• Kunden aus Hessen und Nordrhein-Westfalen können über die Rufnummer 0221 / 466 191 00 Hilfe bei allen Problemen in Anspruch nehmen.
    Kunden aus Baden-Württemberg können über die Rufnummer 0711 / 54 888 150 Hilfe bei allen Problemen in Anspruch nehmen.

Unitymedia Technicolor TC4400 Docsis 3.1 Modem Info Thread

Diskutiere Technicolor TC4400 Docsis 3.1 Modem Info Thread im Internet und Telefon über das TV-Kabelnetz Forum im Bereich Internet und Telefon; Verständlich. Denk nur mal dran beim nächsten Neustart.
  • Technicolor TC4400 Docsis 3.1 Modem Info Thread Beitrag #5.151
Verständlich. Denk nur mal dran beim nächsten Neustart.
 
  • Technicolor TC4400 Docsis 3.1 Modem Info Thread Beitrag #5.152
Bei mir gehts weiterhin nicht. Grade ausprobiert.
 
  • Technicolor TC4400 Docsis 3.1 Modem Info Thread Beitrag #5.153
Es gibt Modems, da geht es, aber es gibt auch Modems, da geht es nicht, dazu gehört das TC4400.
Ich hab hier z.B. ein anderes Docsis 3.0 Modem, da komme ich auch aus dem Netzwerk der Fritzbox heraus auf die 192.168.100.1
Beim TC4400 geht es aber definitiv nicht, nehme ich einen anderen Router (keine Fritzbox), geht es auch beim TC4400 :winken:
Es sind mehrere Voraussetzungen zu erfüllen:

1. Entweder Forwarding auf WAN-Interface ohne NAT (also mit der LAN-Source-IP-Adresse).
2. Oder Im Falle von NAT, muß die Absender-IP-Adresse stimmen (z. B. 192.168.100.x), mit der per DHCP zugeteilten WAN-IP-Adresse funktioniert es normalerweise nicht.

Ich lasse OpenWrt auf ein ungetaggtes VLAN-Interface z. B. auf 192.168.100/24 NATten, damit kommen alle Geräte klar, sogar der dumme VDSL-Speedport, der auf 169.254/16 im Modemmodus besteht. Da 169.254/16 (IPv4 link local) nicht routbar ist mußte ich sogar noch eine DNAT-Regel einrichten, um den Speedport (169.254.2.1) auf eine kanonische LAN-Adresse (192.168.2.1) zu mappen. Hier wird also zweimal geNATtet: Absender- und Zieladresse. Und alles nur, um den Sync zu sehen. :D Das Ganze übersteigt natürlich die Fähigkeiten von Fritzboxen bei weitem.
 
  • Technicolor TC4400 Docsis 3.1 Modem Info Thread Beitrag #5.155
Verständlich. Denk nur mal dran beim nächsten Neustart.

Habe gerade mal alles neugestartet weil gerade das Internet sowieso nicht ging und niemand arbeiten konnte. Ich komme auch nach einem Neustart noch über 192.168.100.1 auf das TC4400.
 
  • Technicolor TC4400 Docsis 3.1 Modem Info Thread Beitrag #5.156
Wenn wir gerade bei dem Thema sind:

Ich nutze das TC4400 aus erster Charge und nen Asus RT-AC86U mit neuester Merlin Firmware und bekomme keine Verbindung zur 192.168.100.1.

Hab die statischen Routen schon gefunden, bekomms aber nicht hin, kann mir wer helfen ? Der Router läuft unter 192.168.0.1 falls das interessant ist.

Ich komme aufs Modem zur Zeit nur über die 10er ip.
 
  • Technicolor TC4400 Docsis 3.1 Modem Info Thread Beitrag #5.157
Hab die statischen Routen schon gefunden, bekomms aber nicht hin, kann mir wer helfen ? Der Router läuft unter 192.168.0.1 falls das interessant ist.

ist es vielleicht ein Problem mit ARP Request/Reply?

Ich hatte beispielsweise schon mal ein Modem von Vodafone, das hat schlicht auf einen ARP Request nicht geantwortet.

Man musste zusaetzlich zur statischen Route also auch noch einen statischen ARP entry anlegen :smile: unglaublich.

am besten mal mit tcpdump o.ae. anschauen was passiert...
 
  • Technicolor TC4400 Docsis 3.1 Modem Info Thread Beitrag #5.158
Habe gerade mal alles neugestartet weil gerade das Internet sowieso nicht ging und niemand arbeiten konnte. Ich komme auch nach einem Neustart noch über 192.168.100.1 auf das TC4400.
Dann wurde das in der 33er FW wohl gefixt
 
  • Technicolor TC4400 Docsis 3.1 Modem Info Thread Beitrag #5.159
ist es vielleicht ein Problem mit ARP Request/Reply?

