- Technicolor TC4400 Docsis 3.1 Modem Info Thread Beitrag #7.401
rv112
- Beiträge
- 4.991
- Punkte Reaktionen
- 366
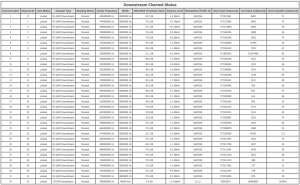
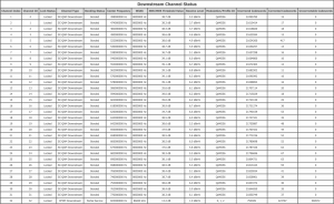
Wenn der OFDM durchweg über 30dB hat, muss das TC4400 auch sowas anzeigen. Miss mal den PLC (786 oder 823) mit einem Messgerät.
Ansonsten: starkes Stück! Kenne ich in ähnlicher Form auch nur zu gut.
Ansonsten: starkes Stück! Kenne ich in ähnlicher Form auch nur zu gut.


