• Kunden aus Hessen und Nordrhein-Westfalen können über die Rufnummer 0221 / 466 191 00 Hilfe bei allen Problemen in Anspruch nehmen.
    Kunden aus Baden-Württemberg können über die Rufnummer 0711 / 54 888 150 Hilfe bei allen Problemen in Anspruch nehmen.

Unitymedia Technicolor TC4400 Docsis 3.1 Modem Info Thread

Diskutiere Technicolor TC4400 Docsis 3.1 Modem Info Thread im Internet und Telefon über das TV-Kabelnetz Forum im Bereich Internet und Telefon; Keine Ahnung, was die da anzeigt, jedenfalls sind das nicht die realen Fehler, die auf der Leitung entstehen. Da werden anscheinend irgendwelche...
  • Technicolor TC4400 Docsis 3.1 Modem Info Thread Beitrag #4.526
In wiefern wird dies in der CB denn »falsch« angezeigt?
Keine Ahnung, was die da anzeigt, jedenfalls sind das nicht die realen Fehler, die auf der Leitung entstehen.
Da werden anscheinend irgendwelche Mondwerte angezeigt.

Hatte mal ne zeitlang eine UM Fritte 6490 und ne Connectbox an einem Anschluss hängen, die Fehler der Fritte
hielten sich noch in Grenzen (ja, zu der Zeit hing ich noch an einem guten Arris) und die Fehlerzahlen
in der Connectbox schossen ins Nirvana :winken:
 
  • Technicolor TC4400 Docsis 3.1 Modem Info Thread Beitrag #4.527
Seit eine zweite Connectbox im Haus hängt und diese Eingeschaltet wird, gibt es bei mir Unkorrigierbare. Ansonsten habe ich selbst bei Ingress keine Unkorrigierbaren.
 
  • Technicolor TC4400 Docsis 3.1 Modem Info Thread Beitrag #4.528
Nochmal zu den korrigierbaren Fehlern, welche Anzahl ist hier noch im Rahmen, ohne dass der Anschluß beeinträchtigt wird :kratz:
Und wie entstehen die genau, bzw. was ist die Ursache hierfür :confused:

Sind 100 Fehler pro Sekunde noch im Rahmen, oder eher 1000 oder gar 10000 :confused:
Ab welcher Fehlerrate ist mit einer Beeinträchtigung des Anschlusses, bzw. der Latenz zu rechnen?
Gibt es seitens UM hier irgendwelche Vorgaben :kratz:
 
  • Technicolor TC4400 Docsis 3.1 Modem Info Thread Beitrag #4.529
Ja gibt es aber ich kenne den Wert nicht.
 
  • Technicolor TC4400 Docsis 3.1 Modem Info Thread Beitrag #4.530
Ja gibt es aber ich kenne den Wert nicht.
Die genauen Vorgaben wären für mich aber interessant, dann könnte ich UM vor Ablauf meines Vertrages noch ne Störung auf's Auge drücken.
So lassen die mich nämlich abblitzen:
- Eigenes Endgerät
- Pegel sind im Range
- 400 / 40 MBIT'S werden ja erreicht
- Wenn der Techniker nix findet kommt die Rechnung

usw. Blablabla....

Mein Gefühl sagt mir jedenfalls deutlich, dass die Anzahl der korrigierbaren Fehler bei mir viel zu hoch ist.
 
  • Technicolor TC4400 Docsis 3.1 Modem Info Thread Beitrag #4.531
Das sieht doch richtig gut aus :zwinker:
Bei mir sieht´s nach 24 Stunden so aus:
Pegel3.JPG

Unmengen an korrigierbaren Fehlern :hate-iesy:

Nach 24 Stunden?
Bin zwar kein Techniker, aber ich wurde sagen viel zu hoch.

Wenn ich mir so manche Werte hier angucke, die von Usern geposted wurden.
Die Downstream Power Level...
Wenn z.B. die unteren Kanäle einen niedrigeren Power Level wie die oberen aufweisen, ist dass nicht ein eindeutiges Zeichen für eine Schräglage?
Bei mir haben die unteren und oberen Kanäle einen niedrigeren Power Level wie die Kanäle im Mittelfeld....
Was hat dass zu bedeuten?

