• Kunden aus Hessen und Nordrhein-Westfalen können über die Rufnummer 0221 / 466 191 00 Hilfe bei allen Problemen in Anspruch nehmen.
    Kunden aus Baden-Württemberg können über die Rufnummer 0711 / 54 888 150 Hilfe bei allen Problemen in Anspruch nehmen.

Unitymedia Technicolor TC4400 Docsis 3.1 Modem Info Thread

Diskutiere Technicolor TC4400 Docsis 3.1 Modem Info Thread im Internet und Telefon über das TV-Kabelnetz Forum im Bereich Internet und Telefon; Es gab hier doch irgendwo einen Post wo man die minimum soll SNR usw fürs Unitymedia Gebiet finden konnte, leider finde ich den per Suche nicht...
  • Technicolor TC4400 Docsis 3.1 Modem Info Thread Beitrag #8.101
Es gab hier doch irgendwo einen Post wo man die minimum soll SNR usw fürs Unitymedia Gebiet finden konnte, leider finde ich den per Suche nicht mehr. Hat jemand einen Link dazu?
 
  • Technicolor TC4400 Docsis 3.1 Modem Info Thread Beitrag #8.102
  • Technicolor TC4400 Docsis 3.1 Modem Info Thread Beitrag #8.103
genau die, danke
 
  • Technicolor TC4400 Docsis 3.1 Modem Info Thread Beitrag #8.104
Mit dem TC 4400 habe ich totale Probleme. Da dieses ja über zwei LAN Ports verfügt, funktioniert von beiden nur einer (im Wechsel, >JA< im Wechsel). Gehe ich auf die Modemoberfläche, bekomme ich nur in der Zeile ETH0 ein paar Werte angezeigt. Bei ETH1 ist alles leer. Muß noch erwähnen, dass die Verbindung bei einem Desktop PC sofort und normal da ist. Möchte ich jedoch an ein Notebook (4 Stk. wurden getestet) per LAN Kabel Cat7 ~ 5m lang verbinden, flackert sowohl die LINK LED am Modem, als auch die LAN Anschlüsse beider LEDs an den Notebooks. Verbindung gleich null bei den Lappys.

Genauso ist IPV4 nur geschaltet. IPV6 die Zeile ist auch leer in der Modemoberfläche. Einen Router wollte ich nur rein für WLAN nutzen (müßte prefix 59 sein). Das heißt, dass dieser vielleicht zwei bis höchstens drei mal im Monat und wenn auch nur kurz benötigt wird. Muß ich um IPV6 nutzen zu können zwingend einen Router dann doch noch nutzen? Möchte einfach keinen Router mehr nutzen müssen.

Ja also gibt es irgendwelche vernünftigen Gründe das TC4400 weiter zu nutzen oder lieber gleich in einen sehr guten Router (nix von AVM) zu investieren?

Alleine schon das freischalten des TC 4400 kann man nicht beschreiben, dass muß man erlebt haben. Leute die über ein nicht sehr starkes Nervenkostüm verfügen, oder mit hohem Blutdruck Probleme haben... Laßt es gleich. Jedenfalls das kontaktieren über ein RingRing ist eine echte Herausforderung.
 
  • Technicolor TC4400 Docsis 3.1 Modem Info Thread Beitrag #8.105
Möchte ich jedoch an ein Notebook (4 Stk. wurden getestet) per LAN Kabel Cat7 ~ 5m lang verbinden, flackert sowohl die LINK LED am Modem, als auch die LAN Anschlüsse beider LEDs an den Notebooks. Verbindung gleich null bei den Lappys.
Du musst bei jedem Gerätewechsel das Modem neu starten!
 
  • Technicolor TC4400 Docsis 3.1 Modem Info Thread Beitrag #8.106
Wenn du das Endgerät (PC, Laptop oder Router) wechselst, musst du zwingend das TC4400 neu starten, daher wäre die dauerhafte Verbindung mit einem Router am sinnvollsten.
 
  • Technicolor TC4400 Docsis 3.1 Modem Info Thread Beitrag #8.107
Hi,

das TC4400 ist ein Kabelmodem und muss mit einem Router betrieben werden. Auch darf am TC4400 nur der Router und kein weiteres Gerät mehr angeschlossen sein.
Dass das IPv6 Feld bei UM leer ist, ist normal, da die dort angezeigte IP-Adresse die interne Verwaltungs-IP von Unitymedia ist, nicht die dir zugewiesene öffentliche IP-Adresse. Diese muss der nachfolgende Router beim Unitymedia DHCP anfordern.
 
  • Technicolor TC4400 Docsis 3.1 Modem Info Thread Beitrag #8.108
Hallo,

besten Dank für die Antworten. Ja neu gestartet habe ich es schon öfter. Ok, dass heißt also dann doch noch einen Router vor das TC 4400. Das ist echt schade. War in dem Glauben, dass ich noch einen Switch (mit integrierter Firewall) hinter das Modem setze, eine pfSense auf den Rechner, und alles ist gut.

Macht natürlich dann absolut Sinn was Torsten schreibt. Ist aber echt schon heftig was Andreas meint dass man immer wieder das Gerät neu starten muß. Wußte ich noch nicht.

