- Technicolor TC4400 Docsis 3.1 Modem Info Thread Beitrag #8.851
Soldierofoc
Warum bist du da unsicher?
Das ist eindeutig eine Störung..... melde das in nem Störungsticket.
Das ist eindeutig eine Störung..... melde das in nem Störungsticket.
Follow along with the video below to see how to install our site as a web app on your home screen.
Anmerkung: This feature may not be available in some browsers.

{ "annotations": { "list": [ { "builtIn": 1, "datasource": "-- Grafana --", "enable": true, "hide": true, "iconColor": "rgba(0, 211, 255, 1)", "name": "Annotations & Alerts", "type": "dashboard" } ] }, "description": "DOCSIS Cable Modem", "editable": true, "gnetId": null, "graphTooltip": 0, "id": 5, "links": [], "panels": [ { "datasource": null, "gridPos": { "h": 1, "w": 24, "x": 0, "y": 0 }, "id": 20, "title": "Row title", "type": "row" }, { "aliasColors": {}, "bars": true, "dashLength": 10, "dashes": false, "datasource": "Prometheus", "decimals": 1, "fieldConfig": { "defaults": { "custom": {}, "links": [] }, "overrides": [] }, "fill": 0, "fillGradient": 0, "gridPos": { "h": 6, "w": 17, "x": 0, "y": 1 }, "hiddenSeries": false, "id": 4, "legend": { "alignAsTable": true, "avg": false, "current": true, "max": false, "min": false, "rightSide": true, "show": false, "total": false, "values": true }, "lines": false, "linewidth": 1, "nullPointMode": "null", "percentage": false, "pluginVersion": "7.1.1", "pointradius": 2, "points": false, "renderer": "flot", "seriesOverrides": [], "spaceLength": 10, "stack": false, "steppedLine": false, "targets": [ { "expr": "tc4400_downstream_snr_threshold_db", "instant": true, "legendFormat": "{{channel}}", "refId": "A" } ], "thresholds": [], "timeFrom": null, "timeRegions": [], "timeShift": null, "title": "Receive SNR/MER Threshold Value", "tooltip": { "shared": false, "sort": 0, "value_type": "individual" }, "type": "graph", "xaxis": { "buckets": null, "mode": "series", "name": null, "show": true, "values": [ "current" ] }, "yaxes": [ { "decimals": 1, "format": "dB", "label": "", "logBase": 1, "max": null, "min": null, "show": true }, { "format": "short", "label": null, "logBase": 1, "max": null, "min": null, "show": true } ], "yaxis": { "align": false, "alignLevel": null } }, { "columns": [], "datasource": "Prometheus", "fieldConfig": { "defaults": { "custom": {} }, "overrides": [] }, "fontSize": "90%", "gridPos": { "h": 12, "w": 7, "x": 17, "y": 1 }, "id": 15, "pageSize": null, "scroll": true, "showHeader": true, "sort": { "col": 1, "desc": false }, "styles": [ { "alias": "Time", "align": "auto", "dateFormat": "YYYY-MM-DD HH:mm:ss", "pattern": "Time", "type": "hidden" }, { "alias": "Channel ID", "align": "auto", "colorMode": null, "colors": [ "rgba(245, 54, 54, 0.9)", "rgba(237, 129, 40, 0.89)", "rgba(50, 172, 45, 0.97)" ], "dateFormat": "YYYY-MM-DD HH:mm:ss", "decimals": 0, "mappingType": 1, "pattern": "channel", "thresholds": [], "type": "number", "unit": "short" }, { "alias": "Locked", "align": "auto", "colorMode": "value", "colors": [ "rgba(245, 54, 54, 0.9)", "rgba(237, 129, 40, 0.89)", "rgba(50, 172, 45, 0.97)" ], "dateFormat": "YYYY-MM-DD HH:mm:ss", "decimals": 2, "mappingType": 1, "pattern": "Value #B", "thresholds": [ "0.5", "0.8" ], "type": "string", "unit": "short", "valueMaps": [ { "text": "Locked", "value": "1" }, { "text": "Not Locked", "value": "0" } ] }, { "alias": "Bonded", "align": "auto", "colorMode": "value", "colors": [ "rgba(245, 54, 54, 0.9)", "rgba(237, 129, 40, 0.89)", "rgba(50, 172, 45, 0.97)" ], "dateFormat": "YYYY-MM-DD HH:mm:ss", "decimals": 2, "mappingType": 1, "pattern": "Value #C", "thresholds": [ "0.5", "0.8" ], "type": "string", "unit": "short", "valueMaps": [ { "text": "Bonded", "value": "1" }, { "text": "Not Bonded", "value": "0" } ] }, { "alias": "Type", "align": "auto", "colorMode": null, "colors": [ "rgba(245, 54, 54, 0.9)", "rgba(237, 129, 40, 0.89)", "rgba(50, 172, 45, 0.97)" ], "dateFormat": "YYYY-MM-DD HH:mm:ss", "decimals": 2, "mappingType": 1, "pattern": "type", "thresholds": [], "type": "string", "unit": "short" }, { "alias": "", "align": "auto", "colorMode": null, "colors": [ "rgba(245, 54, 54, 0.9)", "rgba(237, 129, 40, 0.89)", "rgba(50, 172, 45, 0.97)" ], "dateFormat": "YYYY-MM-DD HH:mm:ss", "decimals": 2, "mappingType": 1, "pattern": "Value #D", "thresholds": [], "type": "hidden", "unit": "short" }, { "alias": "SNR", "align": "auto", "colorMode": null, "colors": [ "rgba(245, 54, 54, 0.9)", "rgba(237, 129, 40, 0.89)", "rgba(50, 172, 45, 0.97)" ], "dateFormat": "YYYY-MM-DD HH:mm:ss", "decimals": 1, "mappingType": 1, "pattern": "Value #E", "thresholds": [], "type": "number", "unit": "dB" }, { "alias": "", "align": "auto", "colorMode": null, "colors": [ "rgba(245, 54, 54, 0.9)", "rgba(237, 129, 40, 0.89)", "rgba(50, 172, 45, 0.97)" ], "dateFormat": "YYYY-MM-DD HH:mm:ss", "decimals": 2, "mappingType": 1, "pattern": "Value #F", "thresholds": [], "type": "hidden", "unit": "short" }, { "alias": "Modulation", "align": "auto", "colorMode": null, "colors": [ "rgba(245, 54, 54, 0.9)", "rgba(237, 129, 40, 0.89)", "rgba(50, 172, 45, 0.97)" ], "dateFormat": "YYYY-MM-DD HH:mm:ss", "decimals": 2, "mappingType": 1, "pattern": "modulation", "thresholds": [], "type": "string", "unit": "short" }, { "alias": "Center Frequency", "align": "auto", "colorMode": null, "colors": [ "rgba(245, 54, 54, 0.9)", "rgba(237, 129, 40, 0.89)", "rgba(50, 172, 45, 0.97)" ], "dateFormat": "YYYY-MM-DD HH:mm:ss", "decimals": 1, "mappingType": 1, "pattern": "Value #A", "thresholds": [], "type": "number", "unit": "hertz" }, { "alias": "", "align": "auto", "colorMode": null, "colors": [ "rgba(245, 54, 54, 0.9)", "rgba(237, 129, 40, 0.89)", "rgba(50, 172, 45, 0.97)" ], "decimals": 2, "pattern": "/.