• Kunden aus Hessen und Nordrhein-Westfalen können über die Rufnummer 0221 / 466 191 00 Hilfe bei allen Problemen in Anspruch nehmen.
    Kunden aus Baden-Württemberg können über die Rufnummer 0711 / 54 888 150 Hilfe bei allen Problemen in Anspruch nehmen.

Unitymedia Technicolor TC4400 Docsis 3.1 Modem Info Thread

Diskutiere Technicolor TC4400 Docsis 3.1 Modem Info Thread im Internet und Telefon über das TV-Kabelnetz Forum im Bereich Internet und Telefon; Ich hab wenig bis kaum Ahnung von der Materie. Ich hatte mich wie Andreas schon sagte von anderen Bildern irritieren lassen, da ich die als...
  • Technicolor TC4400 Docsis 3.1 Modem Info Thread Beitrag #6.576
Ich hab wenig bis kaum Ahnung von der Materie. Ich hatte mich wie Andreas schon sagte von anderen Bildern irritieren lassen, da ich die als Vergleich heran zog xD
 
  • Technicolor TC4400 Docsis 3.1 Modem Info Thread Beitrag #6.577
Ich habe nun auch mein TC4400 am Netz.
Wechsel von Hitron CDA-32372 zu TC4400.
Musste mehrmals anrufen bis es endlich geklappt hat.
Bundesland: BW
 

Anhänge

  • snip_20190913123438.png
    snip_20190913123438.png
    105,7 KB · Aufrufe: 1.024
  • Technicolor TC4400 Docsis 3.1 Modem Info Thread Beitrag #6.578
Wow, Top :super:

Ich bin ja mal gespannt, ob VF hier auch mal irgendwann den Spaten in die Hand nimmt :kratz:
 
  • Technicolor TC4400 Docsis 3.1 Modem Info Thread Beitrag #6.579
Seit Vodafone am Router ist, scheint im Netz irgendwas zu passieren. Ich hab gelegentlich Paketloss und die Connectbox im Haus auch. Das HFC schließe ich da aus, keinerlei Auffälligkeiten. Meist nach einem Tag mit Paketloss wird dann auch über Stuttgart geroutet, statt Frankfurt. Lässt man sich eine neue IP aus einem anderen Netz geben, kann man Glück haben und hat kein Paketloss und Routing nach Frankfurt bis es dort dann auch auftritt. Es war nun 4 Tage Ruhe und heute Morgen bevor der Umbau hier los ging, fing es an mit Paketloss. Nach dem Umbau erst nichts, nun seit 3 Stunden minimal Paketloss. IPv6 wird schon über Stuttgart geroutet, IPv4 noch über Frankfurt.
Peering oder Nodes überlastet? Oder kann VDF gar nichts dafür? Aorta das Problem? Oder doch die Arbeiten an den Kopfstationen?
 
  • Technicolor TC4400 Docsis 3.1 Modem Info Thread Beitrag #6.581
Haha vor lauter Router hier und da. Wobei es ja sogar stimmt :D
 
  • Technicolor TC4400 Docsis 3.1 Modem Info Thread Beitrag #6.582
nL2XCIZ.jpg

Habt ihr eine Idee wieso ich seit einer ungefähr einer Woche aufeinmal soviele Fehler auf dem OFDM bekomme? (Und auf 674mhz)
Das ist jetzt bei 8h Uptime.
 
  • Technicolor TC4400 Docsis 3.1 Modem Info Thread Beitrag #6.583
Könnte eine Einstrahlung sein. Genau sowas hatte ich auch.
 
