- Technicolor TC4400 Docsis 3.1 Modem Info Thread Beitrag #9.076
Follow along with the video below to see how to install our site as a web app on your home screen.
Anmerkung: This feature may not be available in some browsers.




Hat vielleicht jemand die Release Notes zur SR70.12.43-190628![]()
Du brauchst einen Router welcher DS-LITE unterstütztGuten Tag liebe Community,
ich habe seit kurzen ein TC4400, da die Vodafone Station in NRW leider keinen Bridge Mode unterstützt.
Ich habe testweise das Notebook direkt an das Modem gehangen um beim Troubleshooting den Router ausschließen zu können.
Es bekommt eine öffentliche ipv6 Adresse, jedoch keine öffentliche ipv4 Adresse.
Was auffällt, das Seiten wie Google, eigentlich alles was unter ipv6 erreichbar ist geöffnet werden können. Webseiten die nur auf ipv4 hören (Beispiel amazon.de) sind nicht aufrufbar.
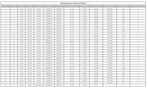
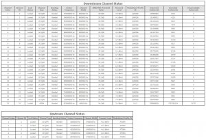
Anbei einmal die Übersicht des Verbindungsstatus des TC4400.
Was auffällt in dem Namen der Config ist die Option dslite, sehe hier aber vermehr dass hier vollwertiges ds bei anderen vorhanden ist.
Gespräche mit der VF Hotline führen leider nicht zum Erfolgt.
Vielleicht hat ja hier jemand mehr Erfolg gehabt und kann mir Tipps geben?!
Vielen Dank!
Bundesland: NRW
Tarif: 1000 Mbit down, 50 Mbit up
Gruß
Yannick
dslite ist DS-lite und kein vollwertiges Dualstack. Der Gbit-Tarif ist AFAIK dualstack (DS) berechtigt. Also Hotline so oft anrufen, bis man Dich umstellst. Nach Umstellung das Modem neu starten bis Du "ds" statt "dslite" im Namen des Konfigfile siehst.
Ansonsten sind Deine Werte des Anschlusses echt sehr gut. So gute Werte sieht man selten. Glückwunsch.
Sehr, sehr gute Werte/Pegel - glaube das ist einer der besten Anschlüsse, die man hier in der letzten Zeit gesehen hat.
Du brauchst einen Router welcher DS-LITE unterstützt
Hi,
@Cyrus Nein, die Möglichkeit gibt es bei keinem Kabelmodem, da die Fehler der Uploadkanäle nur auf seitens der CMTS auftreten und somit auch nur dort eingesehen können![]()