*/", "thresholds": [], "type": "number", "unit": "short" } ], "targets": [ { "expr": "avg(tc4400_downstream_center_frequency_hz) by (channel)", "format": "table", "instant": true, "refId": "A" }, { "expr": "avg(tc4400_downstream_locked) by (channel)", "format": "table", "instant": true, "refId": "B" }, { "expr": "avg(tc4400_downstream_bonded) by (channel)", "format": "table", "instant": true, "refId": "C" }, { "expr": "avg(tc4400_downstream_channel_type) by (channel,type)", "format": "table", "instant": true, "refId": "D" }, { "expr": "avg(tc4400_downstream_snr_threshold_db) by (channel)", "format": "table", "instant": true, "refId": "E" }, { "expr": "avg(tc4400_downstream_modulation) by (channel,modulation)", "format": "table", "instant": true, "refId": "F" } ], "timeFrom": null, "timeShift": null, "title": "Downstream Channel Status", "transform": "table", "type": "table-old" }, { "aliasColors": {}, "bars": true, "dashLength": 10, "dashes": false, "datasource": "Prometheus", "decimals": 1, "fieldConfig": { "defaults": { "custom": {}, "links": [] }, "overrides": [] }, "fill": 0, "fillGradient": 0, "gridPos": { "h": 6, "w": 17, "x": 0, "y": 7 }, "hiddenSeries": false, "id": 2, "legend": { "alignAsTable": true, "avg": false, "current": true, "max": false, "min": false, "rightSide": true, "show": false, "total": false, "values": true }, "lines": false, "linewidth": 1, "nullPointMode": "null", "percentage": false, "pluginVersion": "7.1.1", "pointradius": 2, "points": false, "renderer": "flot", "seriesOverrides": [], "spaceLength": 10, "stack": false, "steppedLine": false, "targets": [ { "expr": "tc4400_downstream_receive_level_dbmv", "instant": true, "legendFormat": "{{channel}}", "refId": "A" } ], "thresholds": [], "timeFrom": null, "timeRegions": [], "timeShift": null, "title": "Receive Level (dBmV)", "tooltip": { "shared": false, "sort": 0, "value_type": "individual" }, "type": "graph", "xaxis": { "buckets": null, "mode": "series", "name": null, "show": true, "values": [ "current" ] }, "yaxes": [ { "decimals": 1, "format": "dBm", "label": null, "logBase": 1, "max": null, "min": null, "show": true }, { "format": "short", "label": null, "logBase": 1, "max": null, "min": null, "show": true } ], "yaxis": { "align": false, "alignLevel": null } }, { "aliasColors": {}, "bars": false, "dashLength": 10, "dashes": false, "datasource": "Prometheus", "fieldConfig": { "defaults": { "custom": {}, "links": [] }, "overrides": [] }, "fill": 0, "fillGradient": 0, "gridPos": { "h": 6, "w": 14, "x": 0, "y": 13 }, "hiddenSeries": false, "id": 11, "legend": { "avg": false, "current": false, "max": false, "min": false, "show": false, "total": false, "values": false }, "lines": true, "linewidth": 1, "nullPointMode": "null", "percentage": false, "pluginVersion": "7.1.1", "pointradius": 2, "points": false, "renderer": "flot", "seriesOverrides": [], "spaceLength": 10, "stack": false, "steppedLine": false, "targets": [ { "expr": "irate(tc4400_downstream_codewords_unerrored_total[5m])", "format": "time_series", "legendFormat": "CH{{channel}}", "refId": "A" } ], "thresholds": [], "timeFrom": null, "timeRegions": [], "timeShift": null, "title": "Downstream Unerrored Codewords", "tooltip": { "shared": false, "sort": 0, "value_type": "individual" }, "type": "graph", "xaxis": { "buckets": null, "mode": "time", "name": null, "show": true, "values": [] }, "yaxes": [ { "decimals": 0, "format": "wps", "label": null, "logBase": 1, "max": null, "min": "0", "show": true }, { "format": "short", "label": null, "logBase": 1, "max": null, "min": null, "show": true } ], "yaxis": { "align": false, "alignLevel": null } }, { "aliasColors": {}, "bars": true, "dashLength": 10, "dashes": false, "datasource": "Prometheus", "decimals": 1, "fieldConfig": { "defaults": { "custom": {}, "links": [] }, "overrides": [] }, "fill": 0, "fillGradient": 0, "gridPos": { "h": 6, "w": 3, "x": 14, "y": 13 }, "hiddenSeries": false, "id": 3, "legend": { "alignAsTable": true, "avg": false, "current": true, "max": false, "min": false, "rightSide": true, "show": false, "total": false, "values": true }, "lines": false, "linewidth": 1, "nullPointMode": "null", "percentage": false, "pluginVersion": "7.1.1", "pointradius": 2, "points": false, "renderer": "flot", "seriesOverrides": [], "spaceLength": 10, "stack": false, "steppedLine": false, "targets": [ { "expr": "tc4400_upstream_transmit_level_dbmv", "instant": true, "legendFormat": "{{channel}}", "refId": "A" } ], "thresholds": [], "timeFrom": null, "timeRegions": [], "timeShift": null, "title": "Transmit Level (dBmV)", "tooltip": { "shared": false, "sort": 0, "value_type": "individual" }, "type": "graph", "xaxis": { "buckets": null, "mode": "series", "name": null, "show": true, "values": [ "current" ] }, "yaxes": [ { "decimals": 1, "format": "dBm", "label": "", "logBase": 1, "max": null, "min": null, "show": true }, { "format": "short", "label": null, "logBase": 1, "max": null, "min": null, "show": true } ], "yaxis": { "align": false, "alignLevel": null } }, { "columns": [], "datasource": "Prometheus", "fieldConfig": { "defaults": { "custom": {} }, "overrides": [] }, "fontSize": "90%", "gridPos": { "h": 6, "w": 7, "x": 17, "y": 13 }, "id": 16, "pageSize": null, "scroll": true, "showHeader": true, "sort": { "col": 1, "desc": false }, "styles": [ { "alias": "Time", "align": "auto", "dateFormat": "YYYY-MM-DD HH:mm:ss", "pattern": "Time", "type": "hidden" }, { "alias": "Channel ID", "align": "auto", "colorMode": null, "colors": [ "rgba(245, 54, 54, 0.9)", "rgba(237, 129, 40, 0.89)", "rgba(50, 172, 45, 0.97)" ], "dateFormat": "YYYY-MM-DD HH:mm:ss", "decimals": 0, "mappingType": 1, "pattern": "channel", "thresholds": [], "type": "number", "unit": "short" }, { "alias": "Locked", "align": "auto", "colorMode": "value", "colors": [ "rgba(245, 54, 54, 0.9)", "rgba(237, 129, 40, 0.89)", "rgba(50, 172, 45, 0.97)" ], "dateFormat": "YYYY-MM-DD HH:mm:ss", "decimals": 2, "mappingType": 1, "pattern": "Value #B", "thresholds": [ "0.5", "0.8" ], "type": "string", "unit": "short", "valueMaps": [ { "text": "Locked", "value": "1" }, { "text": "Not Locked", "value": "0" } ] }, { "alias": "Bonded", "align": "auto", "colorMode": "value", "colors": [ "rgba(245, 54, 54, 0.9)", "rgba(237, 129, 40, 0.89)", "rgba(50, 172, 45, 0.97)" ], "dateFormat": "YYYY-MM-DD HH:mm:ss", "decimals": 2, "mappingType": 1, "pattern": "Value #C", "thresholds": [ "0.5", "0.8" ], "type": "string", "unit": "short", "valueMaps": [ { "text": "Bonded", "value": "1" }, { "text": "Not Bonded", "value": "0" } ] }, { "alias": "Type", "align": "auto", "colorMode": null, "colors": [ "rgba(245, 54, 54, 0.9)", "rgba(237, 129, 40, 0.89)", "rgba(50, 172, 45, 0.97)" ], "dateFormat": "YYYY-MM-DD HH:mm:ss", "decimals": 2, "mappingType": 1, "pattern": "type", "thresholds": [], "type": "string", "unit": "short" }, { "alias": "", "align": "auto", "colorMode": null, "colors": [ "rgba(245, 54, 54, 0.9)", "rgba(237, 129, 40, 0.89)", "rgba(50, 172, 45, 0.97)" ], "dateFormat": "YYYY-MM-DD HH:mm:ss", "decimals": 2, "mappingType": 1, "pattern": "Value #D", "thresholds": [], "type": "hidden", "unit": "short" }, { "alias": "Width", "align": "auto", "colorMode": null, "colors": [ "rgba(245, 54, 54, 0.9)", "rgba(237, 129, 40, 0.89)", "rgba(50, 172, 45, 0.97)" ], "dateFormat": "YYYY-MM-DD HH:mm:ss", "decimals": 1, "mappingType": 1, "pattern": "Value #E", "thresholds": [], "type": "number", "unit": "hertz" }, { "alias": "", "align": "auto", "colorMode": null, "colors": [ "rgba(245, 54, 54, 0.9)", "rgba(237, 129, 40, 0.89)", "rgba(50, 172, 45, 0.97)" ], "dateFormat": "YYYY-MM-DD HH:mm:ss", "decimals": 2, "mappingType": 1, "pattern": "Value #F", "thresholds": [], "type": "hidden", "unit": "short" }, { "alias": "Modulation", "align": "auto", "colorMode": null, "colors": [ "rgba(245, 54, 54, 0.9)", "rgba(237, 129, 40, 0.89)", "rgba(50, 172, 45, 0.97)" ], "dateFormat": "YYYY-MM-DD HH:mm:ss", "decimals": 2, "mappingType": 1, "pattern": "modulation", "thresholds": [], "type": "string", "unit": "short" }, { "alias": "Center Frequency", "align": "auto", "colorMode": null, "colors": [ "rgba(245, 54, 54, 0.9)", "rgba(237, 129, 40, 0.89)", "rgba(50, 172, 45, 0.97)" ], "dateFormat": "YYYY-MM-DD HH:mm:ss", "decimals": 1, "mappingType": 1, "pattern": "Value #A", "thresholds": [], "type": "number", "unit": "hertz" }, { "alias": "", "align": "auto", "colorMode": null, "colors": [ "rgba(245, 54, 54, 0.9)", "rgba(237, 129, 40, 0.89)", "rgba(50, 172, 45, 0.97)" ], "decimals": 2, "pattern": "/.*/", "thresholds": [], "type": "number", "unit": "short" } ], "targets": [ { "expr": "avg(tc4400_upstream_center_frequency_hz) by (channel)", "format": "table", "instant": true, "refId": "A" }, { "expr": "avg(tc4400_upstream_locked) by (channel)", "format": "table", "instant": true, "refId": "B" }, { "expr": "avg(tc4400_upstream_bonded) by (channel)", "format": "table", "instant": true, "refId": "C" }, { "expr": "avg(tc4400_upstream_channel_type) by (channel,type)", "format": "table", "instant": true, "refId": "D" }, { "expr": "avg(tc4400_upstream_width_hz) by (channel)", "format": "table", "instant": true, "refId": "E" }, { "expr": "avg(tc4400_upstream_modulation) by (channel,modulation)", "format": "table", "instant": true, "refId": "F" } ], "timeFrom": null, "timeShift": null, "title": "Upstream Channel Status", "transform": "table", "type": "table-old" }, { "aliasColors": {}, "bars": false, "dashLength": 10, "dashes": false, "datasource": "Prometheus", "fieldConfig": { "defaults": { "custom": {}, "links": [] }, "overrides": [] }, "fill": 0, "fillGradient": 0, "gridPos": { "h": 9, "w": 24, "x": 0, "y": 19 }, "hiddenSeries": false, "id": 12, "legend": { "avg": false, "current": false, "max": false, "min": false, "show": false, "total": false, "values": false }, "lines": true, "linewidth": 1, "nullPointMode": "null", "percentage": false, "pluginVersion": "7.1.1", "pointradius": 2, "points": false, "renderer": "flot", "seriesOverrides": [], "spaceLength": 10, "stack": false, "steppedLine": false, "targets": [ { "expr": "irate(tc4400_downstream_codewords_corrected_total[5m])", "format": "time_series", "legendFormat": "CH{{channel}}", "refId": "A" } ], "thresholds": [], "timeFrom": null, "timeRegions": [], "timeShift": null, "title": "Downstream Corrected Codewords", "tooltip": { "shared": false, "sort": 0, "value_type": "individual" }, "type": "graph", "xaxis": { "buckets": null, "mode": "time", "name": null, "show": true, "values": [] }, "yaxes": [ { "decimals": 0, "format": "wps", "label": null, "logBase": 1, "max": null, "min": "0", "show": true }, { "format": "short", "label": null, "logBase": 1, "max": null, "min": null, "show": true } ], "yaxis": { "align": false, "alignLevel": null } }, { "aliasColors": {}, "bars": false, "dashLength": 10, "dashes": false, "datasource": "Prometheus", "fieldConfig": { "defaults": { "custom": {}, "links": [] }, "overrides": [] }, "fill": 0, "fillGradient": 0, "gridPos": { "h": 8, "w": 24, "x": 0, "y": 28 }, "hiddenSeries": false, "id": 13, "legend": { "avg": false, "current": false, "max": false, "min": false, "show": false, "total": false, "values": false }, "lines": true, "linewidth": 1, "nullPointMode": "null", "percentage": false, "pluginVersion": "7.1.1", "pointradius": 2, "points": false, "renderer": "flot", "seriesOverrides": [], "spaceLength": 10, "stack": false, "steppedLine": false, "targets": [ { "expr": "irate(tc4400_downstream_codewords_uncorrectable_total[5m])", "format": "time_series", "legendFormat": "CH{{channel}}", "refId": "A" } ], "thresholds": [], "timeFrom": null, "timeRegions": [], "timeShift": null, "title": "Downstream Uncorrectable Codewords", "tooltip": { "shared": false, "sort": 0, "value_type": "individual" }, "type": "graph", "xaxis": { "buckets": null, "mode": "time", "name": null, "show": true, "values": [] }, "yaxes": [ { "decimals": 0, "format": "wps", "label": null, "logBase": 1, "max": null, "min": "0", "show": true }, { "format": "short", "label": null, "logBase": 1, "max": null, "min": null, "show": true } ], "yaxis": { "align": false, "alignLevel": null } }, { "aliasColors": {}, "bars": false, "dashLength": 10, "dashes": false, "datasource": null, "fieldConfig": { "defaults": { "custom": {}, "mappings": [], "thresholds": { "mode": "absolute", "steps": [ { "color": "green", "value": null }, { "color": "red", "value": 80 } ] } }, "overrides": [] }, "fill": 0, "fillGradient": 0, "gridPos": { "h": 17, "w": 24, "x": 0, "y": 36 }, "hiddenSeries": false, "id": 18, "legend": { "avg": false, "current": false, "max": false, "min": false, "show": false, "total": false, "values": false }, "lines": true, "linewidth": 1, "nullPointMode": "null", "percentage": false, "pluginVersion": "7.1.1", "pointradius": 2, "points": false, "renderer": "flot", "seriesOverrides": [], "spaceLength": 10, "stack": false, "steppedLine": false, "targets": [ { "datasource": "Prometheus", "expr": "tc4400_downstream_snr_threshold_db", "refId": "A" } ], "thresholds": [], "timeFrom": null, "timeRegions": [], "timeShift": null, "title": "SNR/MER History", "tooltip": { "shared": false, "sort": 0, "value_type": "individual" }, "type": "graph", "xaxis": { "buckets": null, "mode": "time", "name": null, "show": true, "values": [] }, "yaxes": [ { "format": "short", "label": null, "logBase": 1, "max": null, "min": null, "show": true }, { "format": "short", "label": null, "logBase": 1, "max": null, "min": null, "show": true } ], "yaxis": { "align": false, "alignLevel": null } } ], "refresh": "30s", "schemaVersion": 26, "style": "dark", "tags": [], "templating": { "list": [] }, "time": { "from": "now-24h", "to": "now" }, "timepicker": { "refresh_intervals": [ "10s", "30s", "1m", "5m", "15m", "30m", "1h", "2h", "1d" ] }, "timezone": "", "title": "TC4400 Analyze", "uid": "MKsvjpiRk", "version": 5
