• Kunden aus Hessen und Nordrhein-Westfalen können über die Rufnummer 0221 / 466 191 00 Hilfe bei allen Problemen in Anspruch nehmen.
    Kunden aus Baden-Württemberg können über die Rufnummer 0711 / 54 888 150 Hilfe bei allen Problemen in Anspruch nehmen.

Unitymedia Technicolor TC4400 Docsis 3.1 Modem Info Thread

Diskutiere Technicolor TC4400 Docsis 3.1 Modem Info Thread im Internet und Telefon über das TV-Kabelnetz Forum im Bereich Internet und Telefon; Ist NAT ausgeschaltet? (Network/Firewall/Masquerading). Bei DS-Lite wird es nämlich nicht benötigt. Im Übrigen wird auch bei der Fritzbox und so...
  • Technicolor TC4400 Docsis 3.1 Modem Info Thread Beitrag #1.276
Die Performance wird wohl wichtiger sein als das es automatisch geht. Bei der-tim gehen scheinbar auch nur 34 MBit/s durch den Tunnel, ich schaffe nicht mehr als 25 MBit/s durchsatz wenn der DS-Lite Tunnel via OpenWRT/Linux terminiert wird.
Ist NAT ausgeschaltet? (Network/Firewall/Masquerading). Bei DS-Lite wird es nämlich nicht benötigt.

Im Übrigen wird auch bei der Fritzbox und so gut wie jedem anderen Router, der nicht gerade Cisco heißt, der DS-Lite-Tunnel via Linux terminiert. Es muß also gehen.
 
  • Technicolor TC4400 Docsis 3.1 Modem Info Thread Beitrag #1.277
Was ist denn das Problem? Bei mir läuft IPv6 sauber mit pfSense was ja auch auf FreeBSD basiert.

Wie hast du das bei pfsense konfiguriert? Versuche mich gerade bei opnsense, komme aber auf der UI (mit der GIF Konfiguration) nicht weiter. Auf Bash kann ich den Tunnel aufbauen und habe auch testweise einzelne IPs durch den neuen Tunnel geroutet (derzeit noch Fritzbox -> opnsense, also quasi zusätzlicher dslite Tunnel).
 
  • Technicolor TC4400 Docsis 3.1 Modem Info Thread Beitrag #1.278
Könnt ihr die Diskussion um DS-Lite im DS-Lite-Thread weiterführen? Das Thema hat eigentlich nichts mehr mit dem TC4400 als Modem zu tun (sondern betrifft jedes Modem im Bridge-Modus an einem IPv6-only-Anschluß).
 
  • Technicolor TC4400 Docsis 3.1 Modem Info Thread Beitrag #1.279
Stimmt, nur soviel: ich habe kein DS-Lite noctarius. Für alles Weitere gerne PN.
 
  • Technicolor TC4400 Docsis 3.1 Modem Info Thread Beitrag #1.280
So, nachdem mein TC4400 mehrere Monate im Schrank rumgegammelt hat, bin ich heute an meinem ersten Urlaubstag dazu gekommen, die Provisionierung bei UM anzustoßen.

Die Rahmenbedingungen: TC4400, FritzBox 7560, DSLite, UM NRW

Hier eine kurze Zusammenfassung:

1. Provisionierung über den Service-Chat angestoßen. Der Service-Mitarbeiter hat direkt als erstes gefragt, ob die FritzBox neu oder gebraucht ist. Ich habe ihm mitgeteilt, dass es sich um ein TC4400, also ein reines Kabelmodem handelt. Dies war ihm egal. Interessant für ihn war nur, ob das Modem schonmal im UM-Netz provisioniert war. Serien-Nr. und CMAC habe ich per Chat durchgegeben. Es kam abschließend noch der Hinweis, dass ich ca. eine Stunde warten muss und die SIP-Daten etwas auf sich warten lassen. Das war es.

2. Runter in den Keller und das TC4400 angeschlossen, dann

3. In Ruhe auswärts zu Mittag gegessen, um nicht nervös im 5-Minuten-Takt zum Modem zu rennen ;-)

4. Ab nach Hause und erstmal mein Notebook direkt an's Modem angeschlossen. Kurzer Test -> läuft!

5. FritzBox 7560 für Kabelanbieter per IPv6 über LAN1 konfiguriert und alles sauber neu gestartet. Mit dem Notebook ab in's Erdgeschoss an die NW-Dosen. Getestet -> läuft!

6. Mehrere Speed- und IPv6-Tests durchgeführt -> läuft!

Alles super, ich bin zufrieden!
 
