• Kunden aus Hessen und Nordrhein-Westfalen können über die Rufnummer 0221 / 466 191 00 Hilfe bei allen Problemen in Anspruch nehmen.
    Kunden aus Baden-Württemberg können über die Rufnummer 0711 / 54 888 150 Hilfe bei allen Problemen in Anspruch nehmen.

Unitymedia Technicolor TC4400 Docsis 3.1 Modem Info Thread

Diskutiere Technicolor TC4400 Docsis 3.1 Modem Info Thread im Internet und Telefon über das TV-Kabelnetz Forum im Bereich Internet und Telefon; Ich hab den im Keller liegen aber noch nie montiert. Gekauft, bevor UM mit der OFDM Aufschaltung begann: https://www.amazon.de/gp/product/B00AY8QNQS/
  • Technicolor TC4400 Docsis 3.1 Modem Info Thread Beitrag #8.551
  • Technicolor TC4400 Docsis 3.1 Modem Info Thread Beitrag #8.552
VF sollte im UM Gebiet direkt hinter dem OFDM mal noch einen Docsis 3.0 Kanal aufschalten.
Dann könnte der Kunde selbst beurteilen, wie mies der OFDM reinkommt, bzw. nach hintenhin absäuft.
Da ja erst 31 von 32 Kanälen geschaltet sind, sollte dies ohne weiteres möglich sein.
Als Eckkanäle hätte man dann den 770 MHz und den 870 MHz als Referenz und kann sich so ein Bild zu dem OFDM Block von 778-862 MHz machen. :rolleyes:
Kommt der 870 MHz noch gut rein, ist alles in Butter und man braucht sich keine weiteren Gedanken zu machen, ist der aber extrem schlecht und gestört, besorgt man sich und steckt den OFDM Sperrfilter dazwischen und es ist auch alles in Butter. :)
 
  • Technicolor TC4400 Docsis 3.1 Modem Info Thread Beitrag #8.553
Den OFDM legt man ja extra in den kritischen Bereich, da der mit schlechtem SNR besser klar kommt als die SC-QAM.
 
  • Technicolor TC4400 Docsis 3.1 Modem Info Thread Beitrag #8.554
Mal den Aspekt alte Abzweiger, Kabel etc. in der C-Linie außer acht gelassen - würde sich nicht bei vielen OFDM-Anschlüssen mit schwachem Pegel sich das ganze nicht mittels Verstärker bzw. Schräglagenkorrektur + niedrigere Dämpfung auf dem Vorweg etwas kompensieren lassen?
Vermutlich sind doch viele "schlecht laufende" OFDM-Anschlüsse einfach auch noch nicht sauber eingepegelt?
 
  • Technicolor TC4400 Docsis 3.1 Modem Info Thread Beitrag #8.555
Andreas 1969
Bingo, Filter angeschlossen...und alles okay.Danke nochmals 😀
Ich hab den im Keller liegen aber noch nie montiert. Gekauft, bevor UM mit der OFDM Aufschaltung begann:

https://www.amazon.de/gp/product/B00AY8QNQS/
VF sollte im UM Gebiet direkt hinter dem OFDM mal noch einen Docsis 3.0 Kanal aufschalten.
Dann könnte der Kunde selbst beurteilen, wie mies der OFDM reinkommt, bzw. nach hintenhin absäuft.
Da ja erst 31 von 32 Kanälen geschaltet sind, sollte dies ohne weiteres möglich sein.
Als Eckkanäle hätte man dann den 770 MHz und den 870 MHz als Referenz und kann sich so ein Bild zu dem OFDM Block von 778-862 MHz machen. :rolleyes:
Kommt der 870 MHz noch gut rein, ist alles in Butter und man braucht sich keine weiteren Gedanken zu machen, ist der aber extrem schlecht und gestört, besorgt man sich und steckt den OFDM Sperrfilter dazwischen und es ist auch alles in Butter. :)

Sorry, aber ich kapiere nich ganz das mit dem Filtern... Woran erkenn man, ob einen Sperrfilter helfen kann?