} { "annotations": { "list": [ { "builtIn": 1, "datasource": "-- Grafana --", "enable": true, "hide": true, "iconColor": "rgba(0, 211, 255, 1)", "name": "Annotations & Alerts", "type": "dashboard" } ] }, "description": "DOCSIS Cable Modem", "editable": true, "gnetId": null, "graphTooltip": 0, "id": 3, "links": [], "panels": [ { "aliasColors": {}, "bars": false, "dashLength": 10, "dashes": false, "datasource": null, "fieldConfig": { "defaults": { "custom": {} }, "overrides": [] }, "fill": 0, "fillGradient": 0, "gridPos": { "h": 9, "w": 8, "x": 0, "y": 0 }, "hiddenSeries": false, "id": 24, "legend": { "avg": false, "current": false, "max": false, "min": false, "show": false, "total": false, "values": false }, "lines": true, "linewidth": 1, "nullPointMode": "null", "options": { "dataLinks": [] }, "percentage": false, "pointradius": 2, "points": false, "renderer": "flot", "seriesOverrides": [], "spaceLength": 10, "stack": false, "steppedLine": false, "targets": [ { "expr": "tc4400_downstream_receive_level_dbmv{channel=\"32\"}", "interval": "", "legendFormat": "", "refId": "A" } ], "thresholds": [ { "colorMode": "critical", "fill": true, "line": true, "op": "lt", "value": -9, "yaxis": "left" }, { "colorMode": "critical", "fill": true, "line": true, "op": "gt", "value": 4, "yaxis": "left" }, { "colorMode": "warning", "fill": false, "line": true, "op": "lt", "value": -8, "yaxis": "left" }, { "colorMode": "ok", "fill": true, "line": true, "op": "gt", "value": -5.9, "yaxis": "left" }, { "colorMode": "ok", "fill": true, "line": true, "op": "lt", "value": 3.9, "yaxis": "left" }, { "colorMode": "warning", "fill": false, "line": true, "op": "lt", "value": -6, "yaxis": "left" } ], "timeFrom": null, "timeRegions": [], "timeShift": null, "title": "DS OFDM dBmV", "tooltip": { "shared": true, "sort": 0, "value_type": "individual" }, "type": "graph", "xaxis": { "buckets": null, "mode": "time", "name": null, "show": true, "values": [] }, "yaxes": [ { "decimals": null, "format": "short", "label": null, "logBase": 1, "max": "5", "min": "-10", "show": true }, { "format": "short", "label": null, "logBase": 1, "max": null, "min": null, "show": true } ], "yaxis": { "align": false, "alignLevel": null } }, { "aliasColors": {}, "bars": false, "dashLength": 10, "dashes": false, "datasource": null, "fieldConfig": { "defaults": { "custom": {} }, "overrides": [] }, "fill": 0, "fillGradient": 0, "gridPos": { "h": 9, "w": 8, "x": 8, "y": 0 }, "hiddenSeries": false, "id": 25, "legend": { "avg": false, "current": false, "max": false, "min": false, "show": false, "total": false, "values": false }, "lines": true, "linewidth": 1, "nullPointMode": "null", "options": { "dataLinks": [] }, "percentage": false, "pointradius": 2, "points": false, "renderer": "flot", "seriesOverrides": [], "spaceLength": 10, "stack": false, "steppedLine": false, "targets": [ { "expr": "tc4400_downstream_receive_level_dbmv{channel!=\"32\"}", "interval": "", "legendFormat": "", "refId": "A" } ], "thresholds": [ { "colorMode": "critical", "fill": true, "line": true, "op": "lt", "value": -4, "yaxis": "left" }, { "colorMode": "critical", "fill": true, "line": true, "op": "gt", "value": 9, "yaxis": "left" }, { "colorMode": "ok", "fill": true, "line": true, "op": "gt", "value": -3.9, "yaxis": "left" }, { "colorMode": "ok", "fill": true, "line": true, "op": "lt", "value": 8.9, "yaxis": "left" } ], "timeFrom": null, "timeRegions": [], "timeShift": null, "title": "DS SC-QAM dBmV", "tooltip": { "shared": true, "sort": 0, "value_type": "individual" }, "type": "graph", "xaxis": { "buckets": null, "mode": "time", "name": null, "show": true, "values": [] }, "yaxes": [ { "decimals": null, "format": "short", "label": null, "logBase": 1, "max": "10", "min": "-5", "show": true }, { "format": "short", "label": null, "logBase": 1, "max": null, "min": null, "show": true } ], "yaxis": { "align": false, "alignLevel": null } }, { "aliasColors": {}, "bars": false, "dashLength": 10, "dashes": false, "datasource": null, "fieldConfig": { "defaults": { "custom": {} }, "overrides": [] }, "fill": 0, "fillGradient": 0, "gridPos": { "h": 9, "w": 8, "x": 16, "y": 0 }, "hiddenSeries": false, "id": 29, "legend": { "avg": false, "current": false, "max": false, "min": false, "show": false, "total": false, "values": false }, "lines": true, "linewidth": 1, "nullPointMode": "null", "options": { "dataLinks": [] }, "percentage": false, "pointradius": 2, "points": false, "renderer": "flot", "seriesOverrides": [], "spaceLength": 10, "stack": false, "steppedLine": false, "targets": [ { "expr": "tc4400_upstream_transmit_level_dbmv", "interval": "", "legendFormat": "", "refId": "A" } ], "thresholds": [ { "colorMode": "critical", "fill": true, "line": true, "op": "lt", "value": 40, "yaxis": "left" }, { "colorMode": "critical", "fill": true, "line": true, "op": "gt", "value": 50, "yaxis": "left" }, { "colorMode": "ok", "fill": true, "line": true, "op": "gt", "value": 40.1, "yaxis": "left" }, { "colorMode": "ok", "fill": true, "line": true, "op": "lt", "value": 49.9, "yaxis": "left" } ], "timeFrom": null, "timeRegions": [], "timeShift": null, "title": "US SC-QAM dBmV", "tooltip": { "shared": true, "sort": 0, "value_type": "individual" }, "type": "graph", "xaxis": { "buckets": null, "mode": "time", "name": null, "show": true, "values": [] }, "yaxes": [ { "decimals": null, "format": "short", "label": null, "logBase": 1, "max": "51", "min": "39", "show": true }, { "format": "short", "label": null, "logBase": 1, "max": null, "min": null, "show": false } ], "yaxis": { "align": false, "alignLevel": null } }, { "aliasColors": {}, "bars": false, "dashLength": 10, "dashes": false, "datasource": null, "fieldConfig": { "defaults": { "custom": {} }, "overrides": [] }, "fill": 0, "fillGradient": 0, "gridPos": { "h": 9, "w": 8, "x": 0, "y": 9 }, "hiddenSeries": false, "id": 27, "legend": { "avg": false, "current": false, "max": false, "min": false, "show": false, "total": false, "values": false }, "lines": true, "linewidth": 