• Kunden aus Hessen und Nordrhein-Westfalen können über die Rufnummer 0221 / 466 191 00 Hilfe bei allen Problemen in Anspruch nehmen.
    Kunden aus Baden-Württemberg können über die Rufnummer 0711 / 54 888 150 Hilfe bei allen Problemen in Anspruch nehmen.

Unitymedia Technicolor TC4400 Docsis 3.1 Modem Info Thread

Diskutiere Technicolor TC4400 Docsis 3.1 Modem Info Thread im Internet und Telefon über das TV-Kabelnetz Forum im Bereich Internet und Telefon; Ja im Upstream, wir haben die 29dB im Downstream xD Ich melde da aber auch nix, da ich weiss dass er von draussen so mies rein kommt. Und da...
  • Technicolor TC4400 Docsis 3.1 Modem Info Thread Beitrag #9.676
Ja im Upstream, wir haben die 29dB im Downstream xD
Ich melde da aber auch nix, da ich weiss dass er von draussen so mies rein kommt. Und da wissen wir ja wie mühselig es ist Vodafone dazu zu bringen dahingehend etwas zu messen oder tätig zu werden.
 
  • Technicolor TC4400 Docsis 3.1 Modem Info Thread Beitrag #9.677
Moment redet ihr jetzt vom SNR/MER oder von der Signalstärke?

Das sind zwei verschiedene Dinge
 
  • Technicolor TC4400 Docsis 3.1 Modem Info Thread Beitrag #9.678
Moment redet ihr jetzt vom SNR/MER oder von der Signalstärke?

Das sind zwei verschiedene Dinge
Das würfeln die da gerade fröhlich durcheinander.

Der Powerlevel des OFDMA ist ziemlich irrelevant und das SNR/MER davon bekommt man ohne Zugang zum SBC eh nie zu sehen.
 
  • Technicolor TC4400 Docsis 3.1 Modem Info Thread Beitrag #9.679
Selbst dort nicht, da der OFDMA noch nicht komplett ins SBC eingepflegt wurde. Man sieht nur dessen Auslastung.
 
  • Technicolor TC4400 Docsis 3.1 Modem Info Thread Beitrag #9.680
Er wieder mit seinen geheimen Geheiminformationen. Du hast doch irgendwo nen Spitzel sitzen🤭
 
  • Technicolor TC4400 Docsis 3.1 Modem Info Thread Beitrag #9.681
Die Info war nicht geheim, sonst hätte ich sie nicht gepostet ;)
 
  • Technicolor TC4400 Docsis 3.1 Modem Info Thread Beitrag #9.682
Heut morgen hats uns um 11:11 Uhr die Leitung weggehauen. Meldung im Log war:

"DBC-REQ denied - confirmation code 204: reject-message-syntax-error;CM-MAC=........."

Dann erst 2 Stunden später war ich wieder verbunden. Was mich wundert, es wird im Event Log andauernd von nem US Kanal ID 8 geloggt. Den hab ich aber gar ned? Macht eventuell das CMTS verrückte Sachen mit eigentlich nicht vorhandenen US Kanälen?

DBC-REQ.JPG

US8.JPG

US8profile.JPG

Als Anhang nochmal die kompletten Kanalwerte.
 

Anhänge

  • DSUS.JPG
    DSUS.JPG
    218,9 KB · Aufrufe: 23
  • Technicolor TC4400 Docsis 3.1 Modem Info Thread Beitrag #9.683
Information About Configuring VDOC Broadcast

The VDOC Broadcast feature facilitates broadcasting video over DOCSIS. Video streams are broadcast to one or more downstream RF channels using static multicast. Depending on the video stream selected for viewing by the IP set-top box, the multituner cable modem is tuned to the appropriate RF channel carrying the specific video stream.

