- Technicolor TC4400 Docsis 3.1 Modem Info Thread Beitrag #8.151
rv112
- Beiträge
- 4.991
- Punkte Reaktionen
- 366
Was sagen denn die Routerlogs?
Follow along with the video below to see how to install our site as a web app on your home screen.
Anmerkung: This feature may not be available in some browsers.
Ich meine mich zu erinnern, dass man sich niemals mit dem PC direkt bei Freischaltung aufschalten soll, sondern Router. Kann ja nur was mit der MAC Adresse deines PC‘s zu tun haben.Die eigentliche Antwort steht immer noch aus... Wieso bekomme ich ohne Probleme alles nur mit dem PC der bei freischaltung verbunden war hin? Verbindungsmäßig?
Welche Geräte hast Du denn später versucht, mit dem TC4400 zu verbinden?Die eigentliche Antwort steht immer noch aus... Wieso bekomme ich ohne Probleme alles nur mit dem PC der bei freischaltung verbunden war hin? Verbindungsmäßig?
Anscheinend nichtHast du überhaupt einen Router den du dahinterklemmst? Wenn ja welcher?
es wurde versucht einen anderen Desktop Pc , vier Notebooks sowie einen Switch (ja ich weiß, halt nur testweise mal) zu verbinden.
Ich kann auch nicht so ganz nachvollziehen, wie man auf die Idee kommt, ein separates Modem für 170€ zu brauchen, wenn man nicht einmal den Unterschied zwischen Switch und Router kennt.Die Frage ist, wenn du schon so wenig Ahnung hast warum hast du dann das Modem gekauft? Für dich wäre wohl eine Fritzbox Cable besser oder die Vodafone Station.
Dass der Vodafone Support dir nicht helfen kann, ist klar. Du hast ein eigenes Endgerät und bist dafür verantwortlich. Da es mit dem PC geht ist das Modem definitiv nicht kaputt. Hast du überhaupt einen Router den du dahinterklemmst? Wenn ja welcher? Und wie sehen die Einstellungen aus bzgl Internetverbindung?
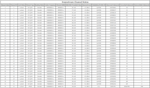
Nein, das ist definitiv zu wenig.Reicht SNR von 29,8 überhaupt noch?
Nein, das ist definitiv zu wenig.
Der OFDM müsste auch jetzt schon mit der no-service Unmengen an unkorrigierbaren Fehlern schmeißen.
Ich würde es buchen und in dem Zuge gleich einen Techniker antanzen lassen.


Vom Verhältnis her zu den korrigierbaren ist das vernachlässigbar.Mit den uncorrectables beim ofdm macht nix?