• Kunden aus Hessen und Nordrhein-Westfalen können über die Rufnummer 0221 / 466 191 00 Hilfe bei allen Problemen in Anspruch nehmen.
    Kunden aus Baden-Württemberg können über die Rufnummer 0711 / 54 888 150 Hilfe bei allen Problemen in Anspruch nehmen.

Unitymedia Technicolor TC4400 Docsis 3.1 Modem Info Thread

Diskutiere Technicolor TC4400 Docsis 3.1 Modem Info Thread im Internet und Telefon über das TV-Kabelnetz Forum im Bereich Internet und Telefon; So 8-9 W.
  • Technicolor TC4400 Docsis 3.1 Modem Info Thread Beitrag #6.251
So 8-9 W.
 
  • Technicolor TC4400 Docsis 3.1 Modem Info Thread Beitrag #6.254
wie wird Volllast beim TC4400 ueberhaupt erreicht? Durch Beaufschlagen mit maximal korrigierbarer Fehlerrate bei maximalem Durchsatz?

eigentlich muesste man doch die Chipsaetze und die Firmware genau kennen um das vernueftig beantworten zu koennen...
 
  • Technicolor TC4400 Docsis 3.1 Modem Info Thread Beitrag #6.255
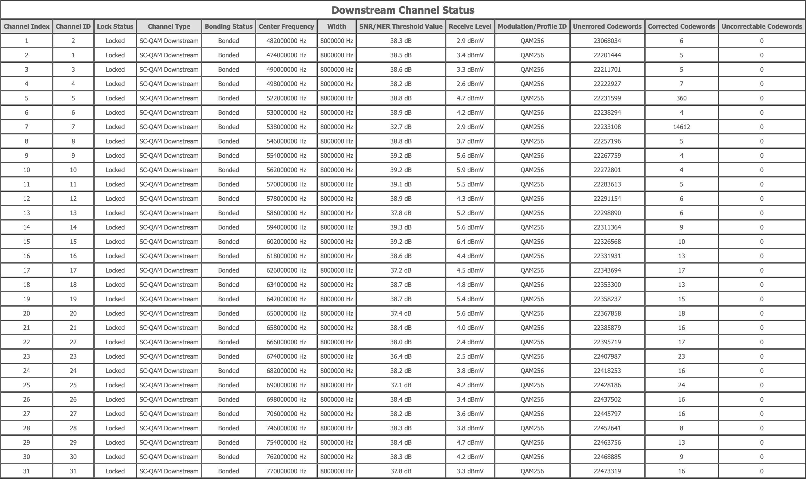
Seit heute früh um 8 Uhr habe ich Probleme mit dem Download und seit 11 Uhr auch mit dem Upload.
Download schafft es mit Mühe mal auf 300 Mbits und Upload verhungert bei 1 bis 2 Mbits.
Kanalwerte sind bis auf Kanal 7 (538 MHz) alle ok...

R6Aii4m.png


hckt5uj.png


FiUuFgl.png
 
  • Technicolor TC4400 Docsis 3.1 Modem Info Thread Beitrag #6.256
Vielleicht findet da schon die Migration auf den VF Backbone statt, dann wird das in Zukunft wohl eher die Normalität sein :mussweg:
 
  • Technicolor TC4400 Docsis 3.1 Modem Info Thread Beitrag #6.257
Es wird noch besser :zerstör:
Hab bei der Hotline angerufen und wollte eine Störung melden.
Ich soll bitte einen Speedtest bei Unitymedia durchführen damit die Dame Zugriff auf die Daten hat.
Hab gesagt das der Speedtest abbricht und nicht gespeichert wird.
Sie meint ich soll den Speedtest jetzt und in 5 Stunden erneut durchführen damit ich eine Störung melden kann.
Dann hab ich Ihr nochmal erklärt das der Speedtest nicht durchgeführt werden kann.
Sie hat dann versucht eine Störung einzugeben und laut Ihrer Aussage war das nicht möglich.
Da fühlt man sich doch glatt verarscht, um eine Störung zu melden muss der Anschluss also funktionieren.
Die Dame hat dann (angeblich) einen Klärungsfall eingeleitet.
Was mit Klärungsfällen passiert weiß ich ja bereits, NICHTS.

In der Zwischenzeit habe ich meinen Kollegen kontaktiert.
Laut seiner Aussage gibt es vermutlich eine Einstrahlung am Node.

Die Werte an meinem Node:
8FAYKm2.jpg


Die Werte eines anderen Nodes:
Ok6sC46.jpg


Nach Rücksprache mit dem NOC wurde ein Ticket erzeugt und eine Dämpfung gesetzt.
Zumindest ist es auf meiner Seite wieder gut.
Das NOC darf laut neuer Anweisung keine Tickets mehr erzeugen oder Störungen bearbeiten, wenn kein Ticket von einem Kunden vorliegt.
Nur wie soll ich ein Ticket erzeugen wenn die Hotline dafür einen Speedtest braucht :wand:

Mein Kollege meinte noch das in der Techniker zurzeit sehr wenig los ist und es immer wenige Aufträge werden.
Klingt für mich schon nach einem System.
Kunden rufen die Hotline an, wollen eine Störung melden und können nicht weil der Speedtest nicht funktioniert.
 
