• Kunden aus Hessen und Nordrhein-Westfalen können über die Rufnummer 0221 / 466 191 00 Hilfe bei allen Problemen in Anspruch nehmen.
    Kunden aus Baden-Württemberg können über die Rufnummer 0711 / 54 888 150 Hilfe bei allen Problemen in Anspruch nehmen.

Unitymedia Technicolor TC4400 Docsis 3.1 Modem Info Thread

Diskutiere Technicolor TC4400 Docsis 3.1 Modem Info Thread im Internet und Telefon über das TV-Kabelnetz Forum im Bereich Internet und Telefon; Ich habe ja HFC von der Telekom (nichts provisioniert, kein Vertrag, aber mein Modem mit 41er-Firmware synct) und die haben gerade die NE4 hinter...
  • Technicolor TC4400 Docsis 3.1 Modem Info Thread Beitrag #8.376
@Andreas1969: Genug heute missioniert für DSL aka Dt. Telekom ;)
Ich habe ja HFC von der Telekom (nichts provisioniert, kein Vertrag, aber mein Modem mit 41er-Firmware synct) und die haben gerade die NE4 hinter dem FTTB-RFoG-HÜP mit Ausnahme der Koaxkabel selbst komplett erneuert. Nun bin ich Mitte 2020 erstmals stolzer Besitzer einer echten Multimedia-Dose. 😂

Jetzt müssen die nur noch OFDM aufschalten (aktuell gibt es nur 16/4 QAM) und ich fange langsam an zu überlegen... Bis dahin bleibt's bei VDSL.
 
  • Technicolor TC4400 Docsis 3.1 Modem Info Thread Beitrag #8.377
Mich würde ja mal interessieren, was die 7590 jetzt beim VPN tatsächlich schafft?
Das könnte ich mangels entsprechenden Anschlüssen mit mehr UL nur lokal mit 2 Fritzen 7590 testen, hab hier aber keine 2 7590 rumliegen.
Kann dir gerne eine Juniper SSG20 schicken, wenn du ein Gegenstück brauchst. ;)
Im des SoC schweigen sie sich leider über den Durchsatz aus.
 
  • Technicolor TC4400 Docsis 3.1 Modem Info Thread Beitrag #8.378
Kann die 7590 denn mehr wie IKEv1 mit Aggressiv Mode?
 
  • Technicolor TC4400 Docsis 3.1 Modem Info Thread Beitrag #8.379
Könnt Ihr eure VPN Diskussion in einem eigenen Thread weiterführen?
Es geht hier weiterhin um das TC4400 :)
 
  • Technicolor TC4400 Docsis 3.1 Modem Info Thread Beitrag #8.380
Meine Frage, ob die TC4400 an Hausanschlüssen mit schwachem SNR/MER Werten stabiler, als die Fritzbox 6490 ist, hat auch noch niemand beantworten können ....
 
  • Technicolor TC4400 Docsis 3.1 Modem Info Thread Beitrag #8.381
Ist es! Beides hier im Haus vorhanden.
 
  • Technicolor TC4400 Docsis 3.1 Modem Info Thread Beitrag #8.382
So. Habe mein altes Modem von Werner wieder mit aktueller Firmware.
Bei UM um 19:00 angerufen und Modem aktivieren lassen. Laut Hotline ca. 1h
Bisher ist nichts passiert ? Noch immer no-service.bin :(
 
  • Technicolor TC4400 Docsis 3.1 Modem Info Thread Beitrag #8.383
Ist leider normal...
Meistens geht das TC4400 nicht durch den normalen Prozess und jemand aus der Technik muss Hand anlegen, wobei das bei der Menge mittlerweile unverständlich ist.
Bei uns werden Prozesse für viel weniger automatisiert :)

Mal eine andere Frage.
Was ist eigentlich diese ominöse Messung zum Modem beim Speedtest Plus und wie soll die beim TC4400 funktionieren?
Laut einer Info ist das eine Messung zwischen Modem und CMTS, daher aus meiner Sicht ohne Aussage und Augenwischerei...
 
  • Technicolor TC4400 Docsis 3.1 Modem Info Thread Beitrag #8.384
Na klasse.
Gerade nochmals angerufen .... da kann ich Ihnen leider nicht weiterhelfen. Versuchen Sie es am Montag bei der kaufmännischen Abteilung ....
 
  • Technicolor TC4400 Docsis 3.1 Modem Info Thread Beitrag #8.385
Laut einer Info ist das eine Messung zwischen Modem und CMTS, daher aus meiner Sicht ohne Aussage und Augenwischerei...