Und wenn mehrere Modems an einem Verstärker/Abzweiger/Verteiler hängen sollten sich die (Up?) Power Level nicht jeweils um 3db unterscheiden.(Übersprechen? Gibts sowas bei docsis?)
Angenommen, man hat 3 Endgeräte, das Endgerät, das am nächsten am Verstärker hängt wird auf 48dbMv eingepegelt, das Gerät im Mittelfeld auf 45dbMV und das am weitesten entferntesten auf 43dbMV?
Oder werden alle auf das gleiche Power Level eingepegelt?

Wenn jemand ein Modem besitzt, welches erlaubt die Seriennummer und Wan-Mac beliebig zu ändern und dieser jemand die SN und MAC von jemand anderem kopiert, könnte dieser den gesamten Traffic des Betroffenen abhören?
 
  • Technicolor TC4400 Docsis 3.1 Modem Info Thread Beitrag #4.532
Hallo zusammen!
Ich habe seit gestern ein T4400 in Betrieb (mit Router Netgear R7500), SIP-Daten von Unitymedia erhalten - soweit alles gut.
Probleme macht aber das alte analoge Telefon. Ich habe versuchsweise mal ein "Grandstream HandyTone 801 (HT801)" bestellt, bekomme es aber nicht zum Laufen.
Hat hier jemand Erfahrung mit so einem Gerät oder wäre eher der Cisco SPA112 eine Empfehlung?
 
  • Technicolor TC4400 Docsis 3.1 Modem Info Thread Beitrag #4.533
bekomme es aber nicht zum Laufen.
Wo hakt es den?
Bekommst du irgendeine Fehlermeldung in den Logs?

Hast du mal testweise einen STUN-Server bei den SIP-Credentials eingetragen? Eventuell verschluckt sich das Teil am NAT
 
  • Technicolor TC4400 Docsis 3.1 Modem Info Thread Beitrag #4.534
Wenn z.B. die unteren Kanäle einen niedrigeren Power Level wie die oberen, ist dass nicht eindeutig ein Zeichen für eine Schräglage?

Ich fühle mich angesprochen. :glück:

 
  • Technicolor TC4400 Docsis 3.1 Modem Info Thread Beitrag #4.535
Bei mir ist es umgekehrt.
 

Anhänge

  • Screenshot (41).png
    Screenshot (41).png
    364,7 KB · Aufrufe: 934
  • Technicolor TC4400 Docsis 3.1 Modem Info Thread Beitrag #4.536
  • Technicolor TC4400 Docsis 3.1 Modem Info Thread Beitrag #4.537
Nur 2 Tage, die Fehler waren mal weniger.
 
  • Technicolor TC4400 Docsis 3.1 Modem Info Thread Beitrag #4.538
bekomme es aber nicht zum Laufen.
Wo hakt es den?
Bekommst du irgendeine Fehlermeldung in den Logs?

Hast du mal testweise einen STUN-Server bei den SIP-Credentials eingetragen? Eventuell verschluckt sich das Teil am NAT

Meinst Du Fehlermeldungen am Router? Soweit nichts ungewöhnliches.
Das Thema STUN-Server ist neu für mich, bin da überhaupt noch nicht drin.
Bin mir nichtmal sicher ob ich meine SIP-Daten richtig eingetragen habe, da findet sich leider nirgends eine Beschreibung für genau diesen Fall.
 
  • Technicolor TC4400 Docsis 3.1 Modem Info Thread Beitrag #4.539
Hallo zusammen!
Ich habe seit gestern ein T4400 in Betrieb (mit Router Netgear R7500), SIP-Daten von Unitymedia erhalten - soweit alles gut.
Probleme macht aber das alte analoge Telefon. Ich habe versuchsweise mal ein "Grandstream HandyTone 801 (HT801)" bestellt, bekomme es aber nicht zum Laufen.
Hat hier jemand Erfahrung mit so einem Gerät oder wäre eher der Cisco SPA112 eine Empfehlung?

