- Technicolor TC4400 Docsis 3.1 Modem Info Thread Beitrag #7.226
UHeinz13
Werds nochmal versuchen mit ner Störungsmeldung. Kanns leider nicht ganz verstehen warum man einen OFDM welcher in Range warund das sehr gut, plötzlich wieder so verpegeln kann.
Follow along with the video below to see how to install our site as a web app on your home screen.
Anmerkung: This feature may not be available in some browsers.
War bei mir genauso (Münster = keine Gigabit Stadt). OFDM komplett außer Range = Kein Internet. Per Chat genau erklärt was los ist. Am gleichen Tag Techniker rausgekommen, der genau wusste was los ist, alles neu eingepegelt und läuft.
Das kann ich noch Toppen, die haben es komplett verpegelt. Hatte eben spaßeshalber mal das Modem wieder eingeschaltet (ein Docsis 3.1 Gerät hab ich leider nicht mehr).Unitymedia scheint nun auch in Paderborn DOCSIS 3.1 freigeschaltet zu haben. Die Werte sehen für mich allerdings unterirdisch aus:

dann koennte er aber nicht mehr so leicht ueber seine schlechten Leitungswerte bei UM herziehenEventuell war bei Dir früher ein VrP zu stark aufgerissen und hat Dir daher immer die Leitung zerschossen. Ein nun sauber eingepegelter Verstärker im Haus, könnte Wunder wirken![]()
Falsch, dann hätte ich da erst garnicht drüber hergezogen und wäre vermutlich heute noch Kunde. Fakt ist: Die Pegel direkt am HÜP sind um ungefähr 10 dB gesunken (auch am zweiten HÜP hier im Haus), warum auch immer.dann koennte er aber nicht mehr so leicht ueber seine schlechten Leitungswerte bei UM herziehen
Das TC4400-EU kriegst du bei Werner ElectronicGibts das TC4400 mittlerweile regulär zu kaufen?
Und was ist mit dem alternativen Modem von Arris, gibts das jetzt auch?
Das ist schon einige Zeit. Daher gibt es auch schon länger die Vodafone Station für Neukunden und bei Defekt-Tausch.Es gibt Neuigkeiten zu DOCSIS 3.1 in meinem Segment
Es gibt eine interne Anweisung von VF, auch in Segmenten ohne Gigabit Tarife, den OFDM Block zu entstören.
Hierbei ist das Ziel auch bei kleineren Tarifen 3.1 Hardware einzusetzen um die Segmente so zu entlasten.
Aktuell habe ich noch eine offene Störung mit Rückkanal, sobald die offiziell behoben ist versuche ich es erneut mit der OFDM Störung.
Bin gespannt wie viele Abzweiger und Verstärker noch ausgebudelt werden müssen.
Zuletzt waren es zwei Abzweiger und ein Verstärker, ohne Erfolg.
Aktiv geworden und den Bagger rausgeholt, ist bei UM aber noch niemand gewordenDas ist schon einige Zeit. Daher gibt es auch schon länger die Vodafone Station für Neukunden und bei Defekt-Tausch.
Zweiter Verstärker@rv112 ja leider, aber es geht unter den existierenden Voraussetzungen wie sie bei uns im Mehrfamilienhaus sind momentan leider nicht anders. Denn der verbaute Delta BKE 41 P ist am Ausgang schon mit 103-104dBmV ausgesteuert. Und das ist für diesen Typ glaube ich schon das Maximum auch wegen den Reserven, bevor er sonst übersteuern würde. Eigentlich gehört hier bei uns ins Haus ja ein 111dB Modell aber wo wird sowas schon verbaut?!
Das ist schon einige Zeit. Daher gibt es auch schon länger die Vodafone Station für Neukunden und bei Defekt-Tausch.
Es muss auch nicht immer am Abzweiger liegen. Kabellänge, Gehäuseanschlüsse, etc pp können auch zu dem Problem beitragen.Aktiv geworden und den Bagger rausgeholt, ist bei UM aber noch niemand geworden![]()
Das kann ich noch Toppen, die haben es komplett verpegelt. Hatte eben spaßeshalber mal das Modem wieder eingeschaltet (ein Docsis 3.1 Gerät hab ich leider nicht mehr).
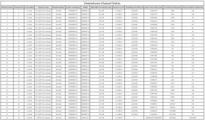
Allein der Docsis 3.0 Bereich kommt hier schon komplett außer Range in´s Haus (Modem hängt direkt am HÜP).
Anhang anzeigen 3768
Ich schätze mal, der OFDM käme hier mit -15 bis -20 dBmV rein
Vorteil: Ich brächte vermutlich keinen OFDM Sperrfilter um den fehlerhaften OFDM auszusperren, der würde sowieso nicht bonden![]()
Ist ja auch ein Docsis 3.0 Modem, ein 3.1 Modem hab ich momentan nicht zur Hand.Der OFDM-Bereich ist nicht ersichtlich.