  • Technicolor TC4400 Docsis 3.1 Modem Info Thread Beitrag #1.281
@Grinder Falls möglich, bitte hier eintragen: https://docs.google.com/spreadsheets/d/1bHzGc67P4Qm-WiM9J-bFFhZr6i_lR6u7v9CjQAp1Aiw/edit
 
  • Technicolor TC4400 Docsis 3.1 Modem Info Thread Beitrag #1.282
Ostern, die Auferstehung Grinders :D
IPv4 speed via dslite ist ganz normal? Bei lede / openwrt gibt es ja noch Probleme.
 
  • Technicolor TC4400 Docsis 3.1 Modem Info Thread Beitrag #1.283
Genau, ich bin wie der Osterhase ;-)

Laut den Speedtests ist die Verbindung sowohl unter IPv4 via IPv6 als auch unter nativem IPv6 gleich hoch.
 
  • Technicolor TC4400 Docsis 3.1 Modem Info Thread Beitrag #1.284
  • Technicolor TC4400 Docsis 3.1 Modem Info Thread Beitrag #1.285
So, nach der Mail an Vodafone hatte ich heute einen neutten Techniker am Telefon. Interessant: Laut ihm müssen Fremdgeräte explizit zugelassen werden und die Gerätehersteller werben nach erfolgreicher Zulassung mit der Zertifizierung.
1. Ist das nach dem FTEG legitim? Werde ich mir nachher oder morgen mal im Detail durchlesen, aber falls schon jemand was weiß...
2. Ich weiß immer noch nicht, wie ihr auf das TAB-Zeichen gekommen seid. War es einfach geraten? Sprechen technische Fakten gegen die Aussage des Mitarbeiters?

Sollte das FTEG ein solches Vorgehen nicht zulassen (was ich für am wahrscheinlichsten halte), werde ich erneut anrufen, die Umstände erneut schildern, mir dieses Vorgehen bestätigen lassen und den Mitarbeiter auf das FTEG ansprechen und mich ggf. eine weitere Ebene höher eskalieren lassen, ggf. mit Kontakt mit der BNA "drohen" und dies ggf. dann auch tun, insofern meine Prüfung positiv ausfällt und hier keine Einwände kommen
 
  • Technicolor TC4400 Docsis 3.1 Modem Info Thread Beitrag #1.286
Nein. Die KNB haben das zwar gefordert, aber es steht nicht im Gesetz.
 
  • Technicolor TC4400 Docsis 3.1 Modem Info Thread Beitrag #1.287
So, nach der Mail an Vodafone hatte ich heute einen neutten Techniker am Telefon. Interessant: Laut ihm müssen Fremdgeräte explizit zugelassen werden und die Gerätehersteller werben nach erfolgreicher Zulassung mit der Zertifizierung.
1. Ist das nach dem FTEG legitim? Werde ich mir nachher oder morgen mal im Detail durchlesen, aber falls schon jemand was weiß...
2. Ich weiß immer noch nicht, wie ihr auf das TAB-Zeichen gekommen seid. War es einfach geraten? Sprechen technische Fakten gegen die Aussage des Mitarbeiters?

Sollte das FTEG ein solches Vorgehen nicht zulassen (was ich für am wahrscheinlichsten halte), werde ich erneut anrufen, die Umstände erneut schildern, mir dieses Vorgehen bestätigen lassen und den Mitarbeiter auf das FTEG ansprechen und mich ggf. eine weitere Ebene höher eskalieren lassen, ggf. mit Kontakt mit der BNA "drohen" und dies ggf. dann auch tun, insofern meine Prüfung positiv ausfällt und hier keine Einwände kommen

Da man mir im offiziellen VF-Forum wohl von seitens VF aus keine Aufmerksamkeit widmet, werde ich heute die BnetzA einschalten, wie es der PYUR-User hier bereits gemacht hat.
Das TAB-Zeichen kam wohl bei internen Tests von VF zum Vorschein.
 
  • Technicolor TC4400 Docsis 3.1 Modem Info Thread Beitrag #1.288
Interessant ist, beim ersten Test Gerät, das TC4400-XM6 mit Hardware Version 1.4, waren noch 4 Ethernet Ports verbaut.
Das erklärt auch warum das UI immer 4 Ports anzeigt.
Warum man die wohl entfernt hat :kratz:
 
  • Technicolor TC4400 Docsis 3.1 Modem Info Thread Beitrag #1.290
Da man mir im offiziellen VF-Forum wohl von seitens VF aus keine Aufmerksamkeit widmet, werde ich heute die BnetzA einschalten, wie es der PYUR-User hier bereits gemacht hat.
Das TAB-Zeichen kam wohl bei internen Tests von VF zum Vorschein.
Da bin ich aber mal auf das Ergebnis gespannt :zwinker:
 
  • Technicolor TC4400 Docsis 3.1 Modem Info Thread Beitrag #1.291
Prinzipiell, z. B. wenn man mehrere IPs hätte, würde auch ein Modem mit mehreren Ports Sinn machen ...
 