Ich hatte beispielsweise schon mal ein Modem von Vodafone, das hat schlicht auf einen ARP Request nicht geantwortet.

Man musste zusaetzlich zur statischen Route also auch noch einen statischen ARP entry anlegen :smile: unglaublich.

am besten mal mit tcpdump o.ae. anschauen was passiert...

Also ich bin in der Materie nicht so bewandert. Ich hatte mal nen Netgear Router hier, dort kam ich problemlos auf die 192.168.100.1. Jetzt mit dem Asus scheint es auf Anhieb, ähnlich wie bei der Fritzbox nicht zu laufen.

Ich kann folgendes einstellen, was müsste ich wie eingeben? Hatte es wie folgt, so läuft es nicht:
 

Anhänge

  • 1.png
    1.png
    28,9 KB · Aufrufe: 726
  • Technicolor TC4400 Docsis 3.1 Modem Info Thread Beitrag #5.160
@Andreas, ja habe noch die 20er Firmware
 
  • Technicolor TC4400 Docsis 3.1 Modem Info Thread Beitrag #5.162
Verständlich. Denk nur mal dran beim nächsten Neustart.

Habe gerade mal alles neugestartet weil gerade das Internet sowieso nicht ging und niemand arbeiten konnte. Ich komme auch nach einem Neustart noch über 192.168.100.1 auf das TC4400.

Alles, auch das TC4400 neu gestartet? Weil wenn das bootet, macht es ja kurz DHCP und würde der Fritzbox daher das 192.168.100.0/24 Netz mitteilen. Ich bezog mich darauf, wenn nur die Fritzbox neugestartet wird.
 
  • Technicolor TC4400 Docsis 3.1 Modem Info Thread Beitrag #5.163
Alles, auch das TC4400 neu gestartet? Weil wenn das bootet, macht es ja kurz DHCP und würde der Fritzbox daher das 192.168.100.0/24 Netz mitteilen. Ich bezog mich darauf, wenn nur die Fritzbox neugestartet wird.

Funktioniert auch wenn nur die Fritzbox oder nur das TC4400 neugestartet wird.
 
  • Technicolor TC4400 Docsis 3.1 Modem Info Thread Beitrag #5.164
  • Technicolor TC4400 Docsis 3.1 Modem Info Thread Beitrag #5.165
Was muss denn unter Gateway eingetragen sein? Ich hab da die IP der Fritz eingetragen.
Das wäre laut dem Beispiel von Menano korrekt.
Wird aber mit der 20er FW nicht funktionieren, den Versuch hatte ich damals auch schon gemacht.
Da ja ohnehin irgendwann alle auf die 33er Labor updaten müssen, wird es ja dann über kurz oder lang bei allen funktionieren :zwinker:
 
  • Technicolor TC4400 Docsis 3.1 Modem Info Thread Beitrag #5.166
  • Technicolor TC4400 Docsis 3.1 Modem Info Thread Beitrag #5.167
  • Technicolor TC4400 Docsis 3.1 Modem Info Thread Beitrag #5.168
UPDATE:
Ich habe die statische Route zum Laufen bekommen.

Wie hast du diese Route gespeichert?
Meine FritzBox weigert sich...

Edit: Mein Fehler...

Ich komme jetzt auch aus dem Heimnetz auf das Webinterface :)
Damit sollte es auch gehen, nur läuft die 40er nicht stabil, die ist buggy. Besser ist die 33er Labor :winken:

Wieso ist die nicht stabil?
Die läuft bei mir seit August 2018 und läuft :)
Eine neuere gibt es aktuell nicht oder?


So sieht es nach 17 Stunden Betrieb aus...
Ich glaube da stimmt was nicht.
Das dürfte die Probleme in letzter Zeit erklären :hammer:
4rbsTwj.png
 
  • Technicolor TC4400 Docsis 3.1 Modem Info Thread Beitrag #5.170
Hm, dann liegts wohl echt an der 20er Firmware. Nun brauch ich tobsen für das Firmware Update auf die 33er! :D
 
  • Technicolor TC4400 Docsis 3.1 Modem Info Thread Beitrag #5.171
  • Technicolor TC4400 Docsis 3.1 Modem Info Thread Beitrag #5.173
Temperaturprobleme, wird falsch interpretiert und Modem kann unerwartet aussteigen.

