• Kunden aus Hessen und Nordrhein-Westfalen können über die Rufnummer 0221 / 466 191 00 Hilfe bei allen Problemen in Anspruch nehmen.
    Kunden aus Baden-Württemberg können über die Rufnummer 0711 / 54 888 150 Hilfe bei allen Problemen in Anspruch nehmen.

Unitymedia Technicolor TC4400 Docsis 3.1 Modem Info Thread

Diskutiere Technicolor TC4400 Docsis 3.1 Modem Info Thread im Internet und Telefon über das TV-Kabelnetz Forum im Bereich Internet und Telefon; Danke! Schade eigentlich, aber der Analyzer würde mir hier wohl eh nichts helfen. Die Corrected Keyword liegen ja gleichmäßig über alle Downstream...
  • Technicolor TC4400 Docsis 3.1 Modem Info Thread Beitrag #7.076
Danke! Schade eigentlich, aber der Analyzer würde mir hier wohl eh nichts helfen. Die Corrected Keyword liegen ja gleichmäßig über alle Downstream Channels.
 
  • Technicolor TC4400 Docsis 3.1 Modem Info Thread Beitrag #7.077
OT:

Hier mal von einem Glasfaseramschluss einer Großveranstaltung.

@Iblis

Die Fehler sind sicherlich Störer und wirken sich nicht negativ auf den Anschluss aus. Ich hab das wenn ich an einer anderen Dose etwas Anschließe usw. auch.
 

Anhänge

  • 5E3680A8-0A7B-4901-AA37-71B408720F5D.png
    5E3680A8-0A7B-4901-AA37-71B408720F5D.png
    16,1 KB · Aufrufe: 24
  • 63DD335D-3112-4A64-976B-C18D6D5D4B80.png
    63DD335D-3112-4A64-976B-C18D6D5D4B80.png
    273,6 KB · Aufrufe: 27
  • Technicolor TC4400 Docsis 3.1 Modem Info Thread Beitrag #7.078
Die Fehler sind sicherlich Störer und wirken sich nicht negativ auf den Anschluss aus. Ich hab das wenn ich an einer anderen Dose etwas Anschließe usw. auch.
Wo sollen bei einer 2 Meter Verbindung an der nur CMTS und Modem hängen Störer sein?
 
  • Technicolor TC4400 Docsis 3.1 Modem Info Thread Beitrag #7.079
EMV. Sowohl Steckverbinder als auch das Modem sind dafür anfällig.
 
  • Technicolor TC4400 Docsis 3.1 Modem Info Thread Beitrag #7.080
Ich versuche gerade zu testen, ob während der Corrected Codeword-Ereignisse die DL-Rate einbricht - und merke dass es gar nicht so leicht ist, eine 200Mbit-Leitung einfach mal ein paar Minuten zu sättigen. Wie macht Ihr das? Danke...
 
  • Technicolor TC4400 Docsis 3.1 Modem Info Thread Beitrag #7.081
Wo sollen bei einer 2 Meter Verbindung an der nur CMTS und Modem hängen Störer sein?

Nun, weil bei diesen "FTTH" Anschlüssen von UM und VF halt nicht nur ein Modem direkt am CMTS hängt.

Der Markt schreit nach Glasfaser und UM sowie VF geben dem Kunden Glasfaser. Nur dass es sich dabei halt um eine Mogelpackung handelt! Diese "FTTH" Netze werden oft als Fiber-Inseln im alten Kabelnetz aufgebaut. Sie haben also keine direkte Verbindung in den Hub oder Headend zur Gegenstelle des Modems. Sie transportieren das DVB-C- und Docsis-Signal zum Kunden über Glas ins Haus und nicht mehr über Kupfer. Mit den ganzen Nachteilen, die ein Kabelnetz halt auch so hat. Im Rückweg wird der ganze HF-Schrott von Kabel- sowie FTTH-Netzen zusammen geführt. Also auch keine garantierte Verbesserung im Rückweg. Die Qualität, über eine weitere, zusätzliche optische Übertragung wird auch nicht besser. Eine alte, analoge Übertragung. Hauptsache ist, dass es sich dabei um eine Glasfaser handelt. Kein GPON oder XGPON. Da haben sich schon einige Wohnungswirtschaften gut über den Tisch ziehen lassen.
 
