• Kunden aus Hessen und Nordrhein-Westfalen können über die Rufnummer 0221 / 466 191 00 Hilfe bei allen Problemen in Anspruch nehmen.
    Kunden aus Baden-Württemberg können über die Rufnummer 0711 / 54 888 150 Hilfe bei allen Problemen in Anspruch nehmen.

Unitymedia Technicolor TC4400 Docsis 3.1 Modem Info Thread

Diskutiere Technicolor TC4400 Docsis 3.1 Modem Info Thread im Internet und Telefon über das TV-Kabelnetz Forum im Bereich Internet und Telefon; Herzlichen Dank für eure schellen Antworten. Dann werde ich mal optimistisch ins kalte Wasser springen ... ich werde berichten.
  • Technicolor TC4400 Docsis 3.1 Modem Info Thread Beitrag #6.326
Herzlichen Dank für eure schellen Antworten. Dann werde ich mal optimistisch ins kalte Wasser springen ... ich werde berichten.
 
  • Technicolor TC4400 Docsis 3.1 Modem Info Thread Beitrag #6.327
Wenn er aus Frankfurt am Main kommt wunderts nicht sehr .. war ja noch ein richtiges D 3.1 ausbau gebiet
 
  • Technicolor TC4400 Docsis 3.1 Modem Info Thread Beitrag #6.328
Wenn er aus Frankfurt am Main kommt wunderts nicht sehr .. war ja noch ein richtiges D 3.1 ausbau gebiet
Meinst Du, da wurde noch richtig was am Netz gemacht und in den anderen Gebieten jetzt nach VF Manier einfach nur noch der OFDM Block stumpf aufgeschaltet :kratz:
 
  • Technicolor TC4400 Docsis 3.1 Modem Info Thread Beitrag #6.329
Ja, bin aus Frankfurt am Main. An meinem Anschluss ist offiziell GBit verfügbar. Vermute mal, dass UM das nur anbietet wenn der OFDM Block sauber eingestellt ist?
 
  • Technicolor TC4400 Docsis 3.1 Modem Info Thread Beitrag #6.330
Ist überall gleich. Wenn die CMTS und Nodes passen und es wirtschaftlich ist, wird OFDM geschaltet. Als nächstes Münster, Karlsruhe, Stuttgart, Ulm.
 
  • Technicolor TC4400 Docsis 3.1 Modem Info Thread Beitrag #6.331
Wie ist das überhaupt wenn bei dem QFDM-Kanal unter Profil-ID nur eine 0 angezeigt wird? Ist er dann zwar aufgeschaltet aber noch nicht aktiv, oder? Habe bei anderen Usern hier im Forum schon 0,1,2 als Proril-ID Anzeige gesehen ...
 
  • Technicolor TC4400 Docsis 3.1 Modem Info Thread Beitrag #6.332
0 ist QAM256.
 
  • Technicolor TC4400 Docsis 3.1 Modem Info Thread Beitrag #6.333


Was ich aber nicht ganz verstehe ist, dass bei mir generell nur 0 angezeigt wird in der Übersicht und bei anderen Usern ja 0,1 und auch 2 noch zur Auswahl steht!
Klar momentan mit meinem SNR von 29 ist wahrscheinlich auch nicht mehr drin wie QAM256 aif dem QFD;-Kanal. Hatte aber vor 2 Wochen noch bessere Werte mit SNR von knapp 34 und auch zum dortigen Zeitpunkt gab es nur die Profil-ID 0!
 
  • Technicolor TC4400 Docsis 3.1 Modem Info Thread Beitrag #6.334
Bei Dir ist bisher nur diese Modulation aktiviert. Die weiteren folgen wenn der OFDM auf allen Nodes aktiv ist und keine Fehler mehr auflaufen.
 
  • Technicolor TC4400 Docsis 3.1 Modem Info Thread Beitrag #6.335
Bei Dir ist bisher nur diese Modulation aktiviert. Die weiteren folgen wenn der OFDM auf allen Nodes aktiv ist und keine Fehler mehr auflaufen.


Okay, danke Dir für diese hilfreiche Aussage! :) Hoffe dass dann hier nochmals nachgebessert wird am Pegel dass dieser dann im ählichen Bereich liegt wie die anderen Docsis 3.0 Kanäle ( alle zwischen -2 bis -4db) und der Docsis 3.1 Kanal nicht wie jetzt bei -10dB bleiben wird.
 
  • Technicolor TC4400 Docsis 3.1 Modem Info Thread Beitrag #6.336
  • Technicolor TC4400 Docsis 3.1 Modem Info Thread Beitrag #6.337
Der OFDM ist immer etwa 3-5 dBmV schwächer als die SC-QAM. Hier muss ggfs. die Hausanlage frisch eingemessen werden.
 
  • Technicolor TC4400 Docsis 3.1 Modem Info Thread Beitrag #6.339
Ggfls hochkant, bzw drum herum frei, so daß kein Wärmestau entsteht. Und nicht auf/unter Router o.ä.