  • Technicolor TC4400 Docsis 3.1 Modem Info Thread Beitrag #6.584
Ja, eine Einstrahlungen auf 674 MHz und vermutlich auch auf dem OFDM :heul:
 
  • Technicolor TC4400 Docsis 3.1 Modem Info Thread Beitrag #6.585
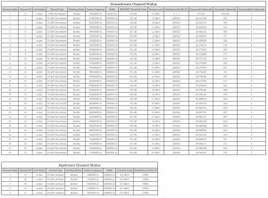
Ich habe nun nach 20 Stunden Laufzeit folgende Werte:


Die Leitung läuft aber absolut schlecht. So sah es Donnerstag aus:


So seit gestern (die roten Ausfälle zwischen 8 und 10 Uhr sind Arbeiten an der Hausinstallation:


Der Upstream scheint aber das Problem zu sein:


Das ganze trat schon vor den Arbeiten hier im Haus auf. Was könnte hier das Problem sein? (Ingress kann ich nicht ausschließen, aber nach bald 24 Stunden sollte doch spätestens die C-Linie zusätzlich gedämpft werden, das passiert aber auch nicht) :kratz:

NACHTRAG:

OK, es ist ganz klar Ingress am ganzen Node... :gsicht:
 

Anhänge

  • Unbenannt.JPG
    Unbenannt.JPG
    295,6 KB · Aufrufe: 833
  • b93f668cb753da1a724539205ebc73611af426cd-12-09-2019.png
    b93f668cb753da1a724539205ebc73611af426cd-12-09-2019.png
    91,6 KB · Aufrufe: 833
  • 07e43b8f81321f17e79c610287b4213ced78e05a-13-09-2019.png
    07e43b8f81321f17e79c610287b4213ced78e05a-13-09-2019.png
    98,6 KB · Aufrufe: 832
  • Unbenannt.JPG
    Unbenannt.JPG
    92,6 KB · Aufrufe: 832
  • Technicolor TC4400 Docsis 3.1 Modem Info Thread Beitrag #6.586
Hat es Dich jetzt auch erwischt :D
So sah das bei mir eigentlich immer aus :naughty:
Erstaunlich ist nur, dass Du keine unkorrigierbaren Fehler hast und der US von den Werten auch Top ist.
Ansonsten ähnelt der Monitor jetzt meinem Anschluss :hirnbump:
 
  • Technicolor TC4400 Docsis 3.1 Modem Info Thread Beitrag #6.587
Nunja, ich denke mal dass einige im Node komplett offline sind. Kein Wunder dass die C-Linie nicht gedämpft wird wenn es wohl schon zum ersten Verstärkerpunkt einstrahlt.
 
  • Technicolor TC4400 Docsis 3.1 Modem Info Thread Beitrag #6.588
Nach knapp zwei Tagen mit der neuen Leitung bin ich sehr zufrieden. Es sei dazu gesagt dass hier der ganze Node aktuell starken Ingress hat.
 

Anhänge

  • Unbenannt.JPG
    Unbenannt.JPG
    299 KB · Aufrufe: 695
  • Technicolor TC4400 Docsis 3.1 Modem Info Thread Beitrag #6.589
nL2XCIZ.jpg

Habt ihr eine Idee wieso ich seit einer ungefähr einer Woche aufeinmal soviele Fehler auf dem OFDM bekomme? (Und auf 674mhz)
Das ist jetzt bei 8h Uptime.

Update: Es war Einstrahlung. Freitag angerufen, Samstag SMS erhalten, dass ein Service Techniker auf das Problem angesetzt wurde und vor 15min per SMS bestätigt bekommen, dass das Problem Eingegrenzt, gefunden und behoben wurde.
Lasst euch nicht einschüchtern wenn der Support am Telefon sagt, dass die Rechnung des Technikers auf einen geschoben werden kann wegen "Eigener Hardware".
 
