Unitymedia Gigabit Ausbau kommt bis 2022

Diskutiere Gigabit Ausbau kommt bis 2022 im Netzausbau und Digitalisierung Forum im Bereich Rund um Internet; Und dafür mittelfristig DOCSIS 3.1 im Upstream aufschalten... Wenn VF die internen UM-Richtlinien übernimmt, können sie auch höher als 690 MHz...
  • Gigabit Ausbau kommt bis 2022 Beitrag #51
Jo und gleich noch die US Kanäle von 5 auf 4 kastrieren..
Und dafür mittelfristig DOCSIS 3.1 im Upstream aufschalten...
und im Download ab 700mhz? erstmal von QAM 256 auf 64 runterdrehen :hammer:
Wenn VF die internen UM-Richtlinien übernimmt, können sie auch höher als 690 MHz mit 256QAM fahren. Wenn die internen VFKD-Richtlinien beibehalten werden (die leicht anders sind als bei UM) bleibt es bei der Änderung auf 64QAM ab 698 MHz. Bei den VFKD-Richtlinen wird nämlich durch die Preemphase in der Netzebene 3 etwa bei 690 MHz der maximal zulässige Ausgangspegel am Verstärkerpunkt gerissen, weshalb man ab 698 MHz mit 6 dB weniger einspeist (= 64QAM), das ist also keineswegs willkürlich gewählt.
 
  • Gigabit Ausbau kommt bis 2022 Beitrag #52
Jo und gleich noch die US Kanäle von 5 auf 4 kastrieren..
Und dafür mittelfristig DOCSIS 3.1 im Upstream aufschalten...
und im Download ab 700mhz? erstmal von QAM 256 auf 64 runterdrehen :hammer:
Wenn VF die internen UM-Richtlinien übernimmt, können sie auch höher als 690 MHz mit 256QAM fahren. Wenn die internen VFKD-Richtlinien beibehalten werden (die leicht anders sind als bei UM) bleibt es bei der Änderung auf 64QAM ab 698 MHz. Bei den VFKD-Richtlinen wird nämlich durch die Preemphase in der Netzebene 3 etwa bei 690 MHz der maximal zulässige Ausgangspegel am Verstärkerpunkt gerissen, weshalb man ab 698 MHz mit 6 dB weniger einspeist (= 64QAM), das ist also keineswegs willkürlich gewählt.

DerSarde, bekommst du bei soviel MHz-Angaben keine Kopfschmerzen? :winken:
 
  • Gigabit Ausbau kommt bis 2022 Beitrag #53

Bei den VFKD-Richtlinen wird nämlich durch die Preemphase in der Netzebene 3 etwa bei 690 MHz der maximal zulässige Ausgangspegel am Verstärkerpunkt gerissen, weshalb man ab 698 MHz mit 6 dB weniger einspeist (= 64QAM), das ist also keineswegs willkürlich gewählt.

Könntest Technisch erläutrern warum das VFKD so macht ?
Ich habe mir die Konfigurationen in anderen Ländern angesehen und nirgends diese art bisher finden können..
Die fahren quasi alle durchgehend QAM 256.


Gibst eigentlich hier jemand der Gbit in Bochum hat ?
dort soll ja glaube mit 1024QAM getestet werden .. wäre mal interessant zu wissen ob dies der fall ist.
 
  • Gigabit Ausbau kommt bis 2022 Beitrag #54
Könntest Technisch erläutrern warum das VFKD so macht ?
Ich habe mir die Konfigurationen in anderen Ländern angesehen und nirgends diese art bisher finden können..
Die fahren quasi alle durchgehend QAM 256.
Vorsicht, das kann man aller Wahrscheinlichkeit nach nicht vergleichen.

Diese Betreiber in anderen Ländern (und auch die Betreiber kleinerer und neuerer Kabelnetze in Deutschland) haben wohl schon überall Abzweiger unter den Gehwegen verbaut, die bis 862 MHz oder sogar bis 1,2 GHz ausgelegt sind. In diesen Netzen müssen die Signale an den Verstärkerpunkten lediglich einigermaßen gleichmäßig verstärkt und weitergeleitet werden, mehr ist nicht nötig.