1, "nullPointMode": "null", "options": { "dataLinks": [] }, "percentage": false, "pointradius": 2, "points": false, "renderer": "flot", "seriesOverrides": [], "spaceLength": 10, "stack": false, "steppedLine": false, "targets": [ { "expr": "tc4400_downstream_snr_threshold_db{channel=\"32\"}", "interval": "", "legendFormat": "", "refId": "A" } ], "thresholds": [ { "colorMode": "critical", "fill": true, "line": true, "op": "lt", "value": 28, "yaxis": "left" }, { "colorMode": "warning", "fill": false, "line": true, "op": "lt", "value": 30, "yaxis": "left" }, { "colorMode": "ok", "fill": true, "line": true, "op": "gt", "value": 36.1, "yaxis": "left" }, { "colorMode": "warning", "fill": false, "line": true, "op": "lt", "value": 36, "yaxis": "left" } ], "timeFrom": null, "timeRegions": [], "timeShift": null, "title": "DS OFDM SNR/MER", "tooltip": { "shared": true, "sort": 0, "value_type": "individual" }, "type": "graph", "xaxis": { "buckets": null, "mode": "time", "name": null, "show": true, "values": [] }, "yaxes": [ { "decimals": null, "format": "short", "label": "", "logBase": 1, "max": "40", "min": "27", "show": true }, { "format": "short", "label": null, "logBase": 1, "max": null, "min": null, "show": false } ], "yaxis": { "align": false, "alignLevel": null } }, { "aliasColors": {}, "bars": false, "dashLength": 10, "dashes": false, "datasource": null, "fieldConfig": { "defaults": { "custom": {} }, "overrides": [] }, "fill": 0, "fillGradient": 0, "gridPos": { "h": 9, "w": 8, "x": 8, "y": 9 }, "hiddenSeries": false, "id": 22, "legend": { "avg": false, "current": false, "max": false, "min": false, "show": false, "total": false, "values": false }, "lines": true, "linewidth": 1, "nullPointMode": "null", "options": { "dataLinks": [] }, "percentage": false, "pointradius": 2, "points": false, "renderer": "flot", "seriesOverrides": [], "spaceLength": 10, "stack": false, "steppedLine": false, "targets": [ { "expr": "tc4400_downstream_snr_threshold_db{channel!=\"32\"}", "interval": "", "legendFormat": "", "refId": "A" } ], "thresholds": [ { "colorMode": "critical", "fill": true, "line": true, "op": "lt", "value": 33.5, "yaxis": "left" }, { "colorMode": "warning", "fill": false, "line": true, "op": "lt", "value": 34, "yaxis": "left" }, { "colorMode": "ok", "fill": true, "line": true, "op": "gt", "value": 34.1, "yaxis": "left" } ], "timeFrom": null, "timeRegions": [], "timeShift": null, "title": "DS SC-QAM SNR", "tooltip": { "shared": true, "sort": 0, "value_type": "individual" }, "type": "graph", "xaxis": { "buckets": null, "mode": "time", "name": null, "show": true, "values": [] }, "yaxes": [ { "decimals": null, "format": "short", "label": "", "logBase": 1, "max": "40", "min": "33", "show": true }, { "format": "short", "label": null, "logBase": 1, "max": null, "min": null, "show": false } ], "yaxis": { "align": false, "alignLevel": null } }, { "aliasColors": {}, "bars": false, "dashLength": 10, "dashes": false, "datasource": null, "fieldConfig": { "defaults": { "custom": {} }, "overrides": [] }, "fill": 1, "fillGradient": 0, "gridPos": { "h": 9, "w": 8, "x": 16, "y": 9 }, "hiddenSeries": false, "id": 18, "interval": "", "legend": { "alignAsTable": true, "avg": true, "current": false, "hideEmpty": false, "hideZero": true, "max": true, "min": true, "show": true, "total": false, "values": true }, "lines": true, "linewidth": 1, "nullPointMode": "null", "options": { "dataLinks": [] }, "percentage": false, "pointradius": 2, "points": false, "renderer": "flot", "seriesOverrides": [], "spaceLength": 10, "stack": false, "steppedLine": false, "targets": [ { "expr": "rate(tc4400_network_transmit_bytes_total[2m])*8", "interval": "", "intervalFactor": 1, "legendFormat": "Downstream", "refId": "B" }, { "expr": "rate(tc4400_network_receive_bytes_total[2m])*8", "instant": false, "interval": "", "intervalFactor": 1, "legendFormat": "Upstream", "refId": "A" } ], "thresholds": [], "timeFrom": null, "timeRegions": [], "timeShift": null, "title": "Throughput", "tooltip": { "shared": true, "sort": 0, "value_type": "individual" }, "type": "graph", "xaxis": { "buckets": null, "mode": "time", "name": null, "show": true, "values": [] }, "yaxes": [ { "format": "bps", "label": null, "logBase": 1, "max": null, "min": null, "show": true }, { "format": "short", "label": null, "logBase": 1, "max": null, "min": null, "show": false } ], "yaxis": { "align": false, "alignLevel": null } }, { "aliasColors": {}, "bars": false, "dashLength": 10, "dashes": false, "datasource": null, "fieldConfig": { "defaults": { "custom": {} }, "overrides": [] }, "fill": 0, "fillGradient": 0, "gridPos": { "h": 9, "w": 8, "x": 0, "y": 18 }, "hiddenSeries": false, "id": 12, "legend": { "avg": false, "current": false, "hideEmpty": true, "hideZero": true, "max": false, "min": false, "show": false, "total": false, "values": false }, "lines": true, "linewidth": 1, "nullPointMode": "null", "options": { "dataLinks": [] }, "percentage": false, "pointradius": 2, "points": false, "renderer": "flot", "seriesOverrides": [], "spaceLength": 10, "stack": false, "steppedLine": false, "targets": [ { "expr": "irate(tc4400_downstream_codewords_corrected_total[2m])", "format": "time_series", "interval": "", "legendFormat": "CH{{channel}}", "refId": "A" } ], "thresholds": [], "timeFrom": null, "timeRegions": [], "timeShift": null, "title": "Downstream Corrected Codewords", "tooltip": { "shared": false, "sort": 0, "value_type": "individual" }, "type": "graph", "xaxis": { "buckets": null, "mode": "time", "name": null, "show": true, "values": [] }, "yaxes": [ { "decimals": 0, "format": "wps", "label": null, "logBase": 1, "max": null, "min": "0", "show": true }, { "format": "short", "label": null, "logBase": 1, "max": null, "min": null, "show": true } ], "yaxis": { "align": false, "alignLevel": null } }, { "aliasColors": {}, "bars": false, "dashLength": 10, "dashes": false, "datasource": null, "fieldConfig": { "defaults": { "custom": {} }, "overrides": [] }, "fill": 0, "fillGradient": 0, "gridPos": { "h": 9, "w": 8, "x": 8, "y": 18 }, "hiddenSeries": false, "id": 13, "legend": { "avg": false, "current": false, "hideEmpty": true, "hideZero": true, "max": false, "min": false, "show": false, "total": false, "values": false }, "lines": true, "linewidth": 1, "nullPointMode": "null", "options": { "dataLinks": [] }, "percentage": false, "pointradius": 2, "points": false, "renderer": "flot", "seriesOverrides": [], "spaceLength": 