  • Technicolor TC4400 Docsis 3.1 Modem Info Thread Beitrag #6.590
Jop, Gleiches gerade hier. Ingress am ganzen Node seit Tagen. Natürlich fragte man mich was ich hinter meiner "Fritzbox" für Geräte betreibe und ob sie am LAN hängen. Als ich sagte "ich nutze ein Modem und dahinter hängt ein Router" kam nur noch "ich habe eine Störung aufgenommen" :D
 
  • Technicolor TC4400 Docsis 3.1 Modem Info Thread Beitrag #6.591
Rückmeldung aus Sachsen... die BNA hat sich bzgl. meinem lokalen Provider nun zurückgemeldet:
Verbraucherservice der Bundesnetzagentur

Sehr geehrter Herr ...,

für eine optimale Arbeitsweise müsste das Modem mit weiteren herstellerspezifischen Modemparametern provisioniert werden und die aktuelle Firmwareversion besitzen. Da SAT-Kabel (CMTS-System ARRIS C4) aber nicht Systempartner von TECHNICOLOR ist, sei ein Zugriff (Download) auf die aktuellen modemspezifischen Daten (OIDs) nicht möglich.

Im Ergebnis mahnen Sie nicht die freie Routerwahl an, sondern die für Sie nicht optimale Arbeitsweise des eigenen Modems. SAT-Kabel® habe sich mehrfach bemüht ein optimaleres Ergebnis zu erzielen. SAT-Kabel habe nicht die Freischaltung des kundeneigenen Modems, sondern weitere Optimierungsversuche am kundeneigenem Modem eingestellt, da das z.Z. verwendete EuroDOCSIS3.0- Standardkonfigurationsfile keine bessere Ergebnisse liefere. Beide Modems seien freigeschaltet. Der Vergleich zwischen der im Vertrag bestellten FRITZ!BOX 6490 (AVM) und dem kundeneigenem Modem TC4400 (TECHNICOLOR) zeige, dass der passive Netzabschlusspunkt korrekt arbeitete. SAT-Kabel habe Ihnen außerdem ermöglicht z.Z. beide Modems am Netzabschlusspunkt zu betreiben/testen.

Mit freundlichen Grüßen

Ihr Verbraucherservice
http://www.bundesnetzagentur.de
16.09.2019
Fazit: Es war ein sinnloses Unterfangen und Ich habe nun ein herumliegendes TC4400 - hat evtl. jemand Interesse? :winken:
 
  • Technicolor TC4400 Docsis 3.1 Modem Info Thread Beitrag #6.592
Fazit: Es war ein sinnloses Unterfangen und Ich habe nun ein herumliegendes TC4400 - hat evtl. jemand Interesse?
Ganz schön frech finde ich das Schreiben, hätte nicht gedacht, dass es für den Provider so einfach ist, die Endgerätefreiheit zu umgehen.
Fazit: Die Endgerätefreiheit gilt nur für Geräte von AVM :nein:
 
  • Technicolor TC4400 Docsis 3.1 Modem Info Thread Beitrag #6.593
Erschreckend!
 
  • Technicolor TC4400 Docsis 3.1 Modem Info Thread Beitrag #6.594
nun ja, wir hatten das ja schon x-mal: Technicolor tut schlicht nichts, um die Situation zu verbessern, weil kein Interesse am deutschen Markt. Alleine die Firmware-Update Politik von Technicolor ist wirklich erschreckend :D Sobald ein Fix Geld kosten wuerde machen die keinen Finger mehr krumm.
 
  • Technicolor TC4400 Docsis 3.1 Modem Info Thread Beitrag #6.596
Ingress vorerst behoben. Anbei meine neue Leitung, bin sehr zufrieden.


Ich finde es übrigens mehr als interessant, wie sehr Ping, Jitter und Routing mit der IP Adresse zu tun haben die man bekommt. Dazu später mehr...
 

Anhänge

  • Unbenannt.JPG
    Unbenannt.JPG
    292,4 KB · Aufrufe: 325
  • Technicolor TC4400 Docsis 3.1 Modem Info Thread Beitrag #6.597
So wie man unten sieht hatte ich seit einigen Tagen einen recht starken Jitter und minimal erhöhten Ping (ca. 2-3ms höher). Das Ganze war jedoch schon zur CMTS so. Erster Hop hatte somit 8-9ms statt 5-6ms. Nach dem Wechsel der IP war der Ping wieder normal, auch der Jitter ist wieder gewohnt gering. Meine Vermutung: da die CMTS ja ein CCAP und DHCP Proxy ist, wird teils auf eine andere CMTS verbunden und geroutet. Anders kann ich es mir einfach nicht erklären.
 