Also, leider ohne Router geht es nicht.
 
  • Technicolor TC4400 Docsis 3.1 Modem Info Thread Beitrag #8.109
Also Gerätewechsel heißt jetzt wenn ein Gerät freigeschaltet wird nehme ich an? Und nicht wenn ich die Rechner usw. usf. wechsel muß immer wieder neu gestartet werden das Modem *schwitz*
 
  • Technicolor TC4400 Docsis 3.1 Modem Info Thread Beitrag #8.112
Hallo,

besten Dank für die Antworten. Ja neu gestartet habe ich es schon öfter. Ok, dass heißt also dann doch noch einen Router vor das TC 4400. Das ist echt schade. War in dem Glauben, dass ich noch einen Switch (mit integrierter Firewall) hinter das Modem setze, eine pfSense auf den Rechner, und alles ist gut.

Macht natürlich dann absolut Sinn was Torsten schreibt. Ist aber echt schon heftig was Andreas meint dass man immer wieder das Gerät neu starten muß. Wußte ich noch nicht.

Also, leider ohne Router geht es nicht.
Code:
TC 4400 - pfSense - Switch - Endgeräte \- Endgeräte
Da du aber so wie es scheint wenig ahnung von der materie hast ,würde ich dir eher eine fritzbox 6591 oder 6660 empfehlen anstelle einer pfsense
 
  • Technicolor TC4400 Docsis 3.1 Modem Info Thread Beitrag #8.113
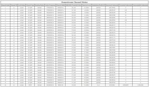
Ich habe mal eine Frage zum OFDM-Kanal: Da sieht man in den Screenshots hier im Thread sehr häufig einen deutlich geringeren Pegel, als beim direkt benachbarten DOCSIS 3.0 Kanal. Ich kann mir eigentlich nicht vorstellen, dass das regelmäßig ein genau passender Knick in der Übertragungscharakteristik der Leitung ist. Werden die OFDM Kanäle mit geringerem Pegel eingespeist, als die DOCSIS 3.0 Kanäle? Das würde ja die Vorgabewerte von Unitymedia zum EInpegeln erklären, die dem OFDM - Kanal einen Sollpegel von -9 ... +4 dBmV gegenüber -4 ... +9 dBmV für die DOCSIS 3.0 Kanäle vorschreiben ... immerhin 5 dB weniger
 
  • Technicolor TC4400 Docsis 3.1 Modem Info Thread Beitrag #8.114
Servus,

kurz & bündig aber alles gesagt und verstanden;) Dann komme ich natürlich um einen Router nicht herum.

_QT_ besten Dank für den Hinweis. Steht da auch etwas zu der Verwendung eines Switch? Habe erst später Zeit den thread in Ruhe und ausgiebig zu lesen.

Edding brauchst mir keine mehr empfehlen. Kann dich beruhigen da ich eine 6590 habe. Aber danke, dass du dich sorgst.

TC4400 - Switch - pfsense-Endgeräte
 
  • Technicolor TC4400 Docsis 3.1 Modem Info Thread Beitrag #8.117

Anhänge

  • Bildschirmfoto 2020-05-26 um 20.16.55.png
    Bildschirmfoto 2020-05-26 um 20.16.55.png
    1 MB · Aufrufe: 41
  • Technicolor TC4400 Docsis 3.1 Modem Info Thread Beitrag #8.118
Schreibfehler? Korrekterweise müsste es TC4400 - pfSense - Switch - Clients heißen.

Man wird es so handhaben wie weiter oben Edding es schon empfohlen hat. Noch kann ich ja erstmal die FritzBox weiter nutzen. Bin ich zwar nicht so begeistert von, aber ist halt vorübergehend. Das Labor Update hatte man ja auch schon auf die 6590er gebeamt.

Vielen Dank nochmal.
 
  • Technicolor TC4400 Docsis 3.1 Modem Info Thread Beitrag #8.119
Hier die Grenzwerte :)

Die sind mir bekannt - aber es geht mir darum, ob man für die Pegeldifferenz zwischen DOCSIS 3.0 und OFDM Bereich durch entsprechende Schieflage im Hausverstärker sorgen muss, oder ob die OFDM Signale schon am CMTS mit weniger Pegel erzeugt werden...
 
  • Technicolor TC4400 Docsis 3.1 Modem Info Thread Beitrag #8.120
Bei mir konnte das OFDM Einpegeln die "Schmerzen nur etwas lindern" wie der Techniker es formuliert hat:

Vorher:
27.5dB
Fehlerfrei: ~50,2%
Korrigierbar: ~35,4%
Unkorrigierbar: ~14,4%

Nachher:
33.5dB
Fehlerfrei: ~50,4%
Korrigierbar: ~41,4%
Unkorrigierbar: ~8,2%

Aber keine Diskussion wegen eigenem Endgerät, die Werte sehen wohl auf der ganzen Straße so aus und er hat dafür jetzt ein Ticket aufgemacht. Laut ihm soll es auf dem OFDM eigentlich überhaupt keine Fehler geben, wovon ich offensichtlich weit entfernt bin. Er war sogar sehr daran interessiert das TC4400 mal zu sehen, auch der letzte Herr an der Hotline sprach von "einem guten Modem". Scheinbar muss man einfach Glück haben und an den richtigen geraten...