10, "stack": false, "steppedLine": false, "targets": [ { "expr": "irate(tc4400_downstream_codewords_uncorrectable_total[2m])", "format": "time_series", "interval": "", "legendFormat": "CH{{channel}}", "refId": "A" } ], "thresholds": [], "timeFrom": null, "timeRegions": [], "timeShift": null, "title": "Downstream Uncorrectable Codewords", "tooltip": { "shared": false, "sort": 0, "value_type": "individual" }, "type": "graph", "xaxis": { "buckets": null, "mode": "time", "name": null, "show": true, "values": [] }, "yaxes": [ { "decimals": 0, "format": "wps", "label": null, "logBase": 1, "max": null, "min": "0", "show": true }, { "format": "short", "label": null, "logBase": 1, "max": null, "min": null, "show": true } ], "yaxis": { "align": false, "alignLevel": null } }, { "aliasColors": {}, "bars": false, "dashLength": 10, "dashes": false, "datasource": null, "fieldConfig": { "defaults": { "custom": {} }, "overrides": [] }, "fill": 1, "fillGradient": 0, "gridPos": { "h": 9, "w": 8, "x": 16, "y": 18 }, "hiddenSeries": false, "id": 20, "interval": "", "legend": { "alignAsTable": false, "avg": false, "current": false, "hideEmpty": false, "hideZero": true, "max": false, "min": false, "show": true, "total": false, "values": false }, "lines": true, "linewidth": 1, "nullPointMode": "null", "options": { "dataLinks": [] }, "percentage": false, "pointradius": 2, "points": false, "renderer": "flot", "seriesOverrides": [], "spaceLength": 10, "stack": true, "steppedLine": false, "targets": [ { "expr": "tc4400_network_transmit_bytes_total", "format": "time_series", "instant": false, "interval": "", "legendFormat": "Upstream", "refId": "A" }, { "expr": "tc4400_network_receive_bytes_total", "format": "time_series", "instant": false, "interval": "", "legendFormat": "Downstream", "refId": "B" } ], "thresholds": [], "timeFrom": null, "timeRegions": [], "timeShift": null, "title": "Data (sum)", "tooltip": { "shared": true, "sort": 0, "value_type": "individual" }, "type": "graph", "xaxis": { "buckets": null, "mode": "time", "name": null, "show": true, "values": [] }, "yaxes": [ { "format": "bytes", "label": null, "logBase": 1, "max": null, "min": null, "show": true }, { "format": "short", "label": null, "logBase": 1, "max": null, "min": null, "show": false } ], "yaxis": { "align": false, "alignLevel": null } }, { "aliasColors": {}, "bars": false, "dashLength": 10, "dashes": false, "datasource": null, "fieldConfig": { "defaults": { "custom": {} }, "overrides": [] }, "fill": 0, "fillGradient": 0, "gridPos": { "h": 9, "w": 16, "x": 0, "y": 27 }, "hiddenSeries": false, "id": 11, "legend": { "avg": false, "current": false, "max": false, "min": false, "show": false, "total": false, "values": false }, "lines": true, "linewidth": 1, "nullPointMode": "null", "options": { "dataLinks": [] }, "percentage": false, "pointradius": 2, "points": false, "renderer": "flot", "seriesOverrides": [], "spaceLength": 10, "stack": false, "steppedLine": false, "targets": [ { "expr": "irate(tc4400_downstream_codewords_unerrored_total[2m])", "format": "time_series", "interval": "", "legendFormat": "CH{{channel}}", "refId": "A" } ], "thresholds": [], "timeFrom": null, "timeRegions": [], "timeShift": null, "title": "Downstream Unerrored Codewords", "tooltip": { "shared": false, "sort": 0, "value_type": "individual" }, "type": "graph", "xaxis": { "buckets": null, "mode": "time", "name": null, "show": true, "values": [] }, "yaxes": [ { "decimals": 0, "format": "wps", "label": null, "logBase": 1, "max": null, "min": "0", "show": true }, { "format": "short", "label": null, "logBase": 1, "max": null, "min": null, "show": true } ], "yaxis": { "align": false, "alignLevel": null } }, { "aliasColors": {}, "bars": false, "dashLength": 10, "dashes": false, "datasource": null, "fieldConfig": { "defaults": { "custom": {} }, "overrides": [] }, "fill": 1, "fillGradient": 0, "gridPos": { "h": 9, "w": 8, "x": 16, "y": 27 }, "hiddenSeries": false, "id": 31, "interval": "", "legend": { "alignAsTable": false, "avg": false, "current": false, "hideEmpty": false, "hideZero": true, "max": false, "min": false, "show": true, "total": false, "values": false }, "lines": true, "linewidth": 1, "nullPointMode": "null", "options": { "dataLinks": [] }, "percentage": false, "pointradius": 2, "points": false, "renderer": "flot", "seriesOverrides": [], "spaceLength": 10, "stack": true, "steppedLine": false, "targets": [ { "expr": "rate(tc4400_network_transmit_bytes_total[1d])*60*60*24", "format": "time_series", "instant": false, "interval": "", "legendFormat": "Upstream", "refId": "A" }, { "expr": "rate(tc4400_network_receive_bytes_total[1d])*60*60*24", "format": "time_series", "instant": false, "interval": "", "legendFormat": "Downstream", "refId": "B" } ], "thresholds": [], "timeFrom": null, "timeRegions": [], "timeShift": null, "title": "Data (daily avg)", "tooltip": { "shared": true, "sort": 0, "value_type": "individual" }, "type": "graph", "xaxis": { "buckets": null, "mode": "time", "name": null, "show": true, "values": [] }, "yaxes": [ { "format": "bytes", "label": null, "logBase": 1, "max": null, "min": null, "show": true }, { "format": "short", "label": null, "logBase": 1, "max": null, "min": null, "show": false } ], "yaxis": { "align": false, "alignLevel": null } }, { "aliasColors": {}, "bars": true, "dashLength": 10, "dashes": false, "datasource": null, "decimals": 1, "fieldConfig": { "defaults": { "custom": {} }, "overrides": [] }, "fill": 0, "fillGradient": 0, "gridPos": { "h": 7, "w": 14, "x": 0, "y": 36 }, "hiddenSeries": false, "id": 4, "legend": { "alignAsTable": true, "avg": false, "current": true, "max": false, "min": false, "rightSide": true, "show": false, "total": false, "values": true }, "lines": false, "linewidth": 1, "nullPointMode": "null", "options": { "dataLinks": [] }, "percentage": false, "pointradius": 2, "points": false, "renderer": "flot", "seriesOverrides": [], "spaceLength": 10, "stack": false, "steppedLine": false, "targets": [ { "expr": "tc4400_downstream_snr_threshold_db", "instant": true, "interval": "", "legendFormat": "{{channel}}", "refId": "A" } ], "thresholds": [], "timeFrom": null, "timeRegions": [], "timeShift": null, "title": "Receive SNR/MER Threshold Value", "tooltip": { "shared": false, "sort": 0, "value_type": "individual" }, "type": "graph", "xaxis": { "buckets": null, "mode": "series", "name": null, "show": true, "values": [ "current" ] }, "yaxes": [ { "decimals": 1, "format": "dB", "label": "", "logBase": 1, "max": null, "min": null, "show": true }, { "format": "short", "label": null, "logBase": 1, "max": null, "min": null, "show": true } ], "yaxis": { "align": false, "alignLevel": null } }, { "columns": [], "datasource": null, "fieldConfig": { "defaults": { "custom": {} }, "overrides": [] }, "fontSize": "100%", "gridPos": { "h": 14, "w": 10, "x": 14, "y": 36 }, "id": 15, "pageSize": null, "scroll": true, "showHeader": true, "sort": { "col": 1, "desc": false }, "styles": [ { "alias": "Time", "align": "auto", "dateFormat": "YYYY-MM-DD HH:mm:ss", "pattern": "Time", "type": "hidden" }, { "alias": "Channel ID", "align": "auto", "colorMode": null, "colors": [ "rgba(245, 54, 54, 0.9)", "rgba(237, 129, 40, 0.89)", "rgba(50, 172, 45, 0.97)" ], "dateFormat": "YYYY-MM-DD HH:mm:ss", "decimals": 0, "mappingType": 1, "pattern": "channel", "thresholds": [], "type": "number", "unit": "short" }, { "alias": "Locked", "align": "auto", "colorMode": "value", "colors": [ "rgba(245, 54, 54, 0.9)", "rgba(237, 129, 40, 0.89)", "rgba(50, 172, 45, 0.97)" ], "dateFormat": "YYYY-MM-DD HH:mm:ss", "decimals": 2, "mappingType": 1, "pattern": "Value #B", "thresholds": [ "0.5", "0.8" ], "type": "string", "unit": "short", "valueMaps": [ { "text": "Locked", "value": "1" }, { "text": "Not Locked", "value": "0" } ] }, { "alias": "Bonded", "align": "auto", "colorMode": "value", "colors": [ "rgba(245, 54, 54, 0.9)", "rgba(237, 129, 40, 0.89)", "rgba(50, 172, 45, 0.97)" ], "dateFormat": "YYYY-MM-DD HH:mm:ss", "decimals": 2, "mappingType": 1, "pattern": "Value #C", "thresholds": [ "0.5", "0.8" ], "type": "string", "unit": "short", "valueMaps": [ { "text": "Bonded", "value": "1" }, { "text": "Not Bonded", "value": "0" } ] }, { "alias": "Type", "align": "auto", "colorMode": null, "colors": [ "rgba(245, 54, 54, 0.9)", "rgba(237, 129, 40, 0.89)", "rgba(50, 172, 45, 0.97)" ], "dateFormat": "YYYY-MM-DD HH:mm:ss", "decimals": 2, "mappingType": 1, "pattern": "type", "thresholds": [], "type": "string", "unit": "short" }, { "alias": "", "align": "auto", "colorMode": null, "colors": [ "rgba(245, 54, 54, 0.9)", "rgba(237, 129, 40, 0.89)", "rgba(50, 172, 45, 0.97)" ], "dateFormat": "YYYY-MM-DD HH:mm:ss", "decimals": 2, "mappingType": 1, "pattern": "Value #D", "thresholds": [], "type": "hidden", "unit": "short" }, { "alias": "Width", "align": "auto", "colorMode": null, "colors": [ "rgba(245, 54, 54, 0.9)", "rgba(237, 129, 40, 0.89)", "rgba(50, 172, 45, 0.97)" ], "dateFormat": "YYYY-MM-DD HH:mm:ss", "decimals": 1, "mappingType": 1, "pattern": "Value #E", "thresholds": [], "type": "number", "unit": "hertz" }, { "alias": "", "align": "auto", "colorMode": null, "colors": [ "rgba(245, 54, 54, 0.9)", "rgba(237, 129, 40, 0.89)", "rgba(50, 172, 45, 0.97)" ], "dateFormat": "YYYY-MM-DD HH:mm:ss", "decimals": 2, "mappingType": 1, "pattern": "Value #F", "thresholds": [], "type": "hidden", "unit": "short" }, { "alias": "Modulation", "align": "auto", "colorMode": null, "colors": [ "rgba(245, 54, 54, 0.9)", "rgba(237, 129, 40, 0.89)", "rgba(50, 172, 45, 0.97)" ], "dateFormat": "YYYY-MM-DD HH:mm:ss", "decimals": 2, "mappingType": 1, "pattern": "modulation", "thresholds": [], "type": "string", "unit": "short" }, { "alias": "Center Frequency", "align": "auto", "colorMode": null, "colors": [ "rgba(245, 54, 54, 0.9)", "rgba(237, 129, 40, 0.89)", "rgba(50, 172, 45, 0.97)" ], "dateFormat": "YYYY-MM-DD HH:mm:ss", "decimals": 1, "mappingType": 1, "pattern": "Value #A", "thresholds": [], "type": "number", "unit": "hertz" }, { "alias": "", "align": "auto", "colorMode": null, "colors": [ "rgba(245, 54, 54, 0.9)", "rgba(237, 129, 40, 0.89)", "rgba(50, 172, 45, 0.97)" ], "decimals": 2, "pattern": "/.*/", "thresholds": [], "type": "number", "unit": "short" } ], "targets": [ { "expr": "avg(tc4400_downstream_center_frequency_hz) by (channel)", "format": "table", "instant": true, "refId": "A" }, { "expr": "avg(tc4400_downstream_locked) by (channel)", "format": "table", "instant": true, "refId": "B" }, { "expr": "avg(tc4400_downstream_bonded) by (channel)", "format": "table", "instant": true, "refId": "C" }, { "expr": "avg(tc4400_downstream_channel_type) by (channel,type)", "format": "table", "instant": true, "refId": "D" }, { "expr": "avg(tc4400_downstream_width_hz) by (channel)", "format": "table", "instant": true, "refId": "E" }, { "expr": "avg(tc4400_downstream_modulation) by (channel,modulation)", "format": "table", "instant": true, "refId": "F" } ], "timeFrom": null, "timeShift": null, "title": "Downstream Channel Status", "transform": "table", "type": "table-old" }, { "aliasColors": {}, "bars": true, "dashLength": 10, "dashes": false, "datasource": null, "decimals": 1, "fieldConfig": { "defaults": { "custom": {} }, "overrides": [] }, "fill": 0, "fillGradient": 0, "gridPos": { "h": 7, "w": 14, "x": 0, "y": 43 }, "hiddenSeries": false, "id": 2, "legend": { "alignAsTable": true, "avg": false, "current": true, "max": false, "min": false, "rightSide": true, "show": false, "total": false, "values": true }, "lines": false, "linewidth": 1, "nullPointMode": "null", "options": { "dataLinks": [] }, "percentage": false, "pointradius": 2, "points": false, "renderer": "flot", "seriesOverrides": [], "spaceLength": 10, "stack": false, "steppedLine": false, "targets": [ { "expr": "tc4400_downstream_receive_level_dbmv", "instant": true, "interval": "", "legendFormat": "{{channel}}", "refId": "A" } ], "thresholds": [], "timeFrom": null, "timeRegions": [], "timeShift": null, "title": "Receive Level (dBmV)", "tooltip": { "shared": false, "sort": 0, "value_type": "individual" }, "type": "graph", "xaxis": { "buckets": null, "mode": "series", "name": null, "show": true, "values": [ "current" ] }, "yaxes": [ { "decimals": null, "format": "dBm", "label": "", "logBase": 1, "max": "1", "min": "-8", "show": true }, { "format": "short", "label": null, "logBase": 1, "max": null, "min": null, "show": false } ], "yaxis": { "align": false, "alignLevel": null } }, { "columns": [], "datasource": null, "fieldConfig": { "defaults": { "custom": {} }, "overrides": [] }, "fontSize": "100%", "gridPos": { "h": 7, "w": 10, "x": 14, "y": 50 }, "id": 16, "pageSize": null, "scroll": true, "showHeader": true, "sort": { "col": 1, "desc": false }, "styles": [ { "alias": "Time", "align": "auto", "dateFormat": "YYYY-MM-DD