Und noch eine zweite Frage: Kann man den "Downstream Start Frequency" anpassen, sodass die OFDM eine bestimmte Frequenz erreicht, z.B. die 870 MHz? Wurde das was bringen?
 
  • Technicolor TC4400 Docsis 3.1 Modem Info Thread Beitrag #8.556
Hier gibts auch mal wieder was neues.
Da seit der Umstellung auf Red Cabel 1000/50 am 1.7. hier immer nur rund 500MBit (Spitze 644MBit) ankommen, hatte ich heute noch mal mein Glück an der Hotline versucht, da mein OFDM von ehemals 32.2dB SNR auf aktuelle 24.5dB abgesoffen ist.
Der nette Herr der heute in der Hotline seinen Dienst verrichtete, hatte jedenfalls gleich geschaltet und eine Störung aufgenommen, der Unity eigene Speedtest war dann zwar auch noch notwendig, aber eher als Anhang weil es eben sein muss.
Dazu kommt noch, das seit Anfang an meine pfSense bei IPv6 rund 22% lost meldet.

Hat damit auch jemand Probleme oder habe ich in meiner pfSense was falsch eingestellt.
IPv6 Prefix Delegation ist auf 59 gestellt (NRW) und Send IPv6 prefix hint ist aktiv.
GW Monitor zielt dann auf mein Upstram v6 GW, was bei IPv4 auch fehlerfrei funktioniert und von echten Störungen und Modem Neustarts zwecks Fehlersuche immer 0% lost liefert.

Modem FW 70.12.41-180903
 
  • Technicolor TC4400 Docsis 3.1 Modem Info Thread Beitrag #8.557
Pingst Du bei beiden Gateways jeweils eine Adresse im Internet? Ich nutze da die Cloudflare DNS um gleiche Ergebnisse zu erhalten.
 
  • Technicolor TC4400 Docsis 3.1 Modem Info Thread Beitrag #8.558
Gute Idee, habe dann den WAN Lease noch mal verworfen und neu gezogen, dann auf LAN Track Int aktiviert und mein PC bekommt so eine v6 und kann damit auch surfen.

Das passt also schon mal.

Behalten den Loss jetzt erstmal weiter im Auge, geht aber runter und ist bei 2-5%, aber immer noch nicht bei 0 wo er sein sollte.
 
  • Technicolor TC4400 Docsis 3.1 Modem Info Thread Beitrag #8.559
Ich meinte was Du bei den Gateways als Monitoring IP eingestellt hast. Diese sollte das gleiche Ziel haben.
 
  • Technicolor TC4400 Docsis 3.1 Modem Info Thread Beitrag #8.560
Ich hatte mein von Provider zugewiesenes Upstream GW hinterlegt, also first Hop.
Jetzt ist es der identische Cloudflare DNS.
 
  • Technicolor TC4400 Docsis 3.1 Modem Info Thread Beitrag #8.561
Gut. Kann sein dass das ISP GW auch Pakete verwirft, darum der Tipp.
 
  • Technicolor TC4400 Docsis 3.1 Modem Info Thread Beitrag #8.562
Woran erkenn man, ob einen Sperrfilter helfen kann?
Helfen kann er dann, wenn man vorher analysiert hat, dass Probleme hauptsächlich bzw. ausschließlich von diesem "Kanal" her stammen. Mit dem Filter blendet man den Bereich dann aus, wodurch der gesamte Traffic nur noch über die anderen Kanäle läuft.

Ich hab zB auch nach x Tagen 0 uncorrectables auf den Kanälen 1 bis 24 aber auf dem OFDM doch eine stattliche Anzahl davon. Der SNR liegt bei mir immer so um die 34dB. Könnte jetzt zB versuchen mit nem Filter nur auf den 24 Kanälen zu fahren.
 
  • Technicolor TC4400 Docsis 3.1 Modem Info Thread Beitrag #8.563
Helfen kann er dann, wenn man vorher analysiert hat, dass Probleme hauptsächlich bzw. ausschließlich von diesem "Kanal" her stammen. Mit dem Filter blendet man den Bereich dann aus, wodurch der gesamte Traffic nur noch über die anderen Kanäle läuft.