The process to broadcast video over the cable is as follows:

  1. When a channel is selected, the IP set-top box sends an IGMP join message to a particular bonding group.
  2. The CMTS locates the secondary bonding group that has the video streaming channel and the RCC template that contains the channel corresponding to the secondary bonding group.
  3. The CMTS sends a dynamic bonding change request (DBC-REQ) message to the modem. The DBC-REQ message contains the DSID. It also contains a new RCC (that contains frequencies for the primary bonding group and the secondary bonding group that was selected in Step 2), if the modem is not currently tuned to the frequencies selected in Step 2.
  4. The cable modem retunes to the new channel and receives the video stream.

note.gif
Note
In the case of subsequent channel changes, the IP set-top box sends an IGMP leave message for the old video stream. CMTS responds with the DBC-REQ message to remove the DSID corresponding to this stream.
quelle:
Da das alles ja nach cable labs genormt sein soltle dürfte es wohl egal sein ob die Quelle Cisco ist und ned arris.

da scheint irgendwas falsch konfiguriert zu sein, weshalb das Modem probleme mit dem profilwechsel hat. Man könnte meinen, in der config vom CMTS gibt nen imaginäres profil 8, welches das Modem versucht zu loggen aber es natürlich ned findet da es gar ned existiert oder nicht funktional ist.
Zumindest versteh ich das jetzt so auf die schnelle, kann auch BS sein :D
 
  • Technicolor TC4400 Docsis 3.1 Modem Info Thread Beitrag #9.684
VDOC Broadcast!? Wollte mir jemand ein Video schicken? 🥳

Na, wenn es nun wieder läuft, ist ja alles gut. Wurden aber heute hier 3 Leute aus Besprechungen gekickt. Gottseidank lief es per LTE Hotspot schnell wieder...
 
  • Technicolor TC4400 Docsis 3.1 Modem Info Thread Beitrag #9.685
is doch wurst ob das in dem fall um video broadcasts geht. da es übers docsis protokoll läuft ist die technik dahinter ja dieselbe
 
  • Technicolor TC4400 Docsis 3.1 Modem Info Thread Beitrag #9.686
Eventuell probt Vodafone ja auch VDOC um die Frequenzen für TV irgendwann freizugeben?
 
  • Technicolor TC4400 Docsis 3.1 Modem Info Thread Beitrag #9.687
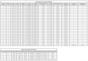
Also ich hab jetzt neu gestartet und die neue Configuration File 1000/50/DS/SIP bekommen. Upload mit 50 Mbit/s ist in Ordnung, der Download mit weiterhin 400Mbit/s lahmt noch ein bisschen. Laut Vodafone Test sollen 1000 Mbit am Router anliegen.
Mich würde mal interessieren, wie sie das mit meinem TC4400 messen?

Falls da stimmt, wäre wahrscheinlich fie fritzbox 6490 der Flaschenhals, würde aber heute abend nochmal schauen, nicht dass ienfach mein Segment um die Zeit noch belastet ist. Wss würdet ihr hintendran empfehlen? die 6490 wird weiterhin im Netz bleiben für Telefonie und TVSignal ins LAN streamen.

Bin am überlegen die Fritzbox 6591 oder ne Ubiquiti USG Pro 4 hintendranzuhängen.
Für die Fritzbox spricht halt die Möglichkeit im Notfall zu switchen, wenn ich mein TC4400 updaten muss bzw falls ein Totalausfall droht wenn der IPv6 Bug von Vodafone irgendwan EInzug halten würde.
Für die Ubiquiti spricht der schöne Bau in meinen Netzwerkschrank, Backupleitung über Mobilfunk, Contoller ist auch schon vorhanden durch die Access Points,

Also daher nochmal die Fragen?
1.Wie kann vodafone die Verbindung zu meiner TC4400 messen?
2. Sehe ich dars richtig mit dem FB6490 als Flaschenhals
3. Ubiqui oder Fritte?

LG Sebastian

channelstatus2.png
 
  • Technicolor TC4400 Docsis 3.1 Modem Info Thread Beitrag #9.688
häng das modem direkt an den PC zum testen, dann weisst du ob die fritzbox lahmt. Ist aber anzunehmen, da die 6490 nicht grad die neuste ist
 
  • Technicolor TC4400 Docsis 3.1 Modem Info Thread Beitrag #9.689
Also ich hab jetzt neu gestartet und die neue Configuration File 1000/50/DS/SIP bekommen. Upload mit 50 Mbit/s ist in Ordnung, der Download mit weiterhin 400Mbit/s lahmt noch ein bisschen. Laut Vodafone Test sollen 1000 Mbit am Router anliegen.
Mich würde mal interessieren, wie sie das mit meinem TC4400 messen?