In Summe bin ich nach wie vor sehr froh darüber den Schritt Richtung TC4400 gemacht zu haben und meine 'Support-Befürchtungen' haben sich glücklicherweise (bisher) nicht bestätigt.
 

Anhänge

  • 20200527_tc4400_ds.jpg
    20200527_tc4400_ds.jpg
    250,6 KB · Aufrufe: 18
  • 20200526_tc4400_ds.jpg
    20200526_tc4400_ds.jpg
    253,2 KB · Aufrufe: 18
  • Technicolor TC4400 Docsis 3.1 Modem Info Thread Beitrag #8.121
Das TC4400 ist gerade in der oberen Netztechnik bekannt. Ebenso wie die OFDM Probleme.
 
  • Technicolor TC4400 Docsis 3.1 Modem Info Thread Beitrag #8.122
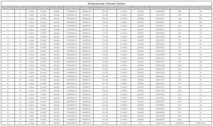
Hier die Grenzwerte :)

Interessant an dem Bild ist auch die Bandbreite

DOCSIS 3.0 55 MBit/s aus 8 MHz => ca 6.5 Bit/s pro Hertz Bandbreite
DOCSIS 3.1 248 .... 400 MBit/s aus 48 MHz je nach Modulationgrad = 5.2 .... 8,3 Bit/s pro Hertz Bandbreite ...

Einen großen Sprung, was die spektrale Effizienz angeht sehe ich da eher nicht ...
 
  • Technicolor TC4400 Docsis 3.1 Modem Info Thread Beitrag #8.123
Interessant an dem Bild ist auch die Bandbreite

DOCSIS 3.0 55 MBit/s aus 8 MHz => ca 6.5 Bit/s pro Hertz Bandbreite
DOCSIS 3.1 248 .... 400 MBit/s aus 48 MHz je nach Modulationgrad = 5.2 .... 8,3 Bit/s pro Hertz Bandbreite ...

Einen großen Sprung, was die spektrale Effizienz angeht sehe ich da eher nicht ...
Der OFDM stimt auch nicht ist zu wenig.
die effizenz bliebt gleich bei den Modulationen
256QAM hat 8bit/hz bei beiden.
Allerdings gibts noch ein menge anderer faktoren die die Bandbreite beeinflussen.
 
  • Technicolor TC4400 Docsis 3.1 Modem Info Thread Beitrag #8.124
Der OFDM stimt auch nicht ist zu wenig.
die effizenz bliebt gleich bei den Modulationen
256QAM hat 8bit/hz bei beiden.
Allerdings gibts noch ein menge anderer faktoren die die Bandbreite beeinflussen.

Naja, die 55 MBit/s für einen 8 Mhz-DOCSIS 3.0 Kanal sind dafür zu optimistisch...
Zur spektralen Effizienz von DOCSIS 3.1 habe ich mal einen Aufsatz aus 2014 gefunden

Zitieren geht nicht gut , auf dem Übergang von Seite 12 auf 13 steht ein wenig etwas

Da rechnet man mit 20 ... 30% besserer spektraler Effizienz im optimistischen Fall ...
 
  • Technicolor TC4400 Docsis 3.1 Modem Info Thread Beitrag #8.125
gibt es hier überhaupt jemandem, der einen fehlerfreien OFDM Kanal anliegen hat?
 
Thema:

Technicolor TC4400 Docsis 3.1 Modem Info Thread

Technicolor TC4400 Docsis 3.1 Modem Info Thread - Ähnliche Themen

Netgear CM2000 (US Modem): Dank DOCSIS 3.1 und dem dortigen Wegfall der Unterscheidung zwischen DOCSIS und EuroDOCSIS sind einige Modems aus den USA durchaus im Vodafone...
Unitymedia Technicolor CGA4233 Docsis 3.1 Router Info Tread: Wie auch schon bei TC4400 dient dieser Thread zum Sammeln von Informationen zum Technicolor CGA4233. Default login: user / VTmgQapcEUaE Link zum...
Unitymedia Kabelmodem Arris CM8200B: Moin, Das Arris CM8200B wurde hier schon gelegentlich erwähnt, aber nie vertiefend. Da bei mir seit ein paar Tagen eines herumsteht starte ich...
Unitymedia Cisco EPC3208 verliert immer Verbindung -> Vodafone Station als Lösung? (DOCSIS 3.1 schuld?): Nabend! Ich habe seit 25.11. plötzlich ein massives Problem mit meinem Anschluß, und könnte etwas Aufklärung von Insidern brauchen bevor ich zur...
Unitymedia [Q] Probleme mit Bridge Network Model Virtualisierungsserver: Hallo! Ich habe eine Virtualisierungsplattform mit Web-Oberfläche (Proxmox VE 3.3) aufgesetzt und den Server direkt mit dem Kabel-Gateway TC7200...
Oben