Meins steht schräg hinter einem Schrank und wird nicht heiß.
Und Aussetzer hatte ich auch noch keine bzw die aktuellen würde ich eher auf die unkorrigierbaren Fehler schieben.
Wäre mal interessant wie es mit einem anderen Modem aussieht.
Ich hab aktuell aber keine Lust ein anderes provisonieren zu lassen :wand:
Hat man Dir jetzt auch ein Casa untergejubelt :kratz:

Laut CMTS Mac ist es Cadant also Arris.
Da dürfte es eine andere Ursache geben.
Ich freue mich schon auf die Diskussionen mit der Hotline (eigenes Modem ... kostenpflichtig wenn Ihr Verschulden ... bla bla bla)
 
  • Technicolor TC4400 Docsis 3.1 Modem Info Thread Beitrag #5.174
Hm, dann liegts wohl echt an der 20er Firmware. Nun brauch ich tobsen für das Firmware Update auf die 33er! :D

Werner Electronic bietet für das TC4400 ein Firmwareupdate an, auch wenn Du es nicht bei ihm gekauft hast. Einfach mal anschreiben.
 
  • Technicolor TC4400 Docsis 3.1 Modem Info Thread Beitrag #5.175
Hm, dann liegts wohl echt an der 20er Firmware. Nun brauch ich tobsen für das Firmware Update auf die 33er! :D

Werner Electronic bietet für das TC4400 ein Firmwareupdate an, auch wenn Du es nicht bei ihm gekauft hast. Einfach mal anschreiben.

Danke, behalte ich mal im Hinterkopf. Falls es irgendwann nach der Vereinigung mit Vodafone tatsächlich nicht mehr geht. Keine Lust auf eine Woche offline :D

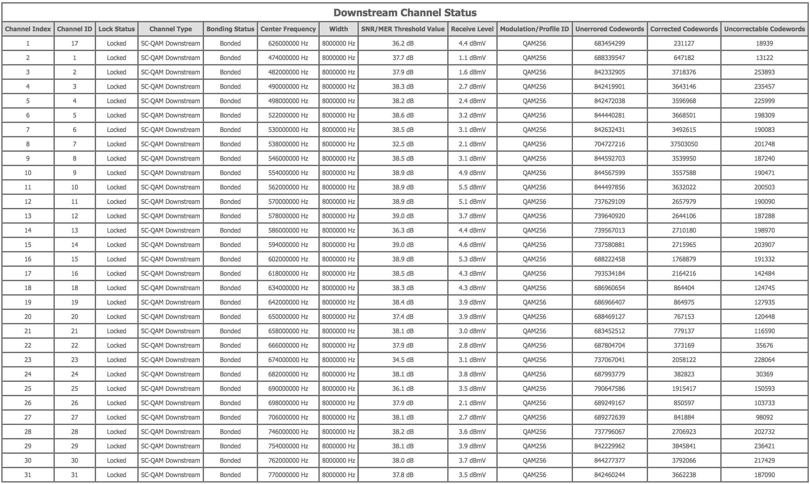
Sieht man in meiner Channelleiste einen Docsis 3.1 Kanal? Evtl. Kanal 33? Bei mir wäre anscheinend 1 GBit verfügbar.
 

Anhänge

  • channels.png
    channels.png
    125,2 KB · Aufrufe: 486
Thema:

Technicolor TC4400 Docsis 3.1 Modem Info Thread

Technicolor TC4400 Docsis 3.1 Modem Info Thread - Ähnliche Themen

Netgear CM2000 (US Modem): Dank DOCSIS 3.1 und dem dortigen Wegfall der Unterscheidung zwischen DOCSIS und EuroDOCSIS sind einige Modems aus den USA durchaus im Vodafone...
Unitymedia Technicolor CGA4233 Docsis 3.1 Router Info Tread: Wie auch schon bei TC4400 dient dieser Thread zum Sammeln von Informationen zum Technicolor CGA4233. Default login: user / VTmgQapcEUaE Link zum...
Unitymedia Kabelmodem Arris CM8200B: Moin, Das Arris CM8200B wurde hier schon gelegentlich erwähnt, aber nie vertiefend. Da bei mir seit ein paar Tagen eines herumsteht starte ich...
Unitymedia Cisco EPC3208 verliert immer Verbindung -> Vodafone Station als Lösung? (DOCSIS 3.1 schuld?): Nabend! Ich habe seit 25.11. plötzlich ein massives Problem mit meinem Anschluß, und könnte etwas Aufklärung von Insidern brauchen bevor ich zur...
Unitymedia [Q] Probleme mit Bridge Network Model Virtualisierungsserver: Hallo! Ich habe eine Virtualisierungsplattform mit Web-Oberfläche (Proxmox VE 3.3) aufgesetzt und den Server direkt mit dem Kabel-Gateway TC7200...
Oben