Ich hab zB auch nach x Tagen 0 uncorrectables auf den Kanälen 1 bis 24 aber auf dem OFDM doch eine stattliche Anzahl davon. Der SNR liegt bei mir immer so um die 34dB. Könnte jetzt zB versuchen mit nem Filter nur auf den 24 Kanälen zu fahren.
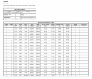
Ich habe gerade mit einem Filter probiert... Sollte dann theoretisch besser bzw. stabiler mit dem Sperrfilter laufen?

Ich kann noch keine Verbesserung bei dem anderen Kanälen spüren...

(Bild 1 ohne / Bild 2 mit Sperrfilter)
1 ohne.png 2 mit Sperrfilter.png
 
Zuletzt bearbeitet:
  • Technicolor TC4400 Docsis 3.1 Modem Info Thread Beitrag #8.564
Die anderen Kanäle werden durch den Sperrfilter nicht besser.
Es wird lediglich der OFDM Block auf 790MHz ausgeblendet und der Traffic läuft über die verbliebenen 3.0 Kanäle.
Wenn der OFDM Block sehr schlecht läuft, kann das helfen den Anschluss im ganzen zu stabilisieren.
 
  • Technicolor TC4400 Docsis 3.1 Modem Info Thread Beitrag #8.565
Ich habe gerade mit einem Filter probiert
Bei Deinen relativ guten OFDM Werten sehe ich gar keinen Grund für einen Sperrfilter. Hast Du denn Probleme mit der Leitung oder was versuchst Du zu erreichen?
 
  • Technicolor TC4400 Docsis 3.1 Modem Info Thread Beitrag #8.566
Messungen mit iperf3 , speedtest.net und speedtest.unitymedia.de weichen enorm ab, selbst wenn den laptop am Router oder am Modem direkt angeschlossen wird.

Ich versuche, das beste aus der Leitung rauszuholen, natürlich ;)

Nachtrag: Hier einen Beispiel der Messungen bei speedtest.vodafone.de
 

Anhänge

  • Screenshot 2020-07-19 at 15.00.32.png
    Screenshot 2020-07-19 at 15.00.32.png
    220,4 KB · Aufrufe: 19
  • Technicolor TC4400 Docsis 3.1 Modem Info Thread Beitrag #8.567
haste mal mit linux gegen getestet ? häufig ist das Windows auch der Verursacher dieser Probleme bzw alte hardware.
vorallem notebooks sind meistens recht schwachbrüstig wenn sie etwas älter sind.
 
  • Technicolor TC4400 Docsis 3.1 Modem Info Thread Beitrag #8.568
Kann ich nur bestätigen, irgendwie mag Windows mit Gigabit nicht so recht wenn die Latenz höher als 1ms ist. Mein Windows erreichte auch nur kack Werte. Selbst nach einer Neuinstallation wollte das nicht out of the box richtig rund laufen. Siehe:
Ok hier muss ich Unitymedia mal in Schutz nehmen, die Leitung liegt voll an und es liegt an Windows, unter Linux auf dem selben PC macht die Leitung Fullspeed.
Windows:
8SaDXn8.jpg

Linux:
1iK7mh9.png


Mein Problem ist jetzt das ich langsam echt nicht mehr weiss wie ich das fixen soll. Ich hab den die NIC samt Treiber gelöscht übern Geräte-Manager, hab die Intel Treiber manuell drüber gebügelt, bisher hab ich von Sachen wie TCP optimizer die Finger gelassen, hat es auch eher verschlechtert als verbessert. Ich hab einen USB3 to gigabit ethernet Adapter ausprobiert, selbes Bild.
Mir bleibt wohl nur noch Windows neu zu installieren. Oder Windows einfach ganz Goodbye zu sagen.
Problem ist mit allen Browsern und Iperf3 reproduzierbar.

Falls wer noch irgendwelche Ideen hat wäre ich Dankbar, NIC ist eine Intel I219-V
Ich hab es jetzt mit frisch installiertem Windows 10 und TCP optimizer hinbekommen das ich auch mit windows einigermaßen Stabil gigabit throughput hinbekomme.
 
  • Technicolor TC4400 Docsis 3.1 Modem Info Thread Beitrag #8.569
Ich nutze eigentlich einen Macbook Pro. Kein Windows.
 
  • Technicolor TC4400 Docsis 3.1 Modem Info Thread Beitrag #8.570
Auf meinem MacPro hab ich auch keine Probleme mit Speed :)
Das Firmenlaptop mit Windows stellt sich da schon mehr an...
 
  • Technicolor TC4400 Docsis 3.1 Modem Info Thread Beitrag #8.571
Gestern war ein Techniker hier und hat einen anderen Verstärker verbaut und die Schräglage soweit es ihm möglich war ausgeglichen.

Das Signal kommt aber wohl so mies rein, dass er eine Störung im Außenbereich gemeldet hat und daraufhin habe ich gleich einen Anruf erhalten dass gleich heute noch mal ein Techniker raus kommt um dieser nach zu gesehen.
Die 3.0 Kanäle sehen soweit gut aus, der OFDM ist total verrauscht, -24dbm zum Teil.

Laut CMTS schwanken die Werte auch sehr start.

Er war aber vom TC4400 recht angetan, es scheint wirklich gute Signalwerte zu liefern und handelt sich auch schnell aus.
Ist halt ein gutes Modem, hoffe das es dann morgen hier rund geht und bei Bedarf auch mal das GBit aus der Dose kommt.
 
  • Technicolor TC4400 Docsis 3.1 Modem Info Thread Beitrag #8.572
Ok die beiden Jungs waren kurz da, haben den Fall im Bereich der Straße ermittelt und werden jetzt wohl anfangen Abzweiger oder einen Verteiler zu tauschen, das wird jetzt ermittelt.

2 Häuser weiter ist jedenfalls mit dem OFDM noch alles Ok, aber hier als letzt Hütte ist es dann vorbei :-(
Bin guter Dinge, wenn es nicht mal 100m weiter noch passt, sollte es ja hier auch sauber rein kommen können, wenn die Strecke davor repariert ist.

So viel also noch mal zu der ersten Dame an der Hotline, das liegt an meinem Netzwerk, is klar.
Also lasst euch nicht abwimmeln und ruft wieder an, Samstag morgen hat es bei mir sogar ohne Wartezeit geklappt und ich hatte einen technisch begabten Mitarbeiter am Rohr.
 
  • Technicolor TC4400 Docsis 3.1 Modem Info Thread Beitrag #8.573
2 Häuser weiter ist jedenfalls mit dem OFDM noch alles Ok, aber hier als letzt Hütte ist es dann vorbei :-(

Das Spielchen hab ich auch schon hinter mir.
Zwei Abzweiger und zwei Verteiler später ist der OFDM zwar bei 32dB, knallt aber weiterhin einen Haufen unkorrigierbarer Fehler rein.

Ich drück die Daumen!
 
  • Technicolor TC4400 Docsis 3.1 Modem Info Thread Beitrag #8.574
Danke, kann ich sicherlich gebrauchen, ich hoffe noch auf das beste.

Denn er war mal eine Zeit lang ganz gut, kam auch mit dem total schiefen Pegel hier mit 32-33dB rein, dann ist er jedoch vor kurzem abgesoffen.
Da muss also irgendwo was geschossen sein.

Aber aktuell kann ich über den Service da jedenfalls nicht meckern, die kümmern sich gerade echt gut und ein Totalausfall habe ich ja auch nicht, so sollen die das ruhig in Ruhe und dafür gescheit angehen.
 
  • Technicolor TC4400 Docsis 3.1 Modem Info Thread Beitrag #8.575
Hallo in die Runde,

Bin jetzt auch der Gruppe der TC4400 User beigetreten. Hintergrund war eigentlich voralldingen das fehlen eines Bridge Mode und das Fehlen der DHCP abschlatung oder ggf. DNS-Server Änderungen (konnte PiHole nicht mehr benutzen) auf der Vodafone Kiste. Bin aber mit dem Teil in Verbindung mit einer USG sehr zufrieden (schon allein deswegen dass ich Pihole wieder im Einsatz habe)

Ich hatte nebenan massive Probleme mit meinem Anschluss.
Beim ersten Anruf wurde nicht mal ein Ticket aufgemacht obwohl das Gegenteil behauptet wurde. Bei einem neuen Anruf konnte der MA nichts finden.
Auf jeden Fall war dann ein externer Techniker bei uns Zuhause und hat den Anschluss gemessen : OFDM extrem schwach an und beim Modem hatte ich ein SNR bei 25 dB. Ein Woche später hat VF dann vor dem Haus den Bürgersteig aufgemacht und einen Abzweiger ausgetaucht und das Ticket geschlossen ohne dass sich bei SNR großartig etwas ändert.

Neuer Anruf beim KD meinte der MA dass der Anschluss nur noch neu eingepegelt werden müsste. Techniker war wieder da : nichts mit Einpegeln, da ist kommt nur Schrott aus der Leitung. Zwei Wochen später hat VF gleich 4 Abweiger nach einander ausgetaucht (ohne da großartig vorzuwarnen : ist immer nett, schaust aus dem Fenster und da kommt einer mit der großen Zange und weg ist die Verbindung). Beim letzten Abzweig hat sich etwas geändert, Pegel ist um 6dB gestiegen und der SNR des OFDM auf 30 dB gekommen.

Bild ist folgendes (nach 3 Tage Uptime) :
1595586913202.png

1595586954022.png

Die SC-QAM channels liegen mit zwischen ca. 5-9 dBmV an und der OFDM Channel mit 1 dBmV. Was mich etwas verstört sind die höhen Uncorrectables Errors (konnte ja man nicht mit der Vodafone Station nicht sehen). Habe beim KD nochmal angerufen, der MA meinte das Ticket wäre geschlossen und die Werte sein "völlig" in Ordnung.
Frage in die Runde : ich habe jetzt vorbei Videokonferenzen weniger als Aussetzer als früher aber immer noch. Kann man sich mit diesen Werten zufriedenstellen (ich habe verstanden dass die OFDM Kanäle immer mehr Fehler haben) ?

Letzter Punkt : ich habe heute morgen ein Schreiben VF bekommen dass ich die Vodafone Kiste zurückschicken sollte da ich ja jetzt ein eigenes Modem habe. Ich war fest davon überzeugt dass man die Provider Kiste behalten sollte falls etwas ist ? oder wurdet ihr auch aufgefordert das Teil zurückzuschicken ?

Danke schon mal und schöner Tag.
 
Thema:

Technicolor TC4400 Docsis 3.1 Modem Info Thread

Technicolor TC4400 Docsis 3.1 Modem Info Thread - Ähnliche Themen

Netgear CM2000 (US Modem): Dank DOCSIS 3.1 und dem dortigen Wegfall der Unterscheidung zwischen DOCSIS und EuroDOCSIS sind einige Modems aus den USA durchaus im Vodafone...
Unitymedia Technicolor CGA4233 Docsis 3.1 Router Info Tread: Wie auch schon bei TC4400 dient dieser Thread zum Sammeln von Informationen zum Technicolor CGA4233. Default login: user / VTmgQapcEUaE Link zum...
Unitymedia Kabelmodem Arris CM8200B: Moin, Das Arris CM8200B wurde hier schon gelegentlich erwähnt, aber nie vertiefend. Da bei mir seit ein paar Tagen eines herumsteht starte ich...
Unitymedia Cisco EPC3208 verliert immer Verbindung -> Vodafone Station als Lösung? (DOCSIS 3.1 schuld?): Nabend! Ich habe seit 25.11. plötzlich ein massives Problem mit meinem Anschluß, und könnte etwas Aufklärung von Insidern brauchen bevor ich zur...
Unitymedia [Q] Probleme mit Bridge Network Model Virtualisierungsserver: Hallo! Ich habe eine Virtualisierungsplattform mit Web-Oberfläche (Proxmox VE 3.3) aufgesetzt und den Server direkt mit dem Kabel-Gateway TC7200...
Oben