Falls da stimmt, wäre wahrscheinlich fie fritzbox 6490 der Flaschenhals, würde aber heute abend nochmal schauen, nicht dass ienfach mein Segment um die Zeit noch belastet ist. Wss würdet ihr hintendran empfehlen? die 6490 wird weiterhin im Netz bleiben für Telefonie und TVSignal ins LAN streamen.

Bin am überlegen die Fritzbox 6591 oder ne Ubiquiti USG Pro 4 hintendranzuhängen.
Für die Fritzbox spricht halt die Möglichkeit im Notfall zu switchen, wenn ich mein TC4400 updaten muss bzw falls ein Totalausfall droht wenn der IPv6 Bug von Vodafone irgendwan EInzug halten würde.
Für die Ubiquiti spricht der schöne Bau in meinen Netzwerkschrank, Backupleitung über Mobilfunk, Contoller ist auch schon vorhanden durch die Access Points,

Also daher nochmal die Fragen?
1.Wie kann vodafone die Verbindung zu meiner TC4400 messen?
2. Sehe ich dars richtig mit dem FB6490 als Flaschenhals
3. Ubiqui oder Fritte?

LG Sebastian

Anhang anzeigen 7636
Die messen nicht was bei deinem Modem ankommt, sondern sagen dir nur ob die Kapazität in deinem Segment überhaupt noch ausreicht, deine Bandbreite zu liefern. In deinem Fall liegt es demnach nicht am Kapazitätsengpass im Segment.
 
  • Technicolor TC4400 Docsis 3.1 Modem Info Thread Beitrag #9.690
Stimmt so nicht ganz. Das TC4400 unterstützt den Modemtest. Es wird in der Tat ein UDP Downstream zum Modem geschickt mit erhöhter Priorität. Dadurch wird der Upload komplett außen vor gelassen, darum bekommt man bei Ingress mit dem Modemtest immer i.O. angezeigt, obwohl die Leitung unbrauchbar ist. Andere im Segment werden dadurch auch kurz ausgebremst, was sonst nicht so sehr der Fall ist. Ich halte den Modemtest zwar als sinnvoll, aber eben etwas zu viel des Guten. Ich bin mir sicher, dass man oftmals den Leuten weismacht es läge an ihrer Hardware, obwohl das Segment einfach platt ist.
Manchmal, stimmt es dann aber doch:

SegmentÜberlastet.JPG

Ich würde bei @bellm aber auch eher auf die Fritzbox tippen...
 
  • Technicolor TC4400 Docsis 3.1 Modem Info Thread Beitrag #9.691
Der 30,8 MHz Upstream steht immer noch auf "Partial Service"?

Frage an die Experten: Wieso ist die Anzahl der Codewords im OFDM Downstream so gering gegenüber den Werten im DOCSIS 3.0 Downstream Kanälen?
 
  • Technicolor TC4400 Docsis 3.1 Modem Info Thread Beitrag #9.692
Ist sie nicht, der Zähler beim TC4400 zeigt das nur falsch an, bzw. läuft über. Den Bug trägt es schon seit eh und je. Hier sieht man, dass der OFDM mehr Codewords überträgt, als die SC-QAM:

Unbenannt.PNG
 
  • Technicolor TC4400 Docsis 3.1 Modem Info Thread Beitrag #9.693
mal zum verständnis: die werte die da angezeigt werden. Sind das zu dem zeitpunkt die Werte pro Sekunde, oder die generell bislang durch die leitung gingen? Ich nehm mal an zweiteres, oder? weil 14mrd cw pro sekudne wäre bissi viel :eek:
 
  • Technicolor TC4400 Docsis 3.1 Modem Info Thread Beitrag #9.694
Meine Skala zeigt Worte pro Sekunde.
 
