- Technicolor TC4400 Docsis 3.1 Modem Info Thread Beitrag #8.226
MichaelBre
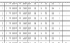
Also ich sehe da keinen Großen Unterschied, war dein Kabel vielleicht defekt oder nicht Richtig angeschlossen?
Das Kabel hat die letzten Jahre problemlos funktioniert und erst mittig zum Corona Wahnsinn gingen die Probleme los.
Daher hatte ich es erst auf die vielen Nutzer daheim geschoben.
Angeschlossen war es wie man es nunmal anschließen kann, dran und drehen bis es handfest ist.
Zumindest die kurzen Abbrüche von Streams sind weiterhin da...
Und der Graph bei IPv6 sieht nicht schön aus, könnte das ein Grund sein? Dann stell ich auf IPv4 only um.
https://www.thinkbroadband.com/broa...79f06f6f98b9e9508cf5b35528a67b73f9-15-06-2020
https://www.thinkbroadband.com/broa...44a0e4194215e63d3d7a439dcf3d7ad49f-15-06-2020
Zuletzt bearbeitet:

