- Technicolor TC4400 Docsis 3.1 Modem Info Thread Beitrag #10.026
Soldierofoc
Hat jemand zufällig für den SNMP-Zugriff die passenden Mib's/Tabelle?
Follow along with the video below to see how to install our site as a web app on your home screen.
Anmerkung: This feature may not be available in some browsers.
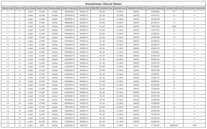
Board ID:
Build Timestamp: Jun 4 2019 10:27:24
Software Version: 70.12.42-190604
Linux Version: 3.14.28-Prod_18.1
Uptime: 0 Days - 19:49:20
Systime: Tue Mar 16 14:50:13 UTC 2021 cust-own_1000000_50000_ds_sip_wifi-on.bin 

31 Fri Mar 12 11:49:44 2021 Notice (6) "CM-STATUS message sent. Event Type Code: 16; Chan ID: 32; DSID: N/A; MAC Addr: N/A; OFDM/OFDMA...
30 Fri Mar 12 11:43:41 2021 Notice (6) "US profile assignment change. US Chan ID: 8; Previous Profile: 9 13; New Profile: 10 13.;CM-MA...
29 Fri Mar 12 11:43:34 2021 Warning (5) "RNG-RSP CCAP Commanded Power in Excess of 6 dB Below the Value Corresponding to the Top of the...
28 Fri Mar 12 11:43:32 2021 Warning (5) "Dynamic Range Window violation"
27 Fri Mar 12 11:43:32 2021 Warning (5) "RNG-RSP CCAP Commanded Power in Excess of 6 dB Below the Value Corresponding to the Top of the...
26 Fri Mar 12 11:43:32 2021 Warning (5) "Dynamic Range Window violation"
25 Fri Mar 12 11:43:32 2021 Warning (5) "RNG-RSP CCAP Commanded Power in Excess of 6 dB Below the Value Corresponding to the Top of the...
24 Fri Mar 12 11:43:27 2021 Notice (6) "DS profile assignment change. DS Chan ID: 32; Previous Profile: ; New Profile: 1 2.;CM-MAC=90:...
23 Fri Mar 12 11:43:21 2021 Notice (6) "TLV-11 - unrecognized OID;CM-MAC=;CMTS-MAC=;CM-QOS=1.1;CM-VE...
22 Fri Mar 12 11:43:21 2021 Warning (5) "DHCP WARNING - Non-critical field invalid in response ;CM-MAC=;CMTS-MAC=00
21 Time Not Established Notice (6) "Honoring MDD; IP provisioning mode = IPv4"
20 Time Not Established Critical (3) "No Ranging Response received - T3 time-out;CM-MAC=;CMTS-MAC=
19 Time Not Established Critical (3) "SYNC Timing Synchronization failure - Failed to acquire QAM/QPSK symbol timing;;CM-MAC=9
18 Fri Mar 12 11:14:38 2021 Critical (3) "No Ranging Response received - T3 time-out;CM-MAC=;CMTS-MAC=
17 Sat Mar 6 23:36:58 2021 Critical (3) "Received Response to Broadcast Maintenance Request, But no Unicast Maintenance opportunities r...
16 Sat Mar 6 23:36:51 2021 Critical (3) "No Ranging Response received - T3 time-out;CM-MAC=;CMTS-MAC=
15 Sat Mar 6 23:36:29 2021 Critical (3) "Received Response to Broadcast Maintenance Request, But no Unicast Maintenance opportunities r...
14 Sat Mar 6 23:36:23 2021 Critical (3) "No Ranging Response received - T3 time-out;CM-MAC=;CMTS-MAC=
13 Sat Mar 6 23:35:56 2021 Critical (3) "Received Response to Broadcast Maintenance Request, But no Unicast Maintenance opportunities r...
