• Kunden aus Hessen und Nordrhein-Westfalen können über die Rufnummer 0221 / 466 191 00 Hilfe bei allen Problemen in Anspruch nehmen.
    Kunden aus Baden-Württemberg können über die Rufnummer 0711 / 54 888 150 Hilfe bei allen Problemen in Anspruch nehmen.

Unitymedia Technicolor TC4400 Docsis 3.1 Modem Info Thread

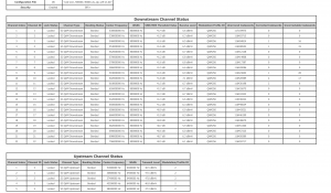
Diskutiere Technicolor TC4400 Docsis 3.1 Modem Info Thread im Internet und Telefon über das TV-Kabelnetz Forum im Bereich Internet und Telefon; Deine Pegel im DS sind viel zu niedrig. Die sollten bei ca 3-5dbmv liegen und nicht im "negativen" Bereich. Der SNR sieht allerdings gut aus-...
  • Technicolor TC4400 Docsis 3.1 Modem Info Thread Beitrag #4.501
Deine Pegel im DS sind viel zu niedrig. Die sollten bei ca 3-5dbmv liegen und nicht im "negativen" Bereich. Der SNR sieht allerdings gut aus-
Gleiches gilt für den US. Da ist das Powerlevel auch etwas niedrig.

Hast du Irgendwas an der Verkabelung geändert?
Ansonsten einfach eine Störung melden und ein Techniker soll deinen Anschluss neu einmessen :hammer:
 
  • Technicolor TC4400 Docsis 3.1 Modem Info Thread Beitrag #4.502
Deine Pegel im DS sind viel zu niedrig. Die sollten bei ca 3-5dbmv liegen und nicht im "negativen" Bereich. Der SNR sieht allerdings gut aus-
Gleiches gilt für den US. Da ist das Powerlevel auch etwas niedrig.
Häääh :kratz:
Sieht doch gut aus, alles voll im Rahmen :winken:
 
  • Technicolor TC4400 Docsis 3.1 Modem Info Thread Beitrag #4.503
Mahlzeit,
Arbeite als Techniker bei nem Servicepartner für UM und hatte diese Tage das erste mal solch ein TC4400 vor der Nase.
Muss sagen bin positiv überrascht das es wieder ne vernünftige alternative zu nem Cisco 3212/3208 gibt.
Aufgrund einer Tarifumstellung musste ich Anfang des Jahres auf die Connect Box wechseln.
Nutze als Router einen Nighthawk mit DDWRT.
Soweit hab ich alles andere ans laufen bekommen das alles weiterhin über den Router läuft. Einziger Unterschied war ne doppelte NAT.
Hab mich nun intern erkundigt ob ich auch bei einem eigenen Gerät meine IPV4 behalten kann. Das bleibt soweit.
Jetzt meine Frage, hat es einen Mehrwert wenn ich die Connect Box gegen das TC tausche?
Signale etc sind bei mir natürlich einwandfrei, auch so hab ich nie Störungen oder Performance Probleme. Jedoch mag ich die CB nicht.
Was meint ihr bzw was ist eure Erfahrung?
Habe wie gesagt IPV4 mit 400/40mbit
Lg
 
  • Technicolor TC4400 Docsis 3.1 Modem Info Thread Beitrag #4.504

Anhänge

  • Bildschirmfoto 2018-12-13 um 12.39.10.png
    Bildschirmfoto 2018-12-13 um 12.39.10.png
    419,8 KB · Aufrufe: 931
  • Technicolor TC4400 Docsis 3.1 Modem Info Thread Beitrag #4.505
  • Technicolor TC4400 Docsis 3.1 Modem Info Thread Beitrag #4.506
Hallo tobsen,

dachte immer die Pegelwerte wären noch vollkommen in der Norm?! War da nicht mal was mitDownloadbereich -6 - +10 db? und der im Upload-Powerlevel bei ca. 40 - 48 db? Aber das wichtigste ist ja immer der SNR.

