 Modem Info Thread Beitrag #10.994
Ja mit der 192.168.0.1 funktioniert es. Dank euch!
Aber warum ist das so? Das ist doch total komisch. Wenn das Modem Offline ist, ist es über die 192.168.100.1 erreichbar, sobald es eine Konfig gezogen hat (und sei es eine no-service.bin) nur noch über die 192.168.0.1
 
  • Technicolor TC4400 Docsis 3.1 Modem Info Thread Beitrag #10.995
Habe gerade eine merkwürdige Diskrepanz in den MER-Werten aus Support-Daten der 6591(lgi) zur Anzeige im TC44000 festgestellt.

In den Support-Daten der Fritzbox stehen 36 dB MER

Im TC4400 sind es nur 31 dB MER

In den SC-QAM-Kanälen ist das TC4400 dagegen um 1...2 dB optimistischer als die Fritzbox beim MER

Kann es sein, dass im TC4400 der Worst Case über alle OFDM Subbänder angezeigt wird, und in der Fritzbox der Mittelwert?
 
  • Technicolor TC4400 Docsis 3.1 Modem Info Thread Beitrag #10.996
Ja tut es meiner Meinung nach. Kann ein ähnliches Verhalten beobachten bzw. habe im Vergleich dazu noch die Vodafone Station 6 (Crowd) am laufen. Jene zeigt wohl auch immer einen gemittelten Wert o.ä. an, während das TC4400 deutlich mehr von den Werten (OFDM) springt. Entsprechend sind die Kanalpegel aus einem Router/Modem auch eher nur als Schätzeisen zu sehen.
 
  • Technicolor TC4400 Docsis 3.1 Modem Info Thread Beitrag #10.997
Definitiv - bei den OFDM Bändern kommt noch hinzu, dass sie teilweise über 100 MHz überspannen. Mein oberes OFDM Band hat 10 dB Schräglage....
 
  • Technicolor TC4400 Docsis 3.1 Modem Info Thread Beitrag #10.998
Hi wer von euch hat eigentlich schon die .45er Firmware fürs TC4400 am Laufen?
 
  • Technicolor TC4400 Docsis 3.1 Modem Info Thread Beitrag #10.999
Ich habe mir jetzt mal die Mühe gemacht, mein TC4400 ein bisschen rumzuführen, da es wieder im OFDMA nur Partial Service liefert und Vodafone behauptet, das Segment sei in Ordnung.

Beim Nachbar hat der OFDMA auch nur Partial Service, garniert mit den T3-Timeouts und Loss-of-Sync im Log. Klar, der Anschluss liegt im gleichen Segment, damit kann noch nicht gezeigt werden, ob das Segment eine Störung hat, der Hausanschluss fehlerhaft ist oder das Modem einen Defekt hat. Beim Nachbar war der SNR ein halbes dB höher, ansonsten ähnliche Werte.

Heute habe ich es mal 20km weiter in ein anderes Segment gebracht (hier CMTS-MAC 00:01:5c:7d:80:7a also Arris, dort CMTS-MAC=00:17:10:98:3d:9d also Casa).
Dort ordentliche Werte: Pegel zwischen -2 und +1 dbMV, SNR zwischen 39 und 40 dB.
Auch hier hier liefert das TC4400 nur Partial Service auf dem OFDMA-Kanal (bei 26100000 Hz), alle fünf Sekunden Log-Einträge wie

16 consecutive T3 timeouts while trying to range on upstream channel 8
Ranging Request Retries exhausted

Die dort verwendete Vodafone Station erkennt nur die zwei Downstream-OFDM-Kanäle, kein OFDMA-Upstream-Kanal (nur 4x SC-QAM).

Jetzt bin ich langsam mit meinem Latein am Ende. Ist das TC4400 defekt? Immerhin funktioniert es über Monate hinweg wunderbar, dann über Wochen hinweg fehlerhaft, dann wieder richtig.
Die Fritzbox hat ja auch an meinem Anschluss gewisse Problemchen (siehe ).
 
  • Technicolor TC4400 Docsis 3.1 Modem Info Thread Beitrag #11.000
Wenn die Vodafone Station ebenfalls keinen ofdma erkennt, ist er nicht aktiv bzw. Dein tc4400 nicht kaputt.
Hat das Gerät vom Nachbar im selben Segment nen ofdma angezeigt?
 
Thema:

Technicolor TC4400 Docsis 3.1 Modem Info Thread

Technicolor TC4400 Docsis 3.1 Modem Info Thread - Ähnliche Themen

Netgear CM2000 (US Modem): Dank DOCSIS 3.1 und dem dortigen Wegfall der Unterscheidung zwischen DOCSIS und EuroDOCSIS sind einige Modems aus den USA durchaus im Vodafone...
Unitymedia Technicolor CGA4233 Docsis 3.1 Router Info Tread: Wie auch schon bei TC4400 dient dieser Thread zum Sammeln von Informationen zum Technicolor CGA4233. Default login: user / VTmgQapcEUaE Link zum...
Unitymedia Kabelmodem Arris CM8200B: Moin, Das Arris CM8200B wurde hier schon gelegentlich erwähnt, aber nie vertiefend. Da bei mir seit ein paar Tagen eines herumsteht starte ich...
Unitymedia Cisco EPC3208 verliert immer Verbindung -> Vodafone Station als Lösung? (DOCSIS 3.1 schuld?): Nabend! Ich habe seit 25.11. plötzlich ein massives Problem mit meinem Anschluß, und könnte etwas Aufklärung von Insidern brauchen bevor ich zur...
Unitymedia [Q] Probleme mit Bridge Network Model Virtualisierungsserver: Hallo! Ich habe eine Virtualisierungsplattform mit Web-Oberfläche (Proxmox VE 3.3) aufgesetzt und den Server direkt mit dem Kabel-Gateway TC7200...
Oben