  • Technicolor TC4400 Docsis 3.1 Modem Info Thread Beitrag #7.082
Danke! Das würde die Wackler erklären - und mich nichtmal besonders stören (ist eine Frage der Zeit, bis am Glas dann an beiden Enden adäquate Technik hängt. Mein Glasfaseranschluss terminiert aus gutem Grund NICHT im Keller...) Aber das wird OT. Für den Moment bin ich mit den real existierenden 215 Mbit ziemlich glücklich.
 
  • Technicolor TC4400 Docsis 3.1 Modem Info Thread Beitrag #7.083
Nun, weil bei diesen "FTTH" Anschlüssen von UM und VF halt nicht nur ein Modem direkt am CMTS hängt.

Der Markt schreit nach Glasfaser und UM sowie VF geben dem Kunden Glasfaser. Nur dass es sich dabei halt um eine Mogelpackung handelt! Diese "FTTH" Netze werden oft als Fiber-Inseln im alten Kabelnetz aufgebaut. Sie haben also keine direkte Verbindung in den Hub oder Headend zur Gegenstelle des Modems. Sie transportieren das DVB-C- und Docsis-Signal zum Kunden über Glas ins Haus und nicht mehr über Kupfer. Mit den ganzen Nachteilen, die ein Kabelnetz halt auch so hat. Im Rückweg wird der ganze HF-Schrott von Kabel- sowie FTTH-Netzen zusammen geführt. Also auch keine garantierte Verbesserung im Rückweg. Die Qualität, über eine weitere, zusätzliche optische Übertragung wird auch nicht besser. Eine alte, analoge Übertragung. Hauptsache ist, dass es sich dabei um eine Glasfaser handelt. Kein GPON oder XGPON. Da haben sich schon einige Wohnungswirtschaften gut über den Tisch ziehen lassen.
Wohl auch deshalb geht VF jetzt eine lukrative Kooperation mit DG ein, DG legt die Glasfasertechnik, VF stöpselt nen Micronode dahinter und betreibt RFoG, gibt es aber dann als "FTTH" aus.
 
  • Technicolor TC4400 Docsis 3.1 Modem Info Thread Beitrag #7.084
Dass dann RFoG genutzt wird hat aber niemand gesagt.
 
  • Technicolor TC4400 Docsis 3.1 Modem Info Thread Beitrag #7.085
Dass dann RFoG genutzt wird hat aber niemand gesagt.
Darauf wirds aber wahrscheinlich hinauslaufen, oder hat VF für private Glasfaserkunden jemals was Anderes als RFoG angeboten ?
Afaik haben die überhaupt keine Access-Netze dafür.
Bieten die überhaupt IPTV ähnlich Magenta TV an ? Die Gigabox schließt man doch auch nur zusätzlich ans Internet, oder ?
 
  • Technicolor TC4400 Docsis 3.1 Modem Info Thread Beitrag #7.086
Full story:
Unitymedia hat nach einigem hin und her meinen per FTTH gebauten Anschluss erfolgreich mit einem Micronode versehen - freundlicherweise ein Angebot ohne Buddel- und Anschlusskosten. Am Anschlussort muss Stromversorgung vorhanden sein sowie ein direkter Weg zur Potentialausgleichsschiene des Hauses. Der Monteur hat von dort zwei Erdungsleitungen gelegt, eine für's Kabelchassis und eine für den Micronode. Intern heißt das Anschlussverfahren wohl "d-link". Mein Kabelstrang von der Quelle bis zum Modem ist ca. 2 Meter lang :)

Was für ein Wahnsinn, über drei verschiedene Medien, mit zwei zusätzlichen aktiven Geräten, geht das Internet nun. Obwohl eigentlich auch ein SFP-Modul im Router gereicht hätte.
Wahrscheinlich mussten die 2m Antennenkabel sogar noch eingepegelt werden...
Aber interessant das ganze mal im Einsatz zu sehen.
 