Da ich leider in einem Mehrfamilienhaus (30 Wohnungen) wohne sind keine besseren Pegel möglich. Hier ist im BVT-Schrank ein Delta BKE41P mit 40 db Verstärkung installiert danach geschaltet dann ein 6-fach Verteiler. Von diesem Verteiler gehen dann die 6 Leitungen ab für jedes Stockerk bei uns im Haus, und in jedem Stockwerk sitzt dann in einer UP-Dose nochmals ein 6-fach Verteiler für jede einzelne Wohnung, somit ist die Gesamtdämpfung der Anlage schonmal ziemlich hoch.

6-fach Verteiler (BVT-Schrank) = 10db
6-fach Verteiler (Etage) = 10db
Leitungsdämpfung ca 50m Koaxialkabel vom BVT-Schrank im Keller bis in meine Wohnung = ca.10db bei 1000 MHz Durchgangsdämpfung erste MM-Dose ca. 2db
Auskoppeldämfung zweite MM-Dose = 10db >>> Hier hängt das Modem <<<
= insgesamt also eine Dämpfung von ca. 42 db!
Eine eventuelle Schräglage am Eingang des Verstärkers noch nicht mal berücksichtigt.

Bei mir sind in der Wohnung 3 Durchgangsdosen verbaut (14db>10db>10db+Abschlusswiderstand), und an der mittleren Dose hängt das TC4400.

Ich habe das Glück nur im der 4 Etage zu wohnen, möchte erst gar nicht wissen wie die Pegel in der 6 Etage aussehen!
Die ganze Anlage ist hier ziemlich knapp bemessen denke ich. Hätte vermutlich anders aufgebaut/geplant weden müssen. Aber solange es läuft ... ;-)

Ich hoffe dass wenn in ein paar Jahren das ganze auf Docsis 3.1 umgestellt wird, ein neuer Verstärker verbaut wird wie der momentan vorhandene Delta BKE41P mit einem maximal möglichen Ausgangspegel von 106 - 108dbmV! Z.B. eventuell der Delta LHE1040P? oder gleich ein entsprechendes Nachfolgermodell bis 1,2 GHz (Delta BKD 38 G-20)
 
  • Technicolor TC4400 Docsis 3.1 Modem Info Thread Beitrag #4.507
dachte immer die Pegelwerte wären noch vollkommen in der Norm?! War da nicht mal was mitDownloadbereich -6 - +10 db? und der im Upload-Powerlevel bei ca. 40 - 48 db?
Sind sie auch :winken:

DS -6 BIS +9 dBmV (optimal -4 bis +7 dBmV)
US 34 bis 50 dBmV (optimal 36 bis 47 dBmV)

Beim SNR ist alles ab 32 dB und höher im Soll
 
  • Technicolor TC4400 Docsis 3.1 Modem Info Thread Beitrag #4.508
  • Technicolor TC4400 Docsis 3.1 Modem Info Thread Beitrag #4.509
Da ich leider in einem Mehrfamilienhaus (30 Wohnungen) wohne sind keine besseren Pegel möglich. Hier ist im BVT-Schrank ein Delta BKE41P mit 40 db Verstärkung installiert danach geschaltet dann ein 6-fach Verteiler. Von diesem Verteiler gehen dann die 6 Leitungen ab für jedes Stockerk bei uns im Haus, und in jedem Stockwerk sitzt dann in einer UP-Dose nochmals ein 6-fach Verteiler für jede einzelne Wohnung, somit ist die Gesamtdämpfung der Anlage schonmal ziemlich hoch.

Krass. Ich bräuchte dafür mindestens 2 40dB Verstärker.
Brauche schon einen 40dB Verstärker für nur eine Dose.
 
  • Technicolor TC4400 Docsis 3.1 Modem Info Thread Beitrag #4.510
Hallo zusammen,

der "Factory Reset" hat geholfen, komme mit dem user "admin" wieder rein. Habe dabei dann auch gesehen, das ich an einem Arris hänge, mit derzeit 22 downstream Kanälen.