Ja die Messung ist sprichwörltich für die Katz und nichts aussagekräftig. Konnte das schon mehrmals nachstellen... Oftmals konnte ich Fehler beheben indem ich das Modem neu gestartet habe und es sich mit dem CMTS neu verbunden hat. Ich hatte nämlich teils schon mal Geschwindigkeitsprobleme dass mein Downloadspeed auf ca. 90 MBit begrenzt war bei einer 1000er Leitung. Nach einem Neustart des Modems war das Problem plötzlich behoben. Scheint sporadisch aufzutreten so ein Fehler.
 
  • Technicolor TC4400 Docsis 3.1 Modem Info Thread Beitrag #8.386
Das ist der UDP Test zum Modem wie im SBC möglich. Funktioniert auch seitdem das TC4400 voll unterstützt wird. Dabei wird mittels hoher Prio und UDP der Downstream gemessen. Darum bekommt man da dann selbst bei heftigem Ingress im Upstream traumhafte Werte suggeriert.

Nachtrag: der Test schlägt auf die IP des Modem auf und wird daher nicht bis zum Router durchgereicht. Daher sieht man dort vom Test auch nichts.
 
Zuletzt bearbeitet:
  • Technicolor TC4400 Docsis 3.1 Modem Info Thread Beitrag #8.387
Na klasse.
Gerade nochmals angerufen .... da kann ich Ihnen leider nicht weiterhelfen. Versuchen Sie es am Montag bei der kaufmännischen Abteilung ....
Das ist doch normal, die haben ihre Prozesse einfach nicht im Griff.
Das ist eine Zumutung für den Kunden 🤮
Echt traurig, dass der Service bei einem Big Player, wie VF es gerne sein möchte, so mies ist.
Das ist unterste Kiste!
 
  • Technicolor TC4400 Docsis 3.1 Modem Info Thread Beitrag #8.388
Hi, kann mir einer sagen wie gut die Werte sind?🤔

Screenshot_20200627-232954-01.jpeg
 
  • Technicolor TC4400 Docsis 3.1 Modem Info Thread Beitrag #8.389
Naja, geht so :rolleyes:
 
  • Technicolor TC4400 Docsis 3.1 Modem Info Thread Beitrag #8.390
Oha 😅 Die korriegierte Fehlerzahl des OFDM sind ja 10-Stellig, wie lange läuft das Modem denn schon?

@Andreas1969 Kurze Frage an dich, heute hat ein bekannter die 6591 von der Komfort-Option erhalten, die Box lief vielleicht ne Stunde und ich hab mich dann mal aufgeschaltet um ihm alles einzurichten und hab auch mal nach den Kabel-Werten geschaut. Ist alles soweit okay, bis auf den 538-Mhz Kanal der war bereits bei 44.000.000 nicht korrigierbaren Fehlern, die Zahl stieg auch gefühlt im Minuten-Takt um 1.000.000 an. Habe jetzt was von DVBT Einstrahlung gelesen, so genau bin ich da leider auch nicht drin 😅 Kann/Sollte man da was machen? Alle anderen Kanäle sind quasi Fehlerfrei gewesen. Performance ist auch da und Packet-Loss ist auch keiner vorhanden.
 
  • Technicolor TC4400 Docsis 3.1 Modem Info Thread Beitrag #8.391
Oha 😅 Die korriegierte Fehlerzahl des OFDM sind ja 10-Stellig, wie lange läuft das Modem denn schon?
puhhh bestimmt schon über 100 Tage

aber ist die Signalstärke ok? und wie senkt man diese Zahl?
 
  • Technicolor TC4400 Docsis 3.1 Modem Info Thread Beitrag #8.392
Signalstärke ist ok. Im Upstream etwas erhöht, aber nicht tragisch. Die Leitung sollte einwandfrei laufen.
 
  • Technicolor TC4400 Docsis 3.1 Modem Info Thread Beitrag #8.393
Oha 😅 Die korriegierte Fehlerzahl des OFDM sind ja 10-Stellig, wie lange läuft das Modem denn schon?
das ist ja halb so wild. Ich bin auf die nicht korregierbaren neidisch. Bei uns kommt der bis heute so rein und der upstream hat sich seit tagen auch wieder in den grenzbereich verschoben. Aber bislang läuft alles einwandfrei weiter, also mag ich mich nicht beschweren. never change a running system bei Kabel...
tghtrgh.JPG
 
  • Technicolor TC4400 Docsis 3.1 Modem Info Thread Beitrag #8.394
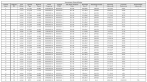
Ich habe heute mittag endlich den TC4400 provissioniert bekommen.

