- Technicolor TC4400 Docsis 3.1 Modem Info Thread Beitrag #9.701
Revenant
- Beiträge
- 17
- Punkte Reaktionen
- 0
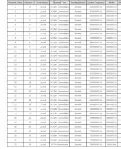
Aber bis 13:12 Uhr hagelte es Fehler im CM EventLog.
Die selben Fehler stehen bei mir auch drin. Seit das Problem vor 2 Wochen angefangen hat.
Nach etwa 4h hat das Modem aber keine Lust mehr etwas ins Log zu schreiben und löscht es komplett.
Heute war der vierte Techniker da, somit der zweite nachdem der Verteiler in der Straße getauscht wurde. Heute wurde der Widerstand am HüP getauscht damit mehr Signal im Haus ankommt. Das sei nötig nach dem Verteiler Tausch. (Warum der erste Techniker das nicht gemerkt hat?)
Danach wurden alle Anschlussdosen im Haus neu eingepegelt.
Mein DS liegt jetzt bei 800Mbit aber der US immernoch nur bei 10-15Mbit.
Ich hoffe das die Leitung jetzt wenigstens stabil bleibt und min. 12h ohne Abbruch durchhält.
Da mich alle weiteren Schritte Geld kosten warte ich erst mal ein paar Wochen. Dann bleibt mir wohl nix anderes übrig als von VF eine Fritz!Box zu leihen und während der Testphase das TC4400 zum Firmware Update zu schicken.