An dem Grandstream haben sich schon mehrere Leute erfolglos probiert. :winken:
Bisher haben ihn glaube alle zurückgeschickt und gegen den Cisco SPA112 getauscht. :zwinker:
 
  • Technicolor TC4400 Docsis 3.1 Modem Info Thread Beitrag #4.540
Hallo zusammen!
Ich habe seit gestern ein T4400 in Betrieb (mit Router Netgear R7500), SIP-Daten von Unitymedia erhalten - soweit alles gut.
Probleme macht aber das alte analoge Telefon. Ich habe versuchsweise mal ein "Grandstream HandyTone 801 (HT801)" bestellt, bekomme es aber nicht zum Laufen.
Hat hier jemand Erfahrung mit so einem Gerät oder wäre eher der Cisco SPA112 eine Empfehlung?

An dem Grandstream haben sich schon mehrere Leute erfolglos probiert. :winken:
Bisher haben ihn glaube alle zurückgeschickt und gegen den Cisco SPA112 getauscht. :zwinker:

Ja, darauf kanns auch hinauslaufen... :super:
Der SPA112 hat auf jeden Fall ein übersichtlicheres Web-Interface. Gibt es eventuell eine Referenz-Konfig?
 
  • Technicolor TC4400 Docsis 3.1 Modem Info Thread Beitrag #4.541
Mein Gefühl sagt mir jedenfalls deutlich, dass die Anzahl der korrigierbaren Fehler bei mir viel zu hoch ist.

Solange es zu den korrigierbaren Codewords keine unkorrigierbaren Codewords gibt, hat es keinen Einfluss auf den Durchsatz. Dafuer ist die FEC ja da.

Ich habe im KDG-Forum bereits einen Text dazu geschrieben: https://www.kdgforum.de/viewtopic.php?f=68&t=38748&p=613340#p613340

Er beginnt am Anfang mit dem D3.1 LDPC aber es kommt auch noch ein Teil zum alten SC-QAM FEC (die letzten beiden Absaetze).
 
  • Technicolor TC4400 Docsis 3.1 Modem Info Thread Beitrag #4.542
Ich fühle mich angesprochen. :glück:




Es scheint wirklich so, als ob man bei dem Verstärker bei dir im Haus vergessen hat die Entzerrung entsprechend einzustellen 0/6dB (Interstage-Entzerrer) + zzgl. Entzerrung. Dann wäre nämlich keine solche Schräglage von ca. 10dB (470MHz - 770MHz) vorhanden, sondern höchstens nur noch ca. 4dB. Allerdings sollte man dazu auch wissen inwieweit das Signal schon schräg am Verstärkereingang ankommt damit man das alleine mit der Entzerrung wieder hinbekommen kann... dazu kommen noch andere Dinge wie Qualität der Hausverkabelung, Gesamtdämpfung vom BVT-Schrank bis zu deiner MM-Dose etc. etc. Aber ein guter Techniker sollte das lösen können :)

Wenn ich mal unsere WEG als Beispiel nehme, wohne ja wie gesagt in ner größeren Wohnanlage mit ca. 120 Wohnungen, verteilt auf 5 Häuser. In Haus A ist der Anschluss von Unitymedia, und ich befinde mich im letzen Haus also Haus E. Also mehrere Verstärker in Kaskade geschalten. Und die Pegel bei mir sind durchweg gerade, also nur ne Sache wie die ganze Anlage sauber eingemessen wurde.
 
  • Technicolor TC4400 Docsis 3.1 Modem Info Thread Beitrag #4.543
Es scheint wirklich so, als ob man bei dem Verstärker bei dir im Haus vergessen hat die Entzerrung entsprechend einzustellen 0/6dB (Interstage-Entzerrer) + zzgl. Entzerrung. Dann wäre nämlich keine solche Schräglage von ca. 10dB (470MHz - 770MHz) vorhanden, sondern höchstens nur noch ca. 4dB. Allerdings sollte man dazu auch wissen inwieweit das Signal schon schräg am Verstärkereingang ankommt damit man das alleine mit der Entzerrung wieder hinbekommen kann...

Könnte ich da selbst noch was nachbessern am Verstärker?

Die Werte direkt am HÜP sehen so aus:

 
  • Technicolor TC4400 Docsis 3.1 Modem Info Thread Beitrag #4.544
Da die Pegel am Übergabepunkt schon okay allerdings dürften sie etwas höher sein sind aber sehr schräg Schieflage 10db. Was jetzt möglich ist hängt vom verbauten Verstärker und der generellen Gesamtdämfung bis zu dir in die Wohnung ab? Was für ein Verstärker ist denn verbaut? Sicher ein 40dB Verstärker. Im Idealfall ist es immer ein sehr rauscharmes Modell z.B. Delta BKD-41P mit einem Rauschmaß von 5dB.