12 Sat Mar 6 23:35:55 2021 Critical (3) "No Ranging Response received - T3 time-out;CM-MAC=;CMTS-MAC=
11 Sat Mar 6 23:35:31 2021 Critical (3) "No Ranging Response received - T3 time-out;CM-MAC=;CMTS-MAC
10 Sat Mar 6 23:35:15 2021 Critical (3) "Received Response to Broadcast Maintenance Request, But no Unicast Maintenance opportunities r...
9 Sat Mar 6 23:35:12 2021 Critical (3) "No Ranging Response received - T3 time-out;CM-MAC=;CMTS-MAC=0
8 Sat Mar 6 23:35:03 2021 Critical (3) "Received Response to Broadcast Maintenance Request, But no Unicast Maintenance opportunities r...
7 Time Not Established Critical (3) "No Ranging Response received - T3 time-out;CM-MAC;CMTS-MAC=00
6 Time Not Established Critical (3) "SYNC Timing Synchronization failure - Failed to acquire QAM/QPSK symbol timing;;CM-MAC=9:
5 Thu Feb 25 10:15:23 2021 Critical (3) "SYNC Timing Synchronization failure - Loss of Sync;CM-MAC=;CMTS-MAC=00
4 Thu Feb 25 10:12:33 2021 Critical (3) "SYNC Timing Synchronization failure - Failed to acquire QAM/QPSK symbol timing;;CM-MAC=9..
3 Thu Feb 25 10:11:22 2021 Critical (3) "SYNC Timing Synchronization failure - Failed to acquire QAM/QPSK symbol timing;;CM-MAC=9
2 Thu Feb 25 10:10:23 2021 Critical (3) "No Ranging Response received - T3 time-out;CM-MAC=;CMTS-MAC=00
1 Thu Feb 25 10:08:57 2021 Critical (3) "SYNC Timing Synchronization failure - Failed to acquire QAM/QPSK symbol timing;;CM-MAC=90
0 Thu Feb 25 10:07:15 2021 Critical (3) "SYNC Timing Synchronization failure - Failed to acquire QAM/QPSK symbol timing;;CM-MAC=90:... Ich hatte ein ähnliches Problem, als bei mir Anfangs der OFDM-Kanal vom Pegel für einige Sekunden (weshalb auch immer) abgesackt war, dadurch in ein niedrigeres QAM-Profil gerutscht ist und nur ein paar Sekunden später wieder auf dem regulären Pegel war. Der sehr schnelle Profilwechsel hat dann wohl zu Problemen bzw. Aussetzer von 3-5 Sekunden geführt.
Nach Störungsmeldung ist dann einiges passiert...Messungen in der C-Linie, bei dem der absackende OFDM ebenfalls festgestellt wurde + Durchmessen des nahezu kompletten HFC-Pfades.
Seit bei uns in der A-Linie ein neuer Verstärkerpunkt gesetzt wurde und alle Verstärkerpunkte nochmals geprüft wurden (+ mein oberirdischer Abzweiger komplett neu aufgebaut wurde) ist nun alles i.O. bzw. das Problem nicht mehr festzustellen.
Das müsste bei dir aber dann auch so im Log sichtbar sein.....
Lt. Log hast du zwar immer wieder einmal Timeouts und der RNG-RSP-Fehler ist auch nicht schön, aber dazwischen sind ja immer einige Tage. Wenn du dauerhaft Probleme hast, spricht das eher für etwas anders.
Hast du schon einmal versucht dein Endgerät/PC direkt an das Modem anzuschließen und mal zu testen? Einfach um mal deine dahinter liegende Hardware als Problem ausschließen zu können.
Hallo zusammen. Ich habe hier ein wenig mitgelesen und wollte jetzt auch mal mein Leid schildern.
Folgendes Szenario:
Gbit und TC4400 haben wir seit Oktober 2020. Das TC4400 habe ich gekauft, weil ich in Hessen (Ex-UnityMedia) wohne und den Bridgemode brauche.