  • Technicolor TC4400 Docsis 3.1 Modem Info Thread Beitrag #6.258
Volllast hätte man doch erst mit 32 EuroDOCSIS 3.0 Kanälen + 2x2 OFDM-Blöcken bei 2/2Gbit/s Durchsatz. Ich denke nicht, dass Du das getestet hast...

Das konnte die CT dann aber auch nicht testen.
Volllast: 32 euroDOCSIS 3.0 + 1 OFDM DS und 4 3.0 US mit einem 200/50 Tarif. Glaube kaum das für das Gigabit so viel mehr verbraucht wird. Den Verbrauch misst man ja auch nur, um ihn mit anderen Geräten zu vergleichen. Glaube kaum das irgendein VF Gerät im Bridgemode oder die UM Connectbox weniger verbraucht.
 
  • Technicolor TC4400 Docsis 3.1 Modem Info Thread Beitrag #6.259
Das NOC darf laut neuer Anweisung keine Tickets mehr erzeugen oder Störungen bearbeiten, wenn kein Ticket von einem Kunden vorliegt.
Nur wie soll ich ein Ticket erzeugen wenn die Hotline dafür einen Speedtest braucht

Mein Kollege meinte noch das in der Techniker zurzeit sehr wenig los ist und es immer wenige Aufträge werden.
Klingt für mich schon nach einem System.
Kunden rufen die Hotline an, wollen eine Störung melden und können nicht weil der Speedtest nicht funktioniert.
Das sind schon die neuen VF Marotten :kiss:
 
  • Technicolor TC4400 Docsis 3.1 Modem Info Thread Beitrag #6.260
Ich bekomme seit einiger Zeit ganzt oft diese Meldung:
"RNG-RSP CCAP Commanded Power in Excess of 6 dB Below the Value Corresponding to the Top of the...

Was genau bedeutet die?
 
  • Technicolor TC4400 Docsis 3.1 Modem Info Thread Beitrag #6.261
Dass die Schräglage zu hoch ist. Macht nix.
 
  • Technicolor TC4400 Docsis 3.1 Modem Info Thread Beitrag #6.262
Dass die Schräglage zu hoch ist. Macht nix.

Die Meldung kommt auf Grund des Upstreams. Wenn die Pegel aller US-Kanäle insgesamt mehr als 12db Unterschied aufweisen, kommt es zu der Meldung (Die Grenzen des DRW (Dynamic Range Window) liegen i.d.R. 6db über und 6db unter dem aktuellen Mittelwert der Kanäle). Das kann auf Grund von Problemen / Einstrahlungen bzw. schlecht verarbeiteten Steckern/Kabeln, einem defekten Modem oder einem defekten Bauteil (Verstärker, Tab etc) kommen.
 
  • Technicolor TC4400 Docsis 3.1 Modem Info Thread Beitrag #6.263
Jetzt auch noch das hier:
https://www.golem.de/news/drei-jahre-routerfreiheit-vodafone-kritisiert-nutzer-mit-eigenem-router-1908-142996.html
 
  • Technicolor TC4400 Docsis 3.1 Modem Info Thread Beitrag #6.264
Ja ja, Vodafone wird uns noch einige Fallstricke knüpfen.
 
  • Technicolor TC4400 Docsis 3.1 Modem Info Thread Beitrag #6.265
Ja ja, Vodafone wird uns noch einige Fallstricke knüpfen.
Ja, zumindest die 20er FW, bzw. alles unter der 33er Lab. wird sich beim TC4400 irgendwann zum Problem entwickeln.
 
  • Technicolor TC4400 Docsis 3.1 Modem Info Thread Beitrag #6.266
bis vor kurzem haben sich die Kabelanbieter noch damit geruehmt, dass es keine nennenswerte Zahl von Benutzern mit eigener Hardware gaebe.

und jetzt haben sie immerhin schon geschnallt, dass sie die wachsende Zahl an Benutzern mit der boesen eigenen Hardware nicht mehr einfach ignorieren koennen :brüll:
 
  • Technicolor TC4400 Docsis 3.1 Modem Info Thread Beitrag #6.267
bis vor kurzem haben sich die Kabelanbieter noch damit geruehmt, dass es keine nennenswerte Zahl von Benutzern mit eigener Hardware gaebe.

und jetzt haben sie immerhin schon geschnallt, dass sie die wachsende Zahl an Benutzern mit der boesen eigenen Hardware nicht mehr einfach ignorieren koennen :brüll:
Dann sollen sie doch die nötigen Updates verteilen.
Es dürfte für VF ein leichtes sein, an die nötigen Updates von TC und Arris heranzukommen und die mal eben auf die Kundeneigenen Geräte draufzubügeln. :winken:
 
  • Technicolor TC4400 Docsis 3.1 Modem Info Thread Beitrag #6.268
wenn die Kunden so einem Update zustimmen (z.B. durch Ankreuzen einer entsprechenden Checkbox bei der Provisionierung), dann immer gerne. Ansonsten sollen die Provider von der Firmware kundeneigener Geraete gefaelligst ihre Finger lassen.
 