Aber machbar ist mit größter Wahrscheinlichkeit schon was, Du siehst ja am HUP ist der SNR ja sogar besser wie bei dir in der Wohnung! Daher gehe ich stark davon aus das da was ginge!

Also die Interstage-Entzerrung sollte wahrscheinlich auf 6db gesetzt sein und auch ansonsten die normale Entzerrung müsste noch etwas angepasst werden und dann denke ich sollte alles ziemlich gut hinzubekommen sein. Da darf aber leider nur ein Techniker von Unitymedia ran um das ganze neu zu pegeln, sind ja möglicherweise noch andere Leute von betroffen.
 
  • Technicolor TC4400 Docsis 3.1 Modem Info Thread Beitrag #4.545
Mein Gefühl sagt mir jedenfalls deutlich, dass die Anzahl der korrigierbaren Fehler bei mir viel zu hoch ist.

Solange es zu den korrigierbaren Codewords keine unkorrigierbaren Codewords gibt, hat es keinen Einfluss auf den Durchsatz. Dafuer ist die FEC ja da.

Ich habe im KDG-Forum bereits einen Text dazu geschrieben: https://www.kdgforum.de/viewtopic.php?f=68&t=38748&p=613340#p613340

Er beginnt am Anfang mit dem D3.1 LDPC aber es kommt auch noch ein Teil zum alten SC-QAM FEC (die letzten beiden Absaetze).
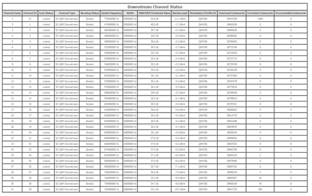
Naja, bei 34079 Codewords pro Sekunde und 1500 davon müssen korrigiert werden, ich weiß nicht so recht :kratz:
 
  • Technicolor TC4400 Docsis 3.1 Modem Info Thread Beitrag #4.546
Mein Gefühl sagt mir jedenfalls deutlich, dass die Anzahl der korrigierbaren Fehler bei mir viel zu hoch ist.

Solange es zu den korrigierbaren Codewords keine unkorrigierbaren Codewords gibt, hat es keinen Einfluss auf den Durchsatz. Dafuer ist die FEC ja da.

Ich habe im KDG-Forum bereits einen Text dazu geschrieben: https://www.kdgforum.de/viewtopic.php?f=68&t=38748&p=613340#p613340

Er beginnt am Anfang mit dem D3.1 LDPC aber es kommt auch noch ein Teil zum alten SC-QAM FEC (die letzten beiden Absaetze).
Naja, bei 34079 Codewords pro Sekunde und 1500 davon müssen korrigiert werden, ich weiß nicht so recht :kratz:
:kratz: Zweifelst Du jetzt gerade gelebte Technik (DVB-C, FEC RS 204/188) von ueber 25 Jahren an? Wenn von 34079 Codewords in der Sekunde 1500 korrigiert werden mussten und die FEC keine unkorrigierbaren Codewords meldet, dann hat das keinen Einfluss auf den Inhalt des uebertragenen MPEG-Transportstrom, weil alle Pakete fehlerfrei an die hoehere Instanz uebergeben worden sind.
 
  • Technicolor TC4400 Docsis 3.1 Modem Info Thread Beitrag #4.547
Da die Pegel am Übergabepunkt schon okay allerdings dürften sie etwas höher sein. Was jetzt möglich ist hängt vom verbauten VErstärker und der generellen Gesamtdämfung bis zu dir in die Wohnung ab? Wwas für ein Verstärker ist denn verbaut? Sicher ein 40dB Verstärker.

Aber machbar ist mit größter Wahrscheinlichkeit schon was, Du siehst ja am HUP ist der SNR ja sogar besser wie bei dir in der Wohnung! Daher gehe ich stark davon aus das da was ginge!

Also die Interstage-Entzerrung sollte wahrscheinlich auf 6db gesetzt sein und auch ansonsten die normale Entzerrung müsste noch etwas angepasst werden und dann denke ich sollte alles ziemlich gut hinzubekommen sein. Da darf aber leider nur ein Techniker von Unitymedia ran um das ganze neu zu pegeln, sind ja möglicherweise noch andere Leute von betroffen.