Bei Vodafone (und auch bei UM) sind aber immer noch recht viele Abzweiger nur bis 450 MHz ausgelegt, alles darüber wird sehr stark gedämpft. Um also 862 MHz da durchzubekommen, muss das Signal am Verstärkerpunkt vorverzerrt werden, d.h. die höheren Frequenzen werden dort mit wesentlich höherem Pegel weggeschickt als die niedrigeren Frequenzen. Grund dafür ist, dass sichergestellt werden muss, dass auch am Ende der C-Linie noch ein akzeptabler Pegel auf den hohen Frequenzen ankommt.
Insofern ist der Ausgangspegel am Verstärkerpunkt irgendwann so hoch, dass es die Grenzwerte der Norm / Richtlinie überschreitet. Dabei ergab sich wohl die 690 MHz als Grenzwert, daher wird ab 698 MHz mit 6 dB weniger eingespeist, was 64QAM entspricht. Diese Grenze nutzt man nun einheitlich, egal wie gut ausgebaut die jeweilige C-Linie inzwischen ist.
Ein weiterer Ausbau von Glasfaser bzw. der Abzweiger kann aber künftig durchaus dazu führen, dass bzgl. 256QAM mal höher gegangen wird.

Unitymedia hat hier leicht andere Richtlinien, dort wird 256QAM nur mit 4 dB (statt 6 dB) mehr eingespeist als 64QAM, daher besteht dort mehr Spielraum bei den höheren Frequenzen, bis der Grenzwert überschritten wird.

Kabel BW hat vor dem Kauf durch Unitymedia übrigens auch ab 698 MHz auf 64QAM runtergeschaltet, d.h. auch da galten damals wohl ähnliche interne Richtlinien wie bei VFKD heute noch.
 
  • Gigabit Ausbau kommt bis 2022 Beitrag #55
Unitymedia hat hier leicht andere Richtlinien, dort wird 256QAM nur mit 4 dB (statt 6 dB) mehr eingespeist als 64QAM, daher besteht dort mehr Spielraum bei den höheren Frequenzen, bis der Grenzwert überschritten wird.
Dann könnte man doch bei VF theoretisch auch die Richtlinie ändern und 256QAM nur mit 4dB mehr einspeisen und alle Kanäle mit 256QAM einspeisen. Läuft doch bei UM auch problemlos.
 
  • Gigabit Ausbau kommt bis 2022 Beitrag #59
Dann könnte man doch bei VF theoretisch auch die Richtlinie ändern und 256QAM nur mit 4dB mehr einspeisen und alle Kanäle mit 256QAM einspeisen. Läuft doch bei UM auch problemlos.
Könnte man sicherlich, irgendeinen Grund haben die 6 dB aber schon, muss ich nochmal nachfragen.

Ein zweites Kriterium ließe sich durch nur 4 dB nämlich auch etwas lindern. Es kommt nämlich noch die Gesamtlast aller addierten Signale auf dem Verstärkerpunkt dazu. Bei VFKD könnte die sogar noch etwas höher liegen als bei UM aufgrund des größeren OFDM-Blocks, daher ist auch das ein limitierender Faktor.
Ja und da kommt das Signal mit einer 20dB Schräglage rein.
Oh, das ist happig. Bei VFKD könntest ab 10 dB Schräglage ne Störungsmeldung aufgeben.
 
  • Gigabit Ausbau kommt bis 2022 Beitrag #61
Bei Unitymedia auch. Interessiert bloß keinen.
Ich hab auch ne Schräglage, aber nach oben... Die 826 MHz ist hier 12 dB höher als die 466 MHz. :zwinker:

Sprich bei meinem Anschluss sieht man diese Preemphase fast perfekt. Und die fängt wirklich erst bei etwa 470 MHz an, im Bereich 110 - 470 MHz ist die Schräglage nämlich 0.
Wahrscheinlich wurden hier inzwischen eine Reihe der alten Abzweiger durch neue ersetzt, aber weder die Preemphase noch das Hausnetz hier angepasst.

Erst gestern Mittag gab es hier bspw. auch zwei kurze Internetabbrüche mit einer Länge von einmal einer Minute und einmal 20 Sekunden, nachdem ich am Montag gesehen habe, dass an einem „grauen Kasten“ der Gehweg aufgerissen war.
 