Bei meiner 1000/50 Tarif erreiche ich aber 250-400 / ~40.

Wenn ich mir die Pegeldaten anschaue, sieht etwa so aus als die Upload etwas an die Toleranzgrenze sich bewegt, aber komischerweise ist dieser Gut... Könntet Ihr ein Blick werfen? Wie findet Ihr folgende Werte? 🙂

Screenshot 2020-06-30 at 18.01.41.png

Screenshot 2020-06-30 at 18.01.47.png
 
  • Technicolor TC4400 Docsis 3.1 Modem Info Thread Beitrag #8.395
Die Werte sind gut, entweder ist das Segment dicht, oder Dein Rechner / Router ist zu schwach / falsch konfiguriert.
 
  • Technicolor TC4400 Docsis 3.1 Modem Info Thread Beitrag #8.396
Oder Ingress im Upload. Mal mittels UDP getestet? Was sagt der Modemtest? Wie konstant schnell ist der Upload? Mittels iperf und 0,1s Intervall testen (Upload).
 
  • Technicolor TC4400 Docsis 3.1 Modem Info Thread Beitrag #8.397
Die Werte sind gut, entweder ist das Segment dicht, oder Dein Rechner / Router ist zu schwach / falsch konfiguriert.
Danke. Router ist einen UniFi USG (IPS ist natürlich aus).

Oder Ingress im Upload. Mal mittels UDP getestet? Was sagt der Modemtest? Wie konstant schnell ist der Upload? Mittels iperf und 0,1s Intervall testen (Upload).

Etwa so?
Code:
iperf3 -c speedtest.wtnet.de -i 0.1 -u -R


Übrigens, was ist eigentlich den "Modemtest"? 🤔
 
  • Technicolor TC4400 Docsis 3.1 Modem Info Thread Beitrag #8.398
Ich glaube er meint den Speedtest von Unitymedia / VF, der macht bei weit unterschrittener Geschwindigkeit nen Modemspeedtest.

EDIT: Hast du bisher nur per iPerf getestet? Versuch mal bitte die Speedtest App.
 
  • Technicolor TC4400 Docsis 3.1 Modem Info Thread Beitrag #8.399
Ich glaube er meint den Speedtest von Unitymedia / VF, der macht bei weit unterschrittener Geschwindigkeit nen Modemspeedtest.

EDIT: Hast du bisher nur per iPerf getestet? Versuch mal bitte die Speedtest App.
Ich habe mehrere Test mit verschiende Rechnern bei speedtest, vodafone selbst und andere webseiten. Bei Vodafone, zeigt, egal ob ich den Rechner direkt an die Vodafone Station anschliesse, dass die Leitung bis der Modem ist 1000Gbit und den Fehler liegt bei meiner Netzwerk oder Rechner... ich bin aber skeptisch das sein eigene Reporttool für die Kunden die Wahrheit spricht und versuche alternative Wege es zu testen
 
  • Technicolor TC4400 Docsis 3.1 Modem Info Thread Beitrag #8.400
Übrigens, was bedeutet "Board Temperature -99.0 degrees Celsius" auf dem TC4400-Portal? 😳
 
Thema:

Technicolor TC4400 Docsis 3.1 Modem Info Thread

Technicolor TC4400 Docsis 3.1 Modem Info Thread - Ähnliche Themen

Netgear CM2000 (US Modem): Dank DOCSIS 3.1 und dem dortigen Wegfall der Unterscheidung zwischen DOCSIS und EuroDOCSIS sind einige Modems aus den USA durchaus im Vodafone...
Unitymedia Technicolor CGA4233 Docsis 3.1 Router Info Tread: Wie auch schon bei TC4400 dient dieser Thread zum Sammeln von Informationen zum Technicolor CGA4233. Default login: user / VTmgQapcEUaE Link zum...
Unitymedia Kabelmodem Arris CM8200B: Moin, Das Arris CM8200B wurde hier schon gelegentlich erwähnt, aber nie vertiefend. Da bei mir seit ein paar Tagen eines herumsteht starte ich...
Unitymedia Cisco EPC3208 verliert immer Verbindung -> Vodafone Station als Lösung? (DOCSIS 3.1 schuld?): Nabend! Ich habe seit 25.11. plötzlich ein massives Problem mit meinem Anschluß, und könnte etwas Aufklärung von Insidern brauchen bevor ich zur...
Unitymedia [Q] Probleme mit Bridge Network Model Virtualisierungsserver: Hallo! Ich habe eine Virtualisierungsplattform mit Web-Oberfläche (Proxmox VE 3.3) aufgesetzt und den Server direkt mit dem Kabel-Gateway TC7200...
Oben