Danke,

shortie
 
  • Technicolor TC4400 Docsis 3.1 Modem Info Thread Beitrag #4.511
Wow. Seit der Analogabschaltung habe ich auch keine unkorrigierbaren Fehler mehr auf meinen gerade Mal 8 Kanälen. Wenigstens einwas ist besser geworden. :D
 
  • Technicolor TC4400 Docsis 3.1 Modem Info Thread Beitrag #4.512
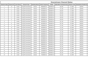
Derzeitige Qualität bei mir:
 

Anhänge

  • Bildschirmfoto 2018-12-13 um 17.51.54.png
    Bildschirmfoto 2018-12-13 um 17.51.54.png
    595,2 KB · Aufrufe: 788
  • Technicolor TC4400 Docsis 3.1 Modem Info Thread Beitrag #4.513

Anhänge

  • Pegel3.JPG
    Pegel3.JPG
    141,4 KB · Aufrufe: 724
  • Technicolor TC4400 Docsis 3.1 Modem Info Thread Beitrag #4.514
Unmengen an korrigierbaren Fehlern
Sind denn knapp 130 Millionen korrigierbare Fehler in 24 Stunden noch im Rahmen :kratz:
Und das auch noch ohne Last auf der Leitung :confused:

Gibt es da einen Bezugswert, wieviele Fehler noch im Rahmen sind?
 
  • Technicolor TC4400 Docsis 3.1 Modem Info Thread Beitrag #4.515
bei manchen TC4400s, die ich betreue , ist die Zahl der unkorrigierbaren hoch . Aber 'thinkbroadband' meldet fast keine Verluste.

stimmen die Werte die das Modem angibt ueberhaupt? Bei den Temperaturen hat sich Technicolor schliesslich auch ziehmlich verhauen :glück:
 
  • Technicolor TC4400 Docsis 3.1 Modem Info Thread Beitrag #4.516
Gibt es da einen Bezugswert, wieviele Fehler noch im Rahmen sind?
Das sind knapp 1500 korrigierbare Fehler pro Sekunde!!!
Das kann nicht gesund sein.
Wer ist der Verursacher, das Casa CMTS oder die anderen Teilnehmer im Segment?

Senden die Casa's mit einer so extrem schlechten Qualität?
Kommen daher auch diese wahnsinns Latenzsprünge von mittlerweile bis zu 300 ms :kratz:
Das sind zwar korrigierbare Fehler, aber trotzdem müssen ja Unmengen an Paketen korrigiert werden, da hat das Modem ja auch ordentlich mit zu tun. :streber:
 
  • Technicolor TC4400 Docsis 3.1 Modem Info Thread Beitrag #4.517
  • Technicolor TC4400 Docsis 3.1 Modem Info Thread Beitrag #4.518
Und falls jetzt jemand um die Ecke kommt, liegt am TC4400, das könnte defekt sein, demjenigen kann ich gleich den Wind aus den Segeln nehmen. :streber:
Denn das Referenzmodem schmeißt genau so viele Fehler, die Fehlerraten sind nahezu identisch :winken:
 
  • Technicolor TC4400 Docsis 3.1 Modem Info Thread Beitrag #4.519
Was ich halbwegs nachvollziehen kann:
Durch die Erhöhung der Docsis 3.0 Kanäle von 20 auf 31 Kanäle letzte Woche haben sich die Fehlerraten massiv erhöht.
Mehr Kanäle = auch mehr Fehler :kratz:
Hierdurch bedingt sind dann auch die Latenzsprünge von vorher bis zu 120 ms auf jetzt bis zu 300 ms hochgeschossen. :streber:
Der Anschluss ist so absolut nicht mehr zu gebrauchen. :traurig:

Ist mir mittlerweile auch scheißegal, da ich den Anschluss eh nicht mehr nutze.
Aber es ist eine Frechheit, dass ich für so einen Dreck noch bis März bezahlen soll und jetzt kommt auch noch ne Preiserhöhung für die letzten 4 Monate um 5€ monatlich.
Die sind doch nicht mehr ganz sauber bei UM :wand:
 
  • Technicolor TC4400 Docsis 3.1 Modem Info Thread Beitrag #4.520
*Hand heb'* :winken:
Zwischenfrage: Sind die Werte »Correctables« und »Uncorrectables« äquivalent zu »Pre RS Errors« und »Post RS Errors« in der Connect Box oder ist das wieder eine andere Baustelle? :kratz:
 
  • Technicolor TC4400 Docsis 3.1 Modem Info Thread Beitrag #4.521
Gibt es da einen Bezugswert, wieviele Fehler noch im Rahmen sind?
Das sind knapp 1500 korrigierbare Fehler pro Sekunde!!!
Das kann nicht gesund sein.
Wer ist der Verursacher, das Casa CMTS oder die anderen Teilnehmer im Segment?