  • Technicolor TC4400 Docsis 3.1 Modem Info Thread Beitrag #1.293
So, nach der Mail an Vodafone hatte ich heute einen neutten Techniker am Telefon. Interessant: Laut ihm müssen Fremdgeräte explizit zugelassen werden und die Gerätehersteller werben nach erfolgreicher Zulassung mit der Zertifizierung.
1. Ist das nach dem FTEG legitim? Werde ich mir nachher oder morgen mal im Detail durchlesen, aber falls schon jemand was weiß...
2. Ich weiß immer noch nicht, wie ihr auf das TAB-Zeichen gekommen seid. War es einfach geraten? Sprechen technische Fakten gegen die Aussage des Mitarbeiters?

Sollte das FTEG ein solches Vorgehen nicht zulassen (was ich für am wahrscheinlichsten halte), werde ich erneut anrufen, die Umstände erneut schildern, mir dieses Vorgehen bestätigen lassen und den Mitarbeiter auf das FTEG ansprechen und mich ggf. eine weitere Ebene höher eskalieren lassen, ggf. mit Kontakt mit der BNA "drohen" und dies ggf. dann auch tun, insofern meine Prüfung positiv ausfällt und hier keine Einwände kommen

Da man mir im offiziellen VF-Forum wohl von seitens VF aus keine Aufmerksamkeit widmet, werde ich heute die BnetzA einschalten, wie es der PYUR-User hier bereits gemacht hat.
Das TAB-Zeichen kam wohl bei internen Tests von VF zum Vorschein.

Im offiziellem Forum brauch es leider auch mal bis zu 1 Woche bis sich ein Mod dem Thema widmen kann...sind ja auch Ferien momentan, sollte man nicht vergessen.
 
  • Technicolor TC4400 Docsis 3.1 Modem Info Thread Beitrag #1.294
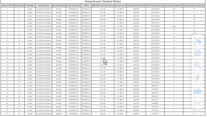
Wie von UM angekündigt gab es bri mir heute Wartungsarbeiten. So war eben das Modem für 5 Minuten offline. Also bin ich mal drauf und was sehe ich da? Zuvor 22DS Kanäle...


(Die Fehler sind weil es offline war und noch nicht neugestartet wurde)
 

Anhänge

  • 127FBDBA-42D4-4A4B-B278-8197ECFDC5F6.png
    127FBDBA-42D4-4A4B-B278-8197ECFDC5F6.png
    364 KB · Aufrufe: 979
  • Technicolor TC4400 Docsis 3.1 Modem Info Thread Beitrag #1.295
Hallo zusammen,

also kann man das TC4400 uneingeschränkt als Modem empfehlen, besonderes dann wenn dahinter ein Router, oder z.B. eine Ubifi USG zu Einsatz kommen soll? Auch im UM-Netz?
Wo kann man es beziehen?

VG shortie
 
  • Technicolor TC4400 Docsis 3.1 Modem Info Thread Beitrag #1.296
Wie von UM angekündigt gab es bri mir heute Wartungsarbeiten. So war eben das Modem für 5 Minuten offline. Also bin ich mal drauf und was sehe ich da? Zuvor 22DS Kanäle...

127FBDBA-42D4-4A4B-B278-8197ECFDC5F6.png

(Die Fehler sind weil es offline war und noch nicht neugestartet wurde)

Ich bin begeistert :winken:, aber wie kommt man immer auf die krumme Zahl von 31? Wird dort ein Channel ausgelassen wegen möglicher Einstrahlung?
 
  • Technicolor TC4400 Docsis 3.1 Modem Info Thread Beitrag #1.297
Das frag ich mich auch. Könnte ein Grund sein. Oder man fährt einen Kanal TV only?
 
  • Technicolor TC4400 Docsis 3.1 Modem Info Thread Beitrag #1.298
Hängst du jetzt an einem Casa Systems?
 
  • Technicolor TC4400 Docsis 3.1 Modem Info Thread Beitrag #1.299
Das TAB-Zeichen kam wohl bei internen Tests von VF zum Vorschein.
Gibt's dafür eine Quelle? Hätte am Telefon gerne "was in der Hand".
Hab' mir schon die Schnittstellenbeschreibung und das Datenblatt zum Abgleich runtergeladen ("wenden Sie sich an den Hersteller"), sowie das FