• Kunden aus Hessen und Nordrhein-Westfalen können über die Rufnummer 0221 / 466 191 00 Hilfe bei allen Problemen in Anspruch nehmen.
    Kunden aus Baden-Württemberg können über die Rufnummer 0711 / 54 888 150 Hilfe bei allen Problemen in Anspruch nehmen.

Unitymedia Technicolor TC4400 Docsis 3.1 Modem Info Thread

Diskutiere Technicolor TC4400 Docsis 3.1 Modem Info Thread im Internet und Telefon über das TV-Kabelnetz Forum im Bereich Internet und Telefon; Keine IDS/IPS aktiv, wegen Bufferbload habe ich FQ_Codel eingerichtet, damit komme ich dann auf ein A bis A+ Rating, aber das Trafic Shaping...
  • Technicolor TC4400 Docsis 3.1 Modem Info Thread Beitrag #8.201
Keine IDS/IPS aktiv, wegen Bufferbload habe ich FQ_Codel eingerichtet, damit komme ich dann auf ein A bis A+ Rating, aber das Trafic Shaping kostet schon ein wenig Speed, dafür reagiert die Leitung halt immer sauber und schnell auf Anfragen.
Schalte ich die Floating Roul ab, komme ich auf fast 440Mbit Down und 40 Up, also das passts.
Mit bin ich bei 370 Down und 39 UP, 10ms Ping bei
Das SG-3100 läuft mit 2.4.5p1 ohne den lage Tabel Bug wieder richtig sauber.

pfBlockerNG habe ich gerade mal deaktivert, hat auf die Streams keinen Einfluss.
Mit Edge kam die Meldung hingegen nicht, da liefen alle Strems an, scheint also am Browser zu liegen, obwohl Opera auf Chrome aufbaut hat der wohl immer noch seine Macken.
 
  • Technicolor TC4400 Docsis 3.1 Modem Info Thread Beitrag #8.202
Dann würde ich nichts Weiter unternehmen.
 
  • Technicolor TC4400 Docsis 3.1 Modem Info Thread Beitrag #8.203
Gibts für NRW eigentlich schon ein ca. Datum wann VF wieder die Frequenzen umlegt und dann den OFDM in untere Frequenzen schiebt?
 
  • Technicolor TC4400 Docsis 3.1 Modem Info Thread Beitrag #8.204
Kurze Frage in die runde.

Ich könnte ein gebrauchtes TC 4400 für 110€ bekommen.
Rechnung vom 28.11.18 Dabei.

würdet ihr ein Gebrauchtes Kaufen oder lieber nicht?

Danke schonmal im Vorraus.

Aktuell nutze ich ein VS und danach kommt Unifi Produkte zum einsatz.
 
  • Technicolor TC4400 Docsis 3.1 Modem Info Thread Beitrag #8.205
Warum solltest du das nicht kaufen? Der Verkäufer sollte nur darauf achten, dass es aus seinem Kundenkonto bei VFW entfernt wird uns sich das am besten schriftlich bestätigen lassen.
 
  • Technicolor TC4400 Docsis 3.1 Modem Info Thread Beitrag #8.206
Hätte ja sein können, das ihr sagt ne das ding ist zu Anfällig lieber direkt bei Kaufen weil man dort eine neue Version bekommt.

Dann werde ich denke mal Zuschlagen.
 
  • Technicolor TC4400 Docsis 3.1 Modem Info Thread Beitrag #8.207
Ich würde wegen ein paar Euro nicht riskieren dass das Modem nicht aktiviert werden kann weil es noch irgendwo hinterlegt ist.
 
  • Technicolor TC4400 Docsis 3.1 Modem Info Thread Beitrag #8.211
Bei Kleinanzeigen ist auch eins drinnen für 105€, habe schon mit dem Verkäufer Telefoniert.
Da wurde nix bei UM ausgetragen, das heisst du bekommst es wahrscheinlich nicht neu Provisioniert.
 
  • Technicolor TC4400 Docsis 3.1 Modem Info Thread Beitrag #8.212
  • Technicolor TC4400 Docsis 3.1 Modem Info Thread Beitrag #8.213
So ich habe mir jetzt eine TC 4400 bei Werner bestellt.

Will mir aber noch eine Unifi UDM Pro zulegen.
Will aber warten bis diese bei Amazon verfügbar ist.

Jetzt habe ich aber dann hinter dem TC 4400 kein router oder sonstiges.

Habe hier aber noch einen älteren PC mit einem i3 / 4gb ram und 2 gigabit LANports und würde solange darüber PFsens laufen lassen.Denke würde für den anfang langen oder?
 
  • Technicolor TC4400 Docsis 3.1 Modem Info Thread Beitrag #8.214
Ich habe meine alte 6490 bei meinen Eltern aktiviert bekommen, nachdem wir wegen Auszug vorzeitig kündigen mussten.
Aber die Technik war da auch ein wenig am nachschlagen, weil die erst aus dem alten Vertrag raus gebucht werden musste und dann konnte die neu in den anderen rein, hat aber geklappt.
Kommt halt immer auf den aktuellen Ansprechpartner an und was der so für Skills hat.

@Gianniblaze
Wenn das Intel NICs sind kein Problem bei Realtek kann es funktionieren aber es kann auch voll in die Hose gehen.
Da ließt man im Netgate Forum alles, von Crash über kein funktionierendes Offloading usw.
Aber es gibt da einen Treiber den man ggf. selber tauschen kann und mit dem einige Erfolg hatte und einen stabilen Betrieb realisieren konnten.
Da ich auf solche Experimente keine Lust hatte, habe ich mir ein Netgate ins Rack gestellt, das ist Sorgenfrei.
 
  • Technicolor TC4400 Docsis 3.1 Modem Info Thread Beitrag #8.215
Ich habe meine alte 6490 auch bei meinen Eltern Installiert bekommen, nah 10-12 Telefonaten und das Obwohl ich sie aus meinem Vertrag sauber raus löschen lassen habe.
War ein krampf, und die an der Hotline hören dir eh nicht zu und das als UM/VG TK 🙈.

Wie gesagt das mit dem PFsens soll ja nur eine übergangslösung sein bis meine UDM pro habe.
 
  • Technicolor TC4400 Docsis 3.1 Modem Info Thread Beitrag #8.216
So ich habe mir jetzt eine TC 4400 bei Werner bestellt.

Will mir aber noch eine Unifi UDM Pro zulegen.
Will aber warten bis diese bei Amazon verfügbar ist.

Jetzt habe ich aber dann hinter dem TC 4400 kein router oder sonstiges.

Habe hier aber noch einen älteren PC mit einem i3 / 4gb ram und 2 gigabit LANports und würde solange darüber PFsens laufen lassen.Denke würde für den anfang langen oder?
Absolut. Mit dem i3 bist Du sehr gut aufgestellt.
 
  • Technicolor TC4400 Docsis 3.1 Modem Info Thread Beitrag #8.217
Könnt Ihr ein gutes Anschlusskabel für das TC4400 empfehlen?
Am besten mit gewinkelten Stecker, direkt vor der MMD ist ein Schrank und es sind nur 10cm Platz.

Was ich so gelesen hatte sollte es möglichst kurz und 135dB (?) haben.
 
  • Technicolor TC4400 Docsis 3.1 Modem Info Thread Beitrag #8.218
Könnt Ihr ein gutes Anschlusskabel für das TC4400 empfehlen?
Am besten mit gewinkelten Stecker, direkt vor der MMD ist ein Schrank und es sind nur 10cm Platz.

Was ich so gelesen hatte sollte es möglichst kurz und 135dB (?) haben.

Die 135 dB sind wahrscheinklich das Schirmungsmaß des Kabels ... Ich mache mir Kabel in der Regel selber aus Kompressionssteckern und Kabel-Meterware...

Das kurze Kabel zwischen Modem und Anschlussdose ist nur in den Fällen ein Problem, wo man billigste Baumarktware mit angegossenen Kunststoffsteckern verwendet ...b Solange auf dem Kabel "A+" aufgedruckt ist, sollte man auf der sicheren Seite sein ...

Ich würde einen F-Winkeladapter separat kaufen, und "gerades" Kabel benutzen, z. B.
(Luxusversion mit durchgehendem Innenleiter)
(einfachere Version mit zwei Innenleitern, die im Winkel auf Stoß verlötet sind)

Und hier das Konfektionierte Kabel von 1 Meter Länge


Da sind alle Stecker/Adapter von Cablecon, und das Kabel selber ist von Ören...


Bei Amazon habe ich zwar auch Antennenkabel mit abgewinkeltem F-Stecker gesehen, da weiß ich aber nicht wie gut die sind..

https://www.amazon.de/dp/B07B67N34N/ref=twister_B07WG92ZZS
 
  • Technicolor TC4400 Docsis 3.1 Modem Info Thread Beitrag #8.219
Ich hab dann mal den ersten Winkeladapter und das Kabel bestellt.
Ich hatte bisher eins der verlinkten Kabel mit integrierten Winkel von Amazon, sah genauso aus nur von einem anderen Händler gelabelt.
Die werden alle vom gleichen Produktionsband fallen und dann unterschiedlich beschriftet.
Das Kabel war leider nicht so toll.
 
