- Technicolor TC4400 Docsis 3.1 Modem Info Thread Beitrag #8.126
rv112
- Beiträge
- 4.991
- Punkte Reaktionen
- 366
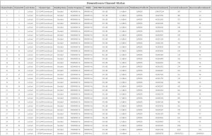
Hab ich, bis derjenige im Node sein Ingress verursachendes Gerät in Betrieb nimmt. MER liegt bei 35dB und QAM4096.
Follow along with the video below to see how to install our site as a web app on your home screen.
Anmerkung: This feature may not be available in some browsers.
Ich glaube @rv112gibt es hier überhaupt jemandem, der einen fehlerfreien OFDM Kanal anliegen hat?
Nee, im alten VF KDG Netz gibt es viele Anschlüsse, die so laufen, aber da liegt der empfindliche OFDM auch im unteren stabileren Frequenzbereich.das ist wahrscheinlich der einzige Anschluss im gesamten Vodafone netz![]()
Das TC4400 ist gerade in der oberen Netztechnik bekannt. Ebenso wie die OFDM Probleme.
Die Techniker die ich bisher hier hatte haben auch über das TC4400 geschimpft, auf die Frage ob die VF Hardware denn besser wäre bekam ich nur die Antwort das es seit Jahren keine guten CPEs mehr gibt und die VF noch viel größerer Bockmist wäre und die Hersteller qualitativ wohl Limbo tanzen.Ich höre immer nur Geschimpfe auf eigene Endgeräte, auch auf das TC4400.
Außer meinem Kollegen hab ich noch keinen Techniker erlebt der eigene Hardware gut findet.
Wobei ich auch Techniker von Tele Union bekomme, da schimpft sowieso jeder VF Techniker drüber.
Ist dieses Modem stabiler als das Fritzbox 6591? Kann man es ohne Problem mit dem Gigabit Tarif nutzen?
Die Leitungswerte sehen auf den ersten Blick gut aus. Würde das TC4400 unprovisioniert anschließen und dann noch mal ein Screenshot von dessen Werten posten.


Wenn du nicht zwingend Gründe für Asterisk hast bzw. nicht wirklich Erfahrung, dann installiere dir besser eine 3CX. Mit 50 Nebenstellen und 16 gleichzeitigen Gesprächen in der kostenlosen Standardlizenz vermutlich ausreichend. Du musst eigentlich nicht viel mehr machen, als die Nebenstellen einrichten und die Nummern zuweisen.Dann kann es endlich losgehen mit SIP / Asterisk basteln. Hat da jemand zufällig eine Seite, wo schon für Asterisk eine halbwegs fertige Konfiguration steht?
Hat da jemand zufällig eine Seite, wo schon für Asterisk eine halbwegs fertige Konfiguration steht?
Ja und Ja
Nein, geht nicht!Geht auch mit dem Business Tarif? Ich habe eine feste IP Adresse (/30 Netz).
Wenn du nicht zwingend Gründe für Asterisk hast bzw. nicht wirklich Erfahrung, dann installiere dir besser eine 3CX. Mit 50 Nebenstellen und 16 gleichzeitigen Gesprächen in der kostenlosen Standardlizenz vermutlich ausreichend. Du musst eigentlich nicht viel mehr machen, als die Nebenstellen einrichten und die Nummern zuweisen.
Habe das Ding auf einem passiv gekühlten Intel NUC zusammen mit einem Gigaset N510 IP pro laufen.
Geht auch mit dem Business Tarif? Ich habe eine feste IP Adresse (/30 Netz).
@ToniMaroni: Bei der Häufigkeit wie bei Dir im OFDM Kanal das Profil geswitcht wird, wird das Eventlog bald so voll sein, dass es ab dann (bis zum nächsten Modemneustart) leer erscheint. Hatte ich auch schon paar mal. Screenshot paar Seiten in diesem Thread weiter vorne.
Wegen CableHaunt: Hier kannst Du in Deinem Router hinterm Modem in der Firewall die ausgehenden Pakete Richtung private und Mgmt IP des TC4400 Modem auf Port 8080 blocken. Sieht dann zB bei OPNsense so aus wie im Screenshot (deine 10er IP musst Du in Deinem Modem auslesen und anpassen):
Anhang anzeigen 5532

Auffallend ist dass der Powerlevel im US komplett am Limit ist. Vermutlich ist Deine C-Linie von Ingress betroffen und wurde abgedämpft. Das fordert auch das Modem etwas mehr, was die erhöhte Temperatur erklären könnte. Der Temperaturbug ist spätestens mit der .41 gefixt worden. Wie steht das Modem denn? Meines hängt mit den LED's nach oben an der Wand und kommt auf 45 Grad an der wärmsten Stelle.
Oh ich sehe das macht wirklich keinen Sinn. Ich habe es nun dementsprechend angepasst:@ToniMaroni: Deine 3 Regeln in der Firewall sind nicht zielführend. Weder stimmt die Source IP noch der Source Port. Du musst Pakete aus Deinem LAN (ohne Source Port Angabe) auf den Port 8080 der 198.168.100.1 und der 10er Modem IP blockieren.