Ist ein 40dB Verstärker, ein Astro HL 433G. Und daran hängt nur eine ca. 15-20 Meter Leitung und eine 15dB 4 Loch Dose. Ist ein EFH, also sind keine andere Leute von betroffen. Ich werde später mal ein Bild davon schicken was so im Verstärker gesteckt ist.
 
  • Technicolor TC4400 Docsis 3.1 Modem Info Thread Beitrag #4.548
  • Technicolor TC4400 Docsis 3.1 Modem Info Thread Beitrag #4.549
Zweifelst Du jetzt gerade gelebte Technik (DVB-C, FEC RS 204/188) von ueber 25 Jahren an? Wenn von 34079 Codewords in der Sekunde 1500 korrigiert werden mussten und die FEC keine unkorrigierbaren Codewords meldet, dann hat das keinen Einfluss auf den Inhalt des uebertragenen MPEG-Transportstrom, weil alle Pakete fehlerfrei an die hoehere Instanz uebergeben worden sind.
Also, wenn die Anzahl der korrigierbaren Fehler völlig Hupe ist, dann frage ich mich immer noch, wo an meinem Anschluss diese hohen Latenzsprünge herrühren :kratz:
 
  • Technicolor TC4400 Docsis 3.1 Modem Info Thread Beitrag #4.550
Hallo Menano,

wie hast Du denn die Werte am HÜP gemessen? Hast Du das Kabel vom In-Eingang des Verstärkers abgemacht und dieses dann direkt ans Modem angeschlossen, oder hattest Du zufällig das Modem über die MP-IN-Buchse am Verstärker angeschlossen welche ja mit 20 db bedämpft ist?

Testweise könntest Du den Interstage Slope Stecker (grau) ganz oben rechts von jetzt 0db auf 7db umstecken!

Anstatt deiner jetzt verbauten MM-Dose mit 15db würde ich dir dann aber eher eine 10er oder 12er Dose empfehlen! Leider bräuchtest Du dann auch einen anderen Dämpfungspad für den Rückweg von derzeit 12db auf empfehlenswerte 20db, dein Powerlevel im Upload wäre dann bei ca. 41-43.
Deine Powerlevel-Pegel im Download sollten damit dann theoretisch bei + 3 bis + 7db liegen, hoffe ich doch mal. Und der SNR auf 770MHz auch etwas höher. Leider ist er am HÜP schon ziemlich niedrig.

Schau doch einfach mal ob sich was an den Werten ändert. Schlimmer wirds kaum. Und kannst es ja auch wieder zurückstecken. Würde mich wirklich interessieen dein Ergebnis.
 
Thema:

Technicolor TC4400 Docsis 3.1 Modem Info Thread

Technicolor TC4400 Docsis 3.1 Modem Info Thread - Ähnliche Themen

Netgear CM2000 (US Modem): Dank DOCSIS 3.1 und dem dortigen Wegfall der Unterscheidung zwischen DOCSIS und EuroDOCSIS sind einige Modems aus den USA durchaus im Vodafone...
Unitymedia Technicolor CGA4233 Docsis 3.1 Router Info Tread: Wie auch schon bei TC4400 dient dieser Thread zum Sammeln von Informationen zum Technicolor CGA4233. Default login: user / VTmgQapcEUaE Link zum...
Unitymedia Kabelmodem Arris CM8200B: Moin, Das Arris CM8200B wurde hier schon gelegentlich erwähnt, aber nie vertiefend. Da bei mir seit ein paar Tagen eines herumsteht starte ich...
Unitymedia Cisco EPC3208 verliert immer Verbindung -> Vodafone Station als Lösung? (DOCSIS 3.1 schuld?): Nabend! Ich habe seit 25.11. plötzlich ein massives Problem mit meinem Anschluß, und könnte etwas Aufklärung von Insidern brauchen bevor ich zur...
Unitymedia [Q] Probleme mit Bridge Network Model Virtualisierungsserver: Hallo! Ich habe eine Virtualisierungsplattform mit Web-Oberfläche (Proxmox VE 3.3) aufgesetzt und den Server direkt mit dem Kabel-Gateway TC7200...
Oben