  • Technicolor TC4400 Docsis 3.1 Modem Info Thread Beitrag #9.695
Ist sie nicht, der Zähler beim TC4400 zeigt das nur falsch an, bzw. läuft über. Den Bug trägt es schon seit eh und je. Hier sieht man, dass der OFDM mehr Codewords überträgt, als die SC-QAM:

Anhang anzeigen 7639

Er schrieb ja "Also ich hab jetzt neu gestartet", von da her bin ich davon ausgegangen, dass es noch keinen Überlauf gegeben hat ... 25 Mio Codewords im SC-QAM würden weniger als 1000 Sekunden uptime bedeuten .... Vielleicht hat es einfach ein paar Minuten lang gedauert, bis sich der OFDM gesynct hat, und die Zähler losgelaufen sind ...
 
  • Technicolor TC4400 Docsis 3.1 Modem Info Thread Beitrag #9.696
Ja kann durchaus sein. Wie gesagt, der Anzeige vertraue ich nicht, zumindest bei den Unerrored.
 
  • Technicolor TC4400 Docsis 3.1 Modem Info Thread Beitrag #9.697
Frage an die Experten: Wieso ist die Anzahl der Codewords im OFDM Downstream so gering gegenüber den Werten im DOCSIS 3.0 Downstream Kanälen?
A big difference is the difference in codeword size. OFDM can carry codewords that are up to 11 times bigger. How many it can carry per second depends on channel width and modulation. Another difference is how much traffic that flows through the channels. Number of 3.0 modems vs 3.1 modems.
 
Zuletzt bearbeitet:
  • Technicolor TC4400 Docsis 3.1 Modem Info Thread Beitrag #9.698
Heut morgen hats uns um 11:11 Uhr die Leitung weggehauen.
Beim Betrachten meiner IPv4 (oben) und IPv6 (unten) TBB BQMs bin ich verwundert, dass per IPv6 scheinbar zwischenzeitlich mal eine Konnektivität bestand, per IPv4 aber nicht. Auch die Infos im CM EventLog deuteten auf keine Konnektivität hin, aber ich konnte mich auch nicht 100% der Sache widmen, da ich in Besprechungen feststeckte.
 

Anhänge

  • TBB.JPG
    TBB.JPG
    17,3 KB · Aufrufe: 10
  • Technicolor TC4400 Docsis 3.1 Modem Info Thread Beitrag #9.699
(Vermutung) Firewallstates noch offen auf der v4, danach greift die Regel nicht mehr. Den Bug habe ich auch.
 
  • Technicolor TC4400 Docsis 3.1 Modem Info Thread Beitrag #9.700
Aber bis 13:12 Uhr hagelte es Fehler im CM EventLog.
 

Anhänge

  • CMEventLog.JPG
    CMEventLog.JPG
    96,4 KB · Aufrufe: 26
Thema:

Technicolor TC4400 Docsis 3.1 Modem Info Thread

Technicolor TC4400 Docsis 3.1 Modem Info Thread - Ähnliche Themen

Netgear CM2000 (US Modem): Dank DOCSIS 3.1 und dem dortigen Wegfall der Unterscheidung zwischen DOCSIS und EuroDOCSIS sind einige Modems aus den USA durchaus im Vodafone...
Unitymedia Technicolor CGA4233 Docsis 3.1 Router Info Tread: Wie auch schon bei TC4400 dient dieser Thread zum Sammeln von Informationen zum Technicolor CGA4233. Default login: user / VTmgQapcEUaE Link zum...
Unitymedia Kabelmodem Arris CM8200B: Moin, Das Arris CM8200B wurde hier schon gelegentlich erwähnt, aber nie vertiefend. Da bei mir seit ein paar Tagen eines herumsteht starte ich...
Unitymedia Cisco EPC3208 verliert immer Verbindung -> Vodafone Station als Lösung? (DOCSIS 3.1 schuld?): Nabend! Ich habe seit 25.11. plötzlich ein massives Problem mit meinem Anschluß, und könnte etwas Aufklärung von Insidern brauchen bevor ich zur...
Unitymedia [Q] Probleme mit Bridge Network Model Virtualisierungsserver: Hallo! Ich habe eine Virtualisierungsplattform mit Web-Oberfläche (Proxmox VE 3.3) aufgesetzt und den Server direkt mit dem Kabel-Gateway TC7200...
Oben