Anhänge

  • e81fc813c04dcc194403a4622da276291eba91b4-17-09-2019.png
    e81fc813c04dcc194403a4622da276291eba91b4-17-09-2019.png
    191,8 KB · Aufrufe: 288
  • Technicolor TC4400 Docsis 3.1 Modem Info Thread Beitrag #6.598
Ingress vorerst behoben. Anbei meine neue Leitung, bin sehr zufrieden.

Unbenannt.JPG

Ich finde es übrigens mehr als interessant, wie sehr Ping, Jitter und Routing mit der IP Adresse zu tun haben die man bekommt. Dazu später mehr...

Peering? Ich bin gespannt :)

Meins läuft auch gut, Unitymedia weigert sich aber den OFDM mit Millionen Fehlern einzupegeln. Ich ziehe jedoch bald um, dann wird es interessant.
 
  • Technicolor TC4400 Docsis 3.1 Modem Info Thread Beitrag #6.599
Vielleicht? Ich habe das Spiel nun weiter getrieben und mir noch mal eine neue IP geben lassen, dieses Mal aus dem 109er Netz. Ergebnis: noch bessere Latenz.
 

Anhänge

  • e81fc813c04dcc194403a4622da276291eba91b4-17-09-2019 (1).png
    e81fc813c04dcc194403a4622da276291eba91b4-17-09-2019 (1).png
    192 KB · Aufrufe: 273
  • Technicolor TC4400 Docsis 3.1 Modem Info Thread Beitrag #6.600
Vielleicht? Ich habe das Spiel nun weiter getrieben und mir noch mal eine neue IP geben lassen, dieses Mal aus dem 109er Netz. Ergebnis: noch bessere Latenz.

e81fc813c04dcc194403a4622da276291eba91b4-17-09-2019 (1).png

Werkelt Vodafone da schon? Oder war das vorher auch schon der Fall?
"Wir schauen uns das Thema Mietleitungen an, wo wir von Unitymedia zu Vodafone migrieren können, die sind schneller und wir können Kosten sparen", erklärte Vorbeck.
https://www.golem.de/news/kabelnetz-die-marke-unitymedia-wird-verschwinden-1909-143567.html
 
Thema:

Technicolor TC4400 Docsis 3.1 Modem Info Thread

Technicolor TC4400 Docsis 3.1 Modem Info Thread - Ähnliche Themen

Netgear CM2000 (US Modem): Dank DOCSIS 3.1 und dem dortigen Wegfall der Unterscheidung zwischen DOCSIS und EuroDOCSIS sind einige Modems aus den USA durchaus im Vodafone...
Unitymedia Technicolor CGA4233 Docsis 3.1 Router Info Tread: Wie auch schon bei TC4400 dient dieser Thread zum Sammeln von Informationen zum Technicolor CGA4233. Default login: user / VTmgQapcEUaE Link zum...
Unitymedia Kabelmodem Arris CM8200B: Moin, Das Arris CM8200B wurde hier schon gelegentlich erwähnt, aber nie vertiefend. Da bei mir seit ein paar Tagen eines herumsteht starte ich...
Unitymedia Cisco EPC3208 verliert immer Verbindung -> Vodafone Station als Lösung? (DOCSIS 3.1 schuld?): Nabend! Ich habe seit 25.11. plötzlich ein massives Problem mit meinem Anschluß, und könnte etwas Aufklärung von Insidern brauchen bevor ich zur...
Unitymedia [Q] Probleme mit Bridge Network Model Virtualisierungsserver: Hallo! Ich habe eine Virtualisierungsplattform mit Web-Oberfläche (Proxmox VE 3.3) aufgesetzt und den Server direkt mit dem Kabel-Gateway TC7200...
Oben