  • Gigabit Ausbau kommt bis 2022 Beitrag #62
  • Gigabit Ausbau kommt bis 2022 Beitrag #63
Wie lange ist das denn schon so? Das sieht mir nämlich nicht normal aus. Ich würde hier eher auf einen abgerauchten Abzweiger tippen, sprich der Tiefbau müsste raus. Selbst wenn du am Ende einer C-Linie wohnst, darf das nicht so aussehen...

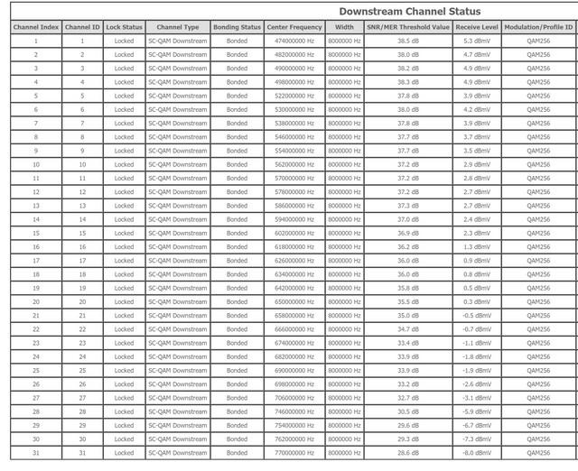
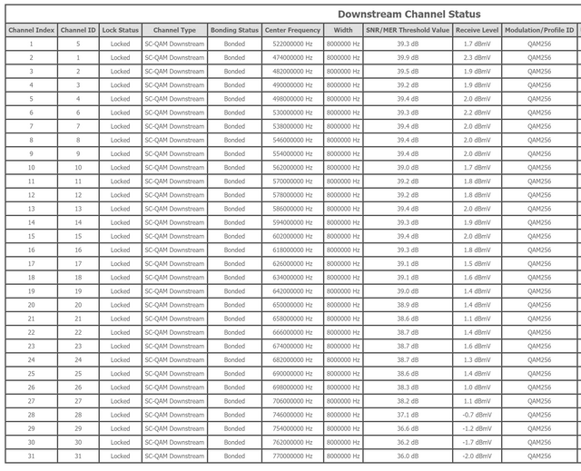
Insbesondere die 746-770 MHz sind vom Pegel, aber insbesondere vom MER her deutlich unter der Norm. Allein das müsste ausreichen, um einen Techniker kommen zu lassen. Die Schräglage an sich brauchst da erstmal gar nicht nennen.
 
  • Gigabit Ausbau kommt bis 2022 Beitrag #64
Wie lange ist das denn schon so? Das sieht mir nämlich nicht normal aus. Ich würde hier eher auf einen abgerauchten Abzweiger tippen, sprich der Tiefbau müsste raus. Selbst wenn du am Ende einer C-Linie wohnst, darf das nicht so aussehen...

Insbesondere die 746-770 MHz sind vom Pegel, aber insbesondere vom MER her deutlich unter der Norm. Allein das müsste ausreichen, um einen Techniker kommen zu lassen. Die Schräglage an sich brauchst da erstmal gar nicht nennen.

Es waren letztes Jahr 6 Techniker oder so da. Es wurde auch ein Abzweiger getauscht. Hat aber alles nur verschlimmbessert. Ende vom Lied war dass ich selber Geld in die Hand nehmen musste um mir Pads zu besorgen um wenigstens den Verstärker richtig einzustellen. Der 40dB Verstärker ist nun voll aufgedreht und entzerrt so gut es geht und daran hängt eine 12dB Dose. Pegel an der Dose sehen dann so aus:

 
  • Gigabit Ausbau kommt bis 2022 Beitrag #66
Wer des Polnischen mächtig ist, kann sich hier mal ansehen wie das teils Technisch in Polen abläuft mit den Gbit.



Leider keine Untertitel bei.

eingesetzt wird dort übrigends die Connect Box 2 dort Giga ConnectBox genannt.
selbstverständlich mit Modem-Modus :hammer:
 
  • Gigabit Ausbau kommt bis 2022 Beitrag #68
Die Connectbox will ich nicht mal als Modem geschenkt haben. :D
 
  • Gigabit Ausbau kommt bis 2022 Beitrag #70
Gibts eigentlich Gerüchte o.ä. wie es nun weitergeht mit dem Gigabit-Ausbau. Hätte mir z.B. eine Ankündigung bei der ANGACOM vorstellen können, da gab es ja aber wohl nichts. Weiß man was, welche die nächsten Städte sein könnten?
 