Wollte mich nur mal für diesen Tipp bedanken!
Hatte das Glück ein TC4400 aus unserer Firma übernehmen zu können und hatte mich immer gewundert, warum das Gerät nur die vollen Download-Raten erreicht hat, wenn das Modem 5 Minuten stromlos war.
Habe mich längere Zeit damit abgefunden, weil die Leitung dafür äußerst stabil lief, im Vergleich zu ConnectBox / FritzBox.
Es hat sich herausgestellt, dass es einfach abgekühlt war und nach wenigen Minuten das Thermal Throttling eingesetzt hat. Dachgeschoss...

Seit das Gerät hochkant steht, scheint die passive Belüftung auszureichen, das Throttling nicht mehr zu provozieren.

Ist das ein Bug der Firmware oder wird das Modem wirklich so heiß?
 
  • Technicolor TC4400 Docsis 3.1 Modem Info Thread Beitrag #6.340
Meins war früher zwischen zwei Geräten gelegen jnd hatte nie Probleme.
 
  • Technicolor TC4400 Docsis 3.1 Modem Info Thread Beitrag #6.341
Es gibt eine Firmware mit Problemen des Thermal Throttling... ich weiß aber nicht welche.
 
  • Technicolor TC4400 Docsis 3.1 Modem Info Thread Beitrag #6.343
Ich bins nochmal wegen dem OFDM-Kanal:

Meint Ihr dies wird nochmals nachgebessert von Unitymedia? Ich finde den Pegelunterschied zu den QAM256 Kanälen halt schon ziemlich krass ... Im Schnitt zwischen -8 bis -10dB! Kann es eventuell sein dass der OFDM Kanal hier generell zu schwach ins Netz eingespeist wird, denn ich kann mir sonst diese große Differenz nicht erklären. Ich vermute daher dass es von ausserhalb kommen muss, man diesen Pegelunterschied eben nich mit einer Neueinpegelung des Hausanschlussverstärkers beheben kann.

nezcqujm.png
 
  • Technicolor TC4400 Docsis 3.1 Modem Info Thread Beitrag #6.344
Das Thema OFDM kannst du vergessen bis Gigabit offiziell bei dir vermarktet wird.
Vorher wirst du über die Technik keine Lösung erhalten.
 
  • Technicolor TC4400 Docsis 3.1 Modem Info Thread Beitrag #6.345
Sieht eh komisch aus, 24 D3.0 Kanäle und zusätzlich OFDM aufgeschaltet :kratz:
Hab ich so bisher nirgends gesehen :traurig:
 
  • Technicolor TC4400 Docsis 3.1 Modem Info Thread Beitrag #6.346
Sieht eh komisch aus, 24 D3.0 Kanäle und zusätzlich OFDM aufgeschaltet :kratz:
Hab ich so bisher nirgends gesehen :traurig:

Hatte ja vor gut nem Jahr mal noch 31 Docsis 3.0 Kanäle, allerdings waren es dann von einem auf den anderen Tag nur noch eben diese 24! Sieht mir fast so aus als ob das CMTS-seitig so festgelegt wurde zwecks der Kanalvergabe/Netzauslastung etc. Und das CMTS war schon immer auch das gleiche ein Arris.
 
  • Technicolor TC4400 Docsis 3.1 Modem Info Thread Beitrag #6.347
Hatte ja vor gut nem Jahr mal noch 31 Docsis 3.0 Kanäle, allerdings waren es dann von einem auf den anderen Tag nur noch eben diese 24! Sieht mir fast so aus als ob das CMTS-seitig so festgelegt wurde zwecks der Kanalvergabe/Netzauslastung etc. Und das CMTS war schon immer auch das gleiche ein Arris.
Sieht mir eher wie ne Fehlkonfiguration des CMTS aus.
 