Senden die Casa's mit einer so extrem schlechten Qualität?
Kommen daher auch diese wahnsinns Latenzsprünge von mittlerweile bis zu 300 ms :kratz:
Das sind zwar korrigierbare Fehler, aber trotzdem müssen ja Unmengen an Paketen korrigiert werden, da hat das Modem ja auch ordentlich mit zu tun. :streber:

Ich hänge auch an einem Casa und habe die Probleme nicht, kann allerdings ein anderes Modell / Softwarestand sein.
Bei dir murkst UM wohl rum :hammer:
 
  • Technicolor TC4400 Docsis 3.1 Modem Info Thread Beitrag #4.522
@Andreas
Wenn Du für ein Thema, das Dir "mittlerweile auch scheißegal" ist, fünf Beiträge in 30 Minuten schreibst, will ich nicht wissen was passiert, wenn Dich ein Thema mal wirklich interessiert.

@ianann
Jap, die Zuordnung passt.
 
  • Technicolor TC4400 Docsis 3.1 Modem Info Thread Beitrag #4.523
  • Technicolor TC4400 Docsis 3.1 Modem Info Thread Beitrag #4.524
@Andreas
Wenn Du für ein Thema, das Dir "mittlerweile auch scheißegal" ist, fünf Beiträge in 30 Minuten schreibst, will ich nicht wissen was passiert, wenn Dich ein Thema mal wirklich interessiert.
Ganz scheißegal ist es mir noch nicht, da ich für den Anschluss ja schließlich noch löhne, und das fürstlich :winken:
Da hat UM normalerweise zu liefern, egal, ob ich den nutze oder nicht. :streber:

Zum Glück zahle ich für den Telekom Anschluss noch nichts, der finanziert sich immer noch über die Gutschriften. :zwinker:
 
  • Technicolor TC4400 Docsis 3.1 Modem Info Thread Beitrag #4.525
@addicted / @Andreas1969
Danke euch für dieRückmeldung. In wiefern wird dies in der CB denn »falsch« angezeigt?
 
Thema:

Technicolor TC4400 Docsis 3.1 Modem Info Thread

Technicolor TC4400 Docsis 3.1 Modem Info Thread - Ähnliche Themen

Netgear CM2000 (US Modem): Dank DOCSIS 3.1 und dem dortigen Wegfall der Unterscheidung zwischen DOCSIS und EuroDOCSIS sind einige Modems aus den USA durchaus im Vodafone...
Unitymedia Technicolor CGA4233 Docsis 3.1 Router Info Tread: Wie auch schon bei TC4400 dient dieser Thread zum Sammeln von Informationen zum Technicolor CGA4233. Default login: user / VTmgQapcEUaE Link zum...
Unitymedia Kabelmodem Arris CM8200B: Moin, Das Arris CM8200B wurde hier schon gelegentlich erwähnt, aber nie vertiefend. Da bei mir seit ein paar Tagen eines herumsteht starte ich...
Unitymedia Cisco EPC3208 verliert immer Verbindung -> Vodafone Station als Lösung? (DOCSIS 3.1 schuld?): Nabend! Ich habe seit 25.11. plötzlich ein massives Problem mit meinem Anschluß, und könnte etwas Aufklärung von Insidern brauchen bevor ich zur...
Unitymedia [Q] Probleme mit Bridge Network Model Virtualisierungsserver: Hallo! Ich habe eine Virtualisierungsplattform mit Web-Oberfläche (Proxmox VE 3.3) aufgesetzt und den Server direkt mit dem Kabel-Gateway TC7200...
Oben