  • Technicolor TC4400 Docsis 3.1 Modem Info Thread Beitrag #8.220
Ich hab dann mal den ersten Winkeladapter und das Kabel bestellt.
Ich hatte bisher eins der verlinkten Kabel mit integrierten Winkel von Amazon, sah genauso aus nur von einem anderen Händler gelabelt.
Die werden alle vom gleichen Produktionsband fallen und dann unterschiedlich beschriftet.
Das Kabel war leider nicht so toll.

Berichte 'mal. ob die geänderte Verkabelung eine Verbesserung bringt, wenn Du umgebaut hast ...
 
  • Technicolor TC4400 Docsis 3.1 Modem Info Thread Beitrag #8.221
Ich habe grade das Amazon Kabel rausgeworfen und ein 30cm Kabel mit Cabencon Steckern montiert.
Das Kabel hatte ich noch von einem Unitymedia Splitter rumliegen.
Siehe da, der OFDM hat 10dB mehr SNR und wird sogar Bonded!

Klar ein Haufen unkorrigierbare Fehler, scheint aber für die meisten mit OFDM normal zu sein.
 

Anhänge

  • Bildschirmfoto 2020-01-08 um 20.28.05.png
    Bildschirmfoto 2020-01-08 um 20.28.05.png
    1,1 MB · Aufrufe: 27
  • Bildschirmfoto 2020-06-15 um 15.09.07.png
    Bildschirmfoto 2020-06-15 um 15.09.07.png
    1,1 MB · Aufrufe: 27
  • Technicolor TC4400 Docsis 3.1 Modem Info Thread Beitrag #8.222
Was war das bitte für ein Amazon Kabel? Foto oder Bezeichnung? Das sabotiert einen ja quasi. :eek:
 
  • Technicolor TC4400 Docsis 3.1 Modem Info Thread Beitrag #8.223
  • Technicolor TC4400 Docsis 3.1 Modem Info Thread Beitrag #8.224
Ich hatte eins mit dieser Bezeichnung, ist mittlerweile nicht mehr verfügbar:
Uplink - 2m 135dB HDTV Satellitenkabel 75 Ohm (90° gewinkelt) | Premium SAT Koaxialkabel | F-Stecker (gerade) zu F-Stecker (gewinkelt) | DVB-S, DVB-S
War schon auf halben Weg in den Müll...

Sieht ein bisschen anders aus, könnte aber auch am "Baujahr" liegen, meins ist/war aus 2016.
 

Anhänge

  • IMG_8229.png
    IMG_8229.png
    2,5 MB · Aufrufe: 18
  • Technicolor TC4400 Docsis 3.1 Modem Info Thread Beitrag #8.225
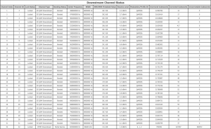
Also ich hab das hier https://www.amazon.de/gp/product/B06XXZWL43. Und das liefert folgende werte nach 20 Tagen Modem uptime
S9SEFv4.png

Dagegen mal das Kabel das bei einer Fritzbox 6490 dabei war
7Bryh8I.png


Also ich sehe da keinen Großen Unterschied, war dein Kabel vielleicht defekt oder nicht Richtig angeschlossen?
 
Thema:

Technicolor TC4400 Docsis 3.1 Modem Info Thread

Technicolor TC4400 Docsis 3.1 Modem Info Thread - Ähnliche Themen

Netgear CM2000 (US Modem): Dank DOCSIS 3.1 und dem dortigen Wegfall der Unterscheidung zwischen DOCSIS und EuroDOCSIS sind einige Modems aus den USA durchaus im Vodafone...
Unitymedia Technicolor CGA4233 Docsis 3.1 Router Info Tread: Wie auch schon bei TC4400 dient dieser Thread zum Sammeln von Informationen zum Technicolor CGA4233. Default login: user / VTmgQapcEUaE Link zum...
Unitymedia Kabelmodem Arris CM8200B: Moin, Das Arris CM8200B wurde hier schon gelegentlich erwähnt, aber nie vertiefend. Da bei mir seit ein paar Tagen eines herumsteht starte ich...
Unitymedia Cisco EPC3208 verliert immer Verbindung -> Vodafone Station als Lösung? (DOCSIS 3.1 schuld?): Nabend! Ich habe seit 25.11. plötzlich ein massives Problem mit meinem Anschluß, und könnte etwas Aufklärung von Insidern brauchen bevor ich zur...
Unitymedia [Q] Probleme mit Bridge Network Model Virtualisierungsserver: Hallo! Ich habe eine Virtualisierungsplattform mit Web-Oberfläche (Proxmox VE 3.3) aufgesetzt und den Server direkt mit dem Kabel-Gateway TC7200...
Oben