- Ex-Unitymedia-jetzt-Vodafone-Gebiet (Hessen)
- 1000 Mbit/s
- TC4400
- Software Version 70.12.41-180903
Bis Anfang Februar hatte ich nichts zu beanstanden, dann kam es mehrmals täglich zu abrupten Verbindungsabbrüchen. Nach 5-10 Minuten gings dann wieder. Extrem nervig, wenn man im Dauer-Home-Office ist und den ganzen Tag an Videokonferenzen teilnimmt, vor allem, wenn man vor dutzenden Zuhörern präsentiert.
Störung gemeldet, am 20.02. war ein Techniker im Haus, der an der Dose und im Keller gemessen und nachgeregelt hat. Angeblich war dann alles in Ordnung.
Kaum war der Techniker aus dem Haus, war die Verbindung wieder weg.
Habe dann Logs und Screenshots an [email protected] geschickt mit der Bitte, das zu beheben.
Erst kam ein Anruf, dass an der Leitung nichts zu beanstanden sei und damit das Problem bei mir läge. Weitere Technikerbesuche würden mir berechnet. Ich solle das Modem austauschen, am besten wäre die VodafoneStation. Habe ich abgelehnt, da kein Bridgemode in Hessen möglich ist. Die Dame am Telefon hat nochmal nachgefragt und das dann bestätigt.
Ich habe weiterhin Logs und Screenshots an o.g. E-Mail geschickt.
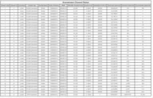
Seit gestern habe ich dramatisch weniger Warnings und Criticals im Log. Heute nur ein einziges: "Started Unicast Maintenance Ranging - No Response received - T3 time-out;CM-MAC=..."
Was bleibt ist eine hohe Zahl "Corrected Codewords" in der ODFM Reihe der Download-Status-Seite.
Ich habe auf meiner Seite nichts verändert, weder Anfang Februar, noch in den letzten drei Tagen. Schön, dass Vodafone an der Infrastruktur arbeitet. Erschreckend ist, dass die schlecht informierte Hotline die Schuld für die hausgemachte Instabilität bei der Kundenhardware sucht.
Ein typisches Log-Exzerpt sah bis gestern so aus:
Anhang anzeigen 7956
Status quo:
Anhang anzeigen 7959Anhang anzeigen 7958
Das werde ich auch ausprobieren, allerdings hilft es nicht bei jedem. Und der Pingtest zeigt ja, dass auch mit der Vodafone Hardware die Leitungsqualität mies ist.wahrscheins hätte es gereicht, wenn du das TC4400 bei werner auf den neusten FW stand hättest bringen lassen. die .41 hat probleme mit dem OFDMA im upstream
Ich werde es Euch mitte der kommenden Woche berichten können. Dann ist angeblich die FB6591 da. Ma kuckn.es ist komisch dass der fehler bei manchen anschlüssen fehler verursacht, bei anderen hingegen nicht.
gibt es anschlüsse die trotz FW update des TC4400 weiterhin diese Probleme spürbar hatten und diese sich dann aber gänzlich erledigt haben, nachdem auf eine fritzbox umgesattelt wurde?
Hui, über 400 Seiten, dann klinke ich mich auch mal ein. Habe die letzte 20 Seiten durchgeklickt, aber da scheint niemand mit meinem Problem (mit der aktuellsten Fimware, bzw. 42) zu sein. Habe auch bereits mit Werner über einen Upgrade gesprochen, man meinte allerdings, dass der Unterschied von 42 -> 43 so marginal ist, dass das vermutlich keine Probleme lösen würde.
Was kann ich tun? Kann ich noch irgendetwas testen? Ob der OFDM-Kanal schon immer da war weiß ich leider nicht. Die Logs sind bei einem Ausfall meist mit Error voll, aber sobald ich die dann doch mal kopieren möchte, sind die schon wieder rausrotiert. Nächstes mal mache ich direkt einen Screenshot oder kopiere die.