  • Gigabit Ausbau kommt bis 2022 Beitrag #71
Gibts eigentlich Gerüchte o.ä. wie es nun weitergeht mit dem Gigabit-Ausbau. Hätte mir z.B. eine Ankündigung bei der ANGACOM vorstellen können, da gab es ja aber wohl nichts. Weiß man was, welche die nächsten Städte sein könnten?
Ich glaube nicht, dass UM noch irgendetwas Gigabitmässig ausbaut :traurig:
 
  • Gigabit Ausbau kommt bis 2022 Beitrag #72
natürlich geht da was (auch wenn es mehr sein könnte), eingestellt ist der Ausbau nicht (wird sicherlich auch staatlich gefördert aus einem Topf für notleidene Monopolisten)
https://www.inside-handy.de/magazin/unitymedia-netzausbau-schnelles-internet-kommt-in-diese-staedte
 
  • Gigabit Ausbau kommt bis 2022 Beitrag #73
Bis Ende Juli sollte es eine Entscheidung zur Fusion geben, danach wird man wieder Ankündigungen machen.
 
  • Gigabit Ausbau kommt bis 2022 Beitrag #74
natürlich geht da was (auch wenn es mehr sein könnte), eingestellt ist der Ausbau nicht (wird sicherlich auch staatlich gefördert aus einem Topf für notleidene Monopolisten)
https://www.inside-handy.de/magazin/unitymedia-netzausbau-schnelles-internet-kommt-in-diese-staedte

Da geht es nach meinem Verständnis um den Netzausbau im Allgemeinen und nicht um den Ausbau für Gigabit im Speziellen. Das der allgemeine Netzaufbau weitergeht hat ja
niemand bestritten, es ging vielmehr um die Frage, ob noch ein weiterer Ausbau im Gigabitbereich erfolgt (mit Docsys 3.1).
 
  • Gigabit Ausbau kommt bis 2022 Beitrag #75
es ging vielmehr um die Frage, ob noch ein weiterer Ausbau im Gigabitbereich erfolgt (mit Docsys 3.1).
Nein, UM wird da definitiv nix mehr machen. :traurig:
Das wäre vor der großen Übernahme "Perlen vor die Säue werfen"

Außerdem macht UM den Ausbau in den Augen von VF eh falsch.
Sprich VF muss nacher die ganzen von UM bereits ausgebauten Docsis 3.1 Gebiete erneut umrüsten.
 
Thema:

Gigabit Ausbau kommt bis 2022

Gigabit Ausbau kommt bis 2022 - Ähnliche Themen

Unitymedia 6 Kanäle in Senderichtung (in BW, DOCSIS 3.0): Hallo, vielleicht interessiert es ja den einen oder anderen denn zumindest sind 6 Kanäle im Upload wohl unüblich(?): Mein Kabelanschluss (ex UM...
Unitymedia Vodafone's neue Zahlen zum Ausbau und Zukunftspläne: Hier gibts einen interessanten Artikel zu Vodafones Fahrplan für die Zukunft und wie's bislang aussieht. Scheinbwar werden die 100mbit upload für...
Unitymedia Mehr Kabel, weniger FTTH: Hallo Gemeinde, habe gerade diesen Artikel bei heise.de gesehen - bin mir unsicher, ob ich den Inhalt gut oder schlecht finden soll. Auf der einen...
Unitymedia Zukünftige Netzharmonisierung bringt auch eine Senderumbelegung mit sich: Bei Vodafone steht die sogenannte Netzharmonisierung auf dem Programm. Vodafone schluckte damals nicht nur Kabel Deutschland, sondern auch...
Unitymedia massive Störungen [Klötzchen] im TV und internetausfälle: Hi, wir haben schon einen 10 Jahre alten Vertrag. Seit einigen Jahren ist das TV Bild permanent mit Klötzchen versaut. Je nach Kanal...
Oben