- Technicolor TC4400 Docsis 3.1 Modem Info Thread Beitrag #10.151
ascii.ts
- Beiträge
- 4
- Punkte Reaktionen
- 0
Hallo zusammen,
ich habe auch seit einigen Jahren ein TC4400. jetzt habe ich in den letzten Wochen auch immer wieder Abbrüche. Teilweise hilft nur ein Modem reboot.
In den Logfiles des Modem sehe ich sehr oft folgende Meldungen
Auch sehr oft und mehrmals hintereinander:
Wenn wieder Sprung nach disabled geht und kein Zugang mehr möglich ist kommt immer
jetzt hatte ich eine Störung bei Unitymedia aufgemacht. Ein Techniker hat mich sehr zeitnah zurück gerufen.
Hat mir klipp und klar gesagt das ich keinen Support bekomme. Im Kundenportal ist wohl eine Fritzbox und kein TC4400 hinterlegt. Daher wäre es klar das es nicht richtig funktioniert. Das müsste ich über die Rechnungsstellen erst ändern lassen.
Wenn ich überlege was das damals für einen Krampf war das TC4400 überhaupt provisioniert zu bekommen, würde ich das ungern versuchen.
Als Firmware läuft bei mir die 70.12.40-180627
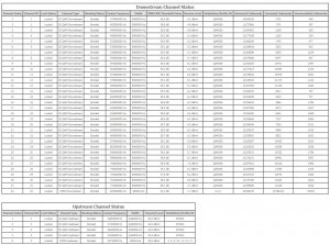
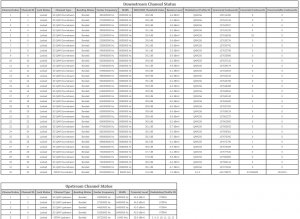
Anbei ein paar Screenshots. Mein OFDM ist auch öfters auf partial Service
ich habe auch seit einigen Jahren ein TC4400. jetzt habe ich in den letzten Wochen auch immer wieder Abbrüche. Teilweise hilft nur ein Modem reboot.
In den Logfiles des Modem sehe ich sehr oft folgende Meldungen
"Dynamic Range Window violation"
"RNG-RSP CCAP Commanded Power in Excess of 6 dB Below the Value Corresponding to the Top of the...
"No Ranging Response received - T3 time-out;CM-MAC=60:3d:26:15:97:a3;CMTS-MAC=00:01:5c:8d:b0:54...
"16 consecutive T3 timeouts while trying to range on upstream channel 8;CM-MAC=60:3d:26:15:97:a...
"Ranging Request Retries exhausted;CM-MAC=60:3d:26:15:97:a3;CMTS-MAC=00:01:5c:8d:b0:54;CM-QOS=1...
"No Ranging Response received - T3 time-out;CM-MAC=60:3d:26:15:97:a3;CMTS-MAC=00:01:5c:8d:b0:54...
"16 consecutive T3 timeouts while trying to range on upstream channel 8;CM-MAC=60:3d:26:15:97:a...
Auch sehr oft und mehrmals hintereinander:
"CM-STATUS message sent. Event Type Code: 8; Chan ID: 5; DSID: N/A; MAC Addr: N/A; OFDM/OFDMA P...
Wenn wieder Sprung nach disabled geht und kein Zugang mehr möglich ist kommt immer
"DBC-REQ denied - confirmation code 204: reject-message-syntax-error;CM-MAC..."
jetzt hatte ich eine Störung bei Unitymedia aufgemacht. Ein Techniker hat mich sehr zeitnah zurück gerufen.
Hat mir klipp und klar gesagt das ich keinen Support bekomme. Im Kundenportal ist wohl eine Fritzbox und kein TC4400 hinterlegt. Daher wäre es klar das es nicht richtig funktioniert. Das müsste ich über die Rechnungsstellen erst ändern lassen.
Wenn ich überlege was das damals für einen Krampf war das TC4400 überhaupt provisioniert zu bekommen, würde ich das ungern versuchen.
Als Firmware läuft bei mir die 70.12.40-180627
Anbei ein paar Screenshots. Mein OFDM ist auch öfters auf partial Service