  • Technicolor TC4400 Docsis 3.1 Modem Info Thread Beitrag #6.269
wenn die Kunden so einem Update zustimmen (z.B. durch Ankreuzen einer entsprechenden Checkbox bei der Provisionierung), dann immer gerne
Genau :super:
Und wenn sie es nicht machen wollen, sollen sie sich auch nicht beschweren und die Klappe halten :streber:
 
  • Technicolor TC4400 Docsis 3.1 Modem Info Thread Beitrag #6.270
Jetzt auch noch das hier:
https://www.golem.de/news/drei-jahre-routerfreiheit-vodafone-kritisiert-nutzer-mit-eigenem-router-1908-142996.html
50 unterschiedliche Gerätetypen? Mir fallen nicht mal 10 ein: 4 Fritzboxen, TC4400, CM8200B, TM3402. Was sind die anderen 43?
 
  • Technicolor TC4400 Docsis 3.1 Modem Info Thread Beitrag #6.271
Hi,

ihr habt noch die Cisco Kabelmodems und -router vergessen ;) Das sind auch noch ein paar.
Bin mal gespannt, wann VF KD endlich die EuroDOCSIS 3.0 Geräte mit gebuchtem Gigabit-Tarif rauswirft :mussweg:
 
  • Technicolor TC4400 Docsis 3.1 Modem Info Thread Beitrag #6.272
Genau, und neben den alten Ciscos gibt es auch noch verschiedene alte Thomsons, auch mit nur 8x4 Kanälen.
Die wollte mir Optiwella mal in Massen für unter 10€ pro Stück andrehen, als ich da mal wegen reinen Modems angefragt hatte.
 
  • Technicolor TC4400 Docsis 3.1 Modem Info Thread Beitrag #6.273
Hi,

ihr habt noch die Cisco Kabelmodems und -router vergessen ;) Das sind auch noch ein paar.
Bin mal gespannt, wann VF KD endlich die EuroDOCSIS 3.0 Geräte mit gebuchtem Gigabit-Tarif rauswirft :mussweg:

Können sie doch nicht, da sie nicht mal sehen was für ein Gerät es ist, da sie SNMP deaktivieren und sich somit selbst aussperren.
 
  • Technicolor TC4400 Docsis 3.1 Modem Info Thread Beitrag #6.274
Können sie doch nicht, da sie nicht mal sehen was für ein Gerät es ist, da sie SNMP deaktivieren und sich somit selbst aussperren.
Man braucht aber gar kein SNMP, um an die Informationen heranzukommen. Und Vodafone Kabel kann das ja über sein Aktivierungsportal regeln, wo bekanntermaßen sehr genau auf das Modem geschaut wird...
 
  • Technicolor TC4400 Docsis 3.1 Modem Info Thread Beitrag #6.275
Bin mal gespannt, wann VF KD endlich die EuroDOCSIS 3.0 Geräte mit gebuchtem Gigabit-Tarif rauswirft :mussweg:
Rauswerfen ist eigentlich nicht nötig, man kann ja die Provisionierung auf den maximalen für den "Gerätetyp" vorgesehenen Tarif beschränken, d.h. 32x8 EuroDOCSIS 3.0 Kabelmodems bekommen max. die 500/50er config.
 
Thema:

Technicolor TC4400 Docsis 3.1 Modem Info Thread

Technicolor TC4400 Docsis 3.1 Modem Info Thread - Ähnliche Themen

Netgear CM2000 (US Modem): Dank DOCSIS 3.1 und dem dortigen Wegfall der Unterscheidung zwischen DOCSIS und EuroDOCSIS sind einige Modems aus den USA durchaus im Vodafone...
Unitymedia Technicolor CGA4233 Docsis 3.1 Router Info Tread: Wie auch schon bei TC4400 dient dieser Thread zum Sammeln von Informationen zum Technicolor CGA4233. Default login: user / VTmgQapcEUaE Link zum...
Unitymedia Kabelmodem Arris CM8200B: Moin, Das Arris CM8200B wurde hier schon gelegentlich erwähnt, aber nie vertiefend. Da bei mir seit ein paar Tagen eines herumsteht starte ich...
Unitymedia Cisco EPC3208 verliert immer Verbindung -> Vodafone Station als Lösung? (DOCSIS 3.1 schuld?): Nabend! Ich habe seit 25.11. plötzlich ein massives Problem mit meinem Anschluß, und könnte etwas Aufklärung von Insidern brauchen bevor ich zur...
Unitymedia [Q] Probleme mit Bridge Network Model Virtualisierungsserver: Hallo! Ich habe eine Virtualisierungsplattform mit Web-Oberfläche (Proxmox VE 3.3) aufgesetzt und den Server direkt mit dem Kabel-Gateway TC7200...
Oben