Hallo miteinander
Ich wollte mal berichten wie der Stand der Dinge ist.
Leider hatte ich jetzt mehrere Wochen keine Zeit für mein Kabelmodem-Projekt.
Es läuft mittlerweile wie es soll. Heute nach 3 Wochen Inaktivität einen Speedtest durchgeführt:
1) Smartphone <WLAN> Fritzbox als AP (angebunden per LAN Brücke)
Danach einen Speedtest am Kabelgebundenen PC laufen lassen:
2) Gigabit LAN-NIC <$witch> OPNsense/Modem
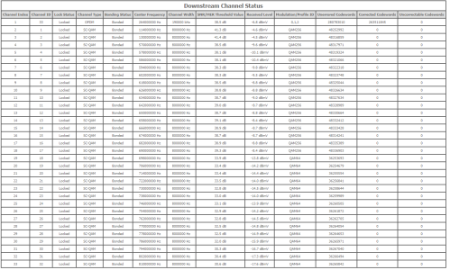
FAZIT: die Ergebnisse sind sehr geil! (siehe Screenshots)
Die Kanäle 25+26 haben weiterhin ne Störung, wobei Kanal 25 KEINE "uncorrectable Codewords" hat, der Kanal 26 aber umso mehr.
Unerrored Codewords --- Corrected Codewords --- Uncorrectable Codewords
268647437 -------------------------1899074978 ---------------------------0---------------- <- Kanel 25
956985961 -------------------------1561417644 ---------------------21316989----------- <- Kanal 26
Ich habe keine Ahnung woran es liegen könnte, das Tempo passt aber endlich wieder
Neustarts/Abstürze konnte ich nicht verzeichnen. Einfach lassen oder kann man das nur noch mit og. Filter maskieren?
Endlich kann es weitergehen, mit der eigenen Cloud