  • Technicolor TC4400 Docsis 3.1 Modem Info Thread Beitrag #6.348
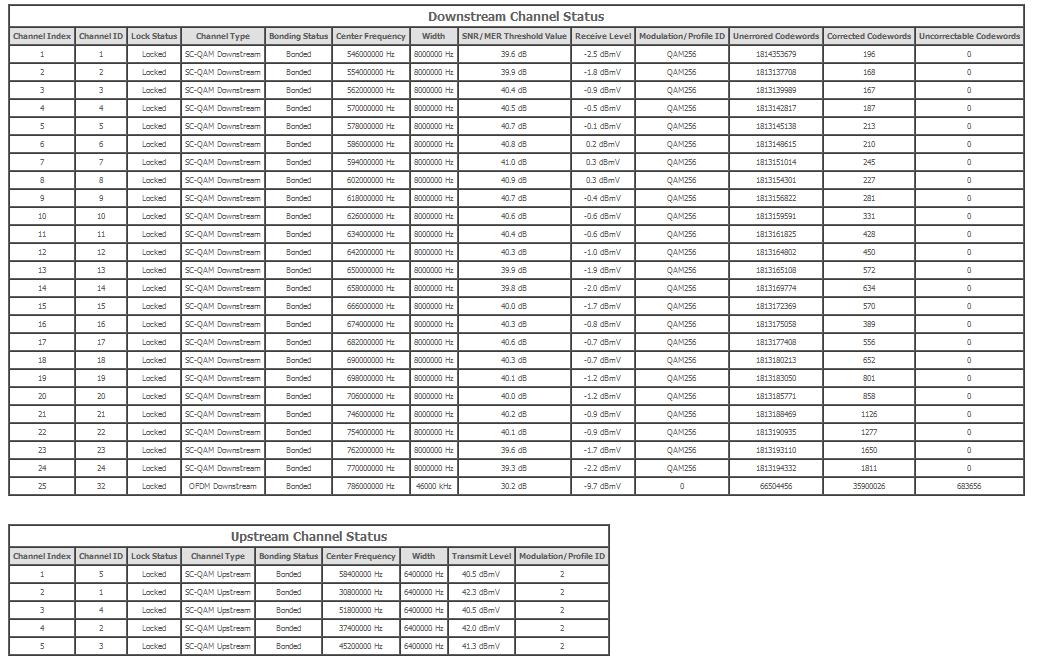
Es wurden die MMD, der Verstärker und der Abzweiger getauscht. Dazu noch neue Modemkabel angeklemmt und alles neu eingepegelt. Anbei die neuen Werte vom Modem. Nach nun 17h Uptime noch kein einziger uncorrectable Fehler :super:

Nach mittlerweile 12 Tagen Uptime zeigt das Modem immer noch 0 Uncorrebtales auf den 24 Kanälen. Ich bin erstaunt, was plötzlich nicht alles geht :super:

Auch die Leitung ist sehr stabil.
 

Anhänge

  • DS.JPG
    DS.JPG
    201,1 KB · Aufrufe: 359
  • US.JPG
    US.JPG
    45 KB · Aufrufe: 356
  • Technicolor TC4400 Docsis 3.1 Modem Info Thread Beitrag #6.349
Sieht eh komisch aus, 24 D3.0 Kanäle und zusätzlich OFDM aufgeschaltet :kratz:
Hab ich so bisher nirgends gesehen :traurig:

Hatte ja vor gut nem Jahr mal noch 31 Docsis 3.0 Kanäle, allerdings waren es dann von einem auf den anderen Tag nur noch eben diese 24! Sieht mir fast so aus als ob das CMTS-seitig so festgelegt wurde zwecks der Kanalvergabe/Netzauslastung etc. Und das CMTS war schon immer auch das gleiche ein Arris.

Kann auch sein dass bestimmte Frequenzen derart gestört waren, dass man sie deaktiviert hat. Wird durchaus mal gemacht.
 
  • Technicolor TC4400 Docsis 3.1 Modem Info Thread Beitrag #6.350
Moin,
Geplante Wartungsarbeiten Raum Mannheim
Wo? Raum Mannheim
Wann? Am 15.08.2019, zwischen 00:00 und 06:00 Uhr

Sie müssen nicht vor Ort sein.

Es kann zu Beeinträchtigungen Ihrer Unitymedia Dienste kommen, die maximal
30 Minuten andauern werden. Danach funktioniert alles wieder wie gewohnt.

Für Notrufe nutzen Sie in dieser Zeit bitte den Mobilfunk.
.

Hoffen wir mal, dass nichts verschlimmbessert wird, aber 30 Minuten klingen ja eher nach keinen großen Änderungen. Ich berichte dann mal morgen früh. :kafffee:
Grüße
Nils
 
Thema:

Technicolor TC4400 Docsis 3.1 Modem Info Thread

Technicolor TC4400 Docsis 3.1 Modem Info Thread - Ähnliche Themen

Netgear CM2000 (US Modem): Dank DOCSIS 3.1 und dem dortigen Wegfall der Unterscheidung zwischen DOCSIS und EuroDOCSIS sind einige Modems aus den USA durchaus im Vodafone...
Unitymedia Technicolor CGA4233 Docsis 3.1 Router Info Tread: Wie auch schon bei TC4400 dient dieser Thread zum Sammeln von Informationen zum Technicolor CGA4233. Default login: user / VTmgQapcEUaE Link zum...
Unitymedia Kabelmodem Arris CM8200B: Moin, Das Arris CM8200B wurde hier schon gelegentlich erwähnt, aber nie vertiefend. Da bei mir seit ein paar Tagen eines herumsteht starte ich...
Unitymedia Cisco EPC3208 verliert immer Verbindung -> Vodafone Station als Lösung? (DOCSIS 3.1 schuld?): Nabend! Ich habe seit 25.11. plötzlich ein massives Problem mit meinem Anschluß, und könnte etwas Aufklärung von Insidern brauchen bevor ich zur...
Unitymedia [Q] Probleme mit Bridge Network Model Virtualisierungsserver: Hallo! Ich habe eine Virtualisierungsplattform mit Web-Oberfläche (Proxmox VE 3.3) aufgesetzt und den Server direkt mit dem Kabel-Gateway TC7200...
Oben