  • Technicolor TC4400 Docsis 3.1 Modem Info Thread Beitrag #7.087
Was für ein Wahnsinn, über drei verschiedene Medien, mit zwei zusätzlichen aktiven Geräten, geht das Internet nun. Obwohl eigentlich auch ein SFP-Modul im Router gereicht hätte.
Wahrscheinlich mussten die 2m Antennenkabel sogar noch eingepegelt werden...
Aber interessant das ganze mal im Einsatz zu sehen.
Für RFoG gibts leider keine SFPs, was du meinst ist GPON, aber UM/VF betreiben keine produktiven GPON-Netze.
 
  • Technicolor TC4400 Docsis 3.1 Modem Info Thread Beitrag #7.088
Wie gesagt: das Konzept "Kabel hinter Glas" fand ich auch schräg. Aber die Buddelei ist jetzt vorbei, und an die Faser kommt irgendwann mal was besseres.
Aus der Diskussion hier weiß ich jetzt, dass das TC4400 nicht defekt sein oder ich sonstwo in meiner Installation einen Störer suchen muss.
 
  • Technicolor TC4400 Docsis 3.1 Modem Info Thread Beitrag #7.089
Ich finde GPON jetzt auch nicht so pralle, ist genauso shared medium wie coaxial. Dann lieber PtP, da kann man dann auch normale SFP+ Module nehmen und wenn man bock hat 400 GBit/s schalten ohne erst XYZ-GPON erfinden zu müssen
 
  • Technicolor TC4400 Docsis 3.1 Modem Info Thread Beitrag #7.090
Ich versuche gerade zu testen, ob während der Corrected Codeword-Ereignisse die DL-Rate einbricht - und merke dass es gar nicht so leicht ist, eine 200Mbit-Leitung einfach mal ein paar Minuten zu sättigen. Wie macht Ihr das? Danke...
Powershell samt iperf3: iperf3 -c speedtest.serverius.net -p 5002 -P 20 -R -t 1000 -i 0.1
 
  • Technicolor TC4400 Docsis 3.1 Modem Info Thread Beitrag #7.091
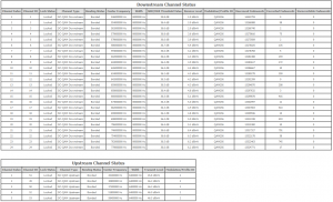
Hallo Zusammen,

kurze frage. Ich habe den TC4400 seit über einem Jahr mit der 20er Firmware im Einsatz (Full Dual Stack). Anbei findet ihr die Leitungswerte nach 78 Tagen dauerlauf und nach einen Reboot+Speedtest (150er Leitung, 160 gemessen). Ich kann Sie nicht interpretieren. Sieht es gut aus?
Würdet ihr das FW-Update auf die 41er empfehlen? Anbei findet ihr auch ein Auszug aus dem Spectrum Analyzers.

Danke euch!
 

Anhänge

  • 78Days.PNG
    78Days.PNG
    90,1 KB · Aufrufe: 30
  • Reboot+Speedtest.PNG
    Reboot+Speedtest.PNG
    87,2 KB · Aufrufe: 30
  • SA.PNG
    SA.PNG
    84,7 KB · Aufrufe: 23
  • Technicolor TC4400 Docsis 3.1 Modem Info Thread Beitrag #7.092
Die Werte sind im Rahmen. Nicht gut, nicht schlecht. Du solltest damit keine Probleme haben. Ein Update auf die .41 würde aber schon Sinn ergeben. Die .20 hat noch einige Bugs.
 
  • Technicolor TC4400 Docsis 3.1 Modem Info Thread Beitrag #7.093
Mit der .41 wäre allerdings dann der Spectrum Analyzer hin...
 
  • Technicolor TC4400 Docsis 3.1 Modem Info Thread Beitrag #7.094
Die Werte sind im Rahmen. Nicht gut, nicht schlecht. Du solltest damit keine Probleme haben. Ein Update auf die .41 würde aber schon Sinn ergeben. Die .20 hat noch einige Bugs.

Hey, welche Bugs wären das so? Bin auch noch mit der 20er unterwegs.
 
  • Technicolor TC4400 Docsis 3.1 Modem Info Thread Beitrag #7.095
läuft z.B. nicht an einem Vodafone anschluss
 
  • Technicolor TC4400 Docsis 3.1 Modem Info Thread Beitrag #7.097
Was aber eher nicht ein Bug ist :rolleyes:
Ja das ist ein Bug bei Vodafone, aber das ist David vs Goliat und das auf Kundenseite zu fixen ist möglich, während Vodafone ein Störisches Pferd ist und auf Bugs einen dicken fick gibt. Bei den großen ISPs wird halt kein finger gekrümmt außer Heise, Golem und co kontaktieren die damit das auf dem Chaos Computer Congress demnächst einer einen Vortrag hält wie man deren Netzwerk infiltriert.
 
  • Technicolor TC4400 Docsis 3.1 Modem Info Thread Beitrag #7.098
Hauptsächlich sind es SMTP und Web GUI Bugs. Glaube die .20 kann auch nicht via SBC ausgelesen werden, was bei Störungen evtl. zu Problemen führen kann.
 
  • Technicolor TC4400 Docsis 3.1 Modem Info Thread Beitrag #7.099
Die Werte sind im Rahmen. Nicht gut, nicht schlecht. Du solltest damit keine Probleme haben. Ein Update auf die .41 würde aber schon Sinn ergeben. Die .20 hat noch einige Bugs.

Danke dir!
Neugier: Woran erkennst du das? An der Dämpfung? An den ungleichverteilten fehlerhaften Paketen? Habe ich eine Möglichkeit es selbst zu verbessern?

Bzgl. Firmware: Bei der nächsten Gelegenheit (Wochende auswärts) werde ich es dann zum Update einschicken. :)
 
  • Technicolor TC4400 Docsis 3.1 Modem Info Thread Beitrag #7.100
Für RFoG gibts leider keine SFPs, was du meinst ist GPON, aber UM/VF betreiben keine produktiven GPON-Netze.
Ja so meinte ich das. Echt ziemlich schade, dass trotz Glasfaser nur DOCSIS gemacht wird (also RFoG).
Wie viel Teilnehmer hängt Vodafone eigentlich bei RFoG so durchschnittlich an einen CMTS? Gemeinsam mit Kupfer-Kunden?

Und ist die Gesamtbandbreite der Kunden mit RFoG auch weiterhin 1,6 GBit (ohne OFDM) oder geht da mehr?
 
Thema:

Technicolor TC4400 Docsis 3.1 Modem Info Thread

Technicolor TC4400 Docsis 3.1 Modem Info Thread - Ähnliche Themen

Netgear CM2000 (US Modem): Dank DOCSIS 3.1 und dem dortigen Wegfall der Unterscheidung zwischen DOCSIS und EuroDOCSIS sind einige Modems aus den USA durchaus im Vodafone...
Unitymedia Technicolor CGA4233 Docsis 3.1 Router Info Tread: Wie auch schon bei TC4400 dient dieser Thread zum Sammeln von Informationen zum Technicolor CGA4233. Default login: user / VTmgQapcEUaE Link zum...
Unitymedia Kabelmodem Arris CM8200B: Moin, Das Arris CM8200B wurde hier schon gelegentlich erwähnt, aber nie vertiefend. Da bei mir seit ein paar Tagen eines herumsteht starte ich...
Unitymedia Cisco EPC3208 verliert immer Verbindung -> Vodafone Station als Lösung? (DOCSIS 3.1 schuld?): Nabend! Ich habe seit 25.11. plötzlich ein massives Problem mit meinem Anschluß, und könnte etwas Aufklärung von Insidern brauchen bevor ich zur...
Unitymedia [Q] Probleme mit Bridge Network Model Virtualisierungsserver: Hallo! Ich habe eine Virtualisierungsplattform mit Web-Oberfläche (Proxmox VE 3.3) aufgesetzt und den Server direkt mit dem Kabel-Gateway TC7200...
Oben