HH:mm:ss", "pattern": "Time", "type": "hidden" }, { "alias": "Channel ID", "align": "auto", "colorMode": null, "colors": [ "rgba(245, 54, 54, 0.9)", "rgba(237, 129, 40, 0.89)", "rgba(50, 172, 45, 0.97)" ], "dateFormat": "YYYY-MM-DD HH:mm:ss", "decimals": 0, "mappingType": 1, "pattern": "channel", "thresholds": [], "type": "number", "unit": "short" }, { "alias": "Locked", "align": "auto", "colorMode": "value", "colors": [ "rgba(245, 54, 54, 0.9)", "rgba(237, 129, 40, 0.89)", "rgba(50, 172, 45, 0.97)" ], "dateFormat": "YYYY-MM-DD HH:mm:ss", "decimals": 2, "mappingType": 1, "pattern": "Value #B", "thresholds": [ "0.5", "0.8" ], "type": "string", "unit": "short", "valueMaps": [ { "text": "Locked", "value": "1" }, { "text": "Not Locked", "value": "0" } ] }, { "alias": "Bonded", "align": "auto", "colorMode": "value", "colors": [ "rgba(245, 54, 54, 0.9)", "rgba(237, 129, 40, 0.89)", "rgba(50, 172, 45, 0.97)" ], "dateFormat": "YYYY-MM-DD HH:mm:ss", "decimals": 2, "mappingType": 1, "pattern": "Value #C", "thresholds": [ "0.5", "0.8" ], "type": "string", "unit": "short", "valueMaps": [ { "text": "Bonded", "value": "1" }, { "text": "Not Bonded", "value": "0" } ] }, { "alias": "Type", "align": "auto", "colorMode": null, "colors": [ "rgba(245, 54, 54, 0.9)", "rgba(237, 129, 40, 0.89)", "rgba(50, 172, 45, 0.97)" ], "dateFormat": "YYYY-MM-DD HH:mm:ss", "decimals": 2, "mappingType": 1, "pattern": "type", "thresholds": [], "type": "string", "unit": "short" }, { "alias": "", "align": "auto", "colorMode": null, "colors": [ "rgba(245, 54, 54, 0.9)", "rgba(237, 129, 40, 0.89)", "rgba(50, 172, 45, 0.97)" ], "dateFormat": "YYYY-MM-DD HH:mm:ss", "decimals": 2, "mappingType": 1, "pattern": "Value #D", "thresholds": [], "type": "hidden", "unit": "short" }, { "alias": "Width", "align": "auto", "colorMode": null, "colors": [ "rgba(245, 54, 54, 0.9)", "rgba(237, 129, 40, 0.89)", "rgba(50, 172, 45, 0.97)" ], "dateFormat": "YYYY-MM-DD HH:mm:ss", "decimals": 1, "mappingType": 1, "pattern": "Value #E", "thresholds": [], "type": "number", "unit": "hertz" }, { "alias": "", "align": "auto", "colorMode": null, "colors": [ "rgba(245, 54, 54, 0.9)", "rgba(237, 129, 40, 0.89)", "rgba(50, 172, 45, 0.97)" ], "dateFormat": "YYYY-MM-DD HH:mm:ss", "decimals": 2, "mappingType": 1, "pattern": "Value #F", "thresholds": [], "type": "hidden", "unit": "short" }, { "alias": "Modulation", "align": "auto", "colorMode": null, "colors": [ "rgba(245, 54, 54, 0.9)", "rgba(237, 129, 40, 0.89)", "rgba(50, 172, 45, 0.97)" ], "dateFormat": "YYYY-MM-DD HH:mm:ss", "decimals": 2, "mappingType": 1, "pattern": "modulation", "thresholds": [], "type": "string", "unit": "short" }, { "alias": "Center Frequency", "align": "auto", "colorMode": null, "colors": [ "rgba(245, 54, 54, 0.9)", "rgba(237, 129, 40, 0.89)", "rgba(50, 172, 45, 0.97)" ], "dateFormat": "YYYY-MM-DD HH:mm:ss", "decimals": 1, "mappingType": 1, "pattern": "Value #A", "thresholds": [], "type": "number", "unit": "hertz" }, { "alias": "", "align": "auto", "colorMode": null, "colors": [ "rgba(245, 54, 54, 0.9)", "rgba(237, 129, 40, 0.89)", "rgba(50, 172, 45, 0.97)" ], "decimals": 2, "pattern": "/.*/", "thresholds": [], "type": "number", "unit": "short" } ], "targets": [ { "expr": "avg(tc4400_upstream_center_frequency_hz) by (channel)", "format": "table", "instant": true, "refId": "A" }, { "expr": "avg(tc4400_upstream_locked) by (channel)", "format": "table", "instant": true, "refId": "B" }, { "expr": "avg(tc4400_upstream_bonded) by (channel)", "format": "table", "instant": true, "refId": "C" }, { "expr": "avg(tc4400_upstream_channel_type) by (channel,type)", "format": "table", "instant": true, "refId": "D" }, { "expr": "avg(tc4400_upstream_width_hz) by (channel)", "format": "table", "instant": true, "refId": "E" }, { "expr": "avg(tc4400_upstream_modulation) by (channel,modulation)", "format": "table", "instant": true, "refId": "F" } ], "timeFrom": null, "timeShift": null, "title": "Upstream Channel Status", "transform": "table", "type": "table-old" }, { "aliasColors": {}, "bars": true, "dashLength": 10, "dashes": false, "datasource": null, "decimals": 1, "fieldConfig": { "defaults": { "custom": {} }, "overrides": [] }, "fill": 0, "fillGradient": 0, "gridPos": { "h": 7, "w": 10, "x": 14, "y": 57 }, "hiddenSeries": false, "id": 3, "legend": { "alignAsTable": true, "avg": false, "current": true, "max": false, "min": false, "rightSide": true, "show": false, "total": false, "values": true }, "lines": false, "linewidth": 1, "nullPointMode": "null", "options": { "dataLinks": [] }, "percentage": false, "pointradius": 2, "points": false, "renderer": "flot", "seriesOverrides": [], "spaceLength": 10, "stack": false, "steppedLine": false, "targets": [ { "expr": "tc4400_upstream_transmit_level_dbmv", "instant": true, "interval": "", "legendFormat": "{{channel}}", "refId": "A" } ], "thresholds": [], "timeFrom": null, "timeRegions": [], "timeShift": null, "title": "Transmit Level (dBmV)", "tooltip": { "shared": false, "sort": 0, "value_type": "individual" }, "type": "graph", "xaxis": { "buckets": null, "mode": "series", "name": null, "show": true, "values": [ "current" ] }, "yaxes": [ { "decimals": 1, "format": "dBm", "label": "", "logBase": 1, "max": null, "min": null, "show": true }, { "format": "short", "label": null, "logBase": 1, "max": null, "min": null, "show": true } ], "yaxis": { "align": false, "alignLevel": null } } ], "refresh": false, "schemaVersion": 25, "style": "dark", "tags": [], "templating": { "list": [] }, "time": { "from": "now-2d", "to": "now" }, "timepicker": { "refresh_intervals": [ "10s", "30s", "1m", "5m", "15m", "30m", "1h", "2h", "1d" ] }, "timezone": "", "title": "TC4400", "uid": "hflOYTtZz", "version": 5
} 
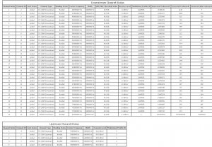
bevor das so extrem wurde, war er nachts sogar gerne mal auf 34,5db. D.h der schwankte bei uns tageszeitabhängig zwischen 26 und 34db. Mittlerweile kommen aber keine 34 mehr wirklich an und er bleibt immer irgendwo zwischen 25 und 30 mit ausreißern nach unten. Aber das Modem steckt das einfach so weg scheinbar und wie du schon sagtest, ist das Verhältnis zwischen unkorregierbaren und korregierbaren sehr zu gunsten der korregierbaren. Ich würde fast behaupten, dass dies sehr für das TC4400 sprichtEtwas unschön bei dir (und für die Fehlersuche sicherlich nicht zuträglich) ist, dass die Leitungspegel zum Teil extrem (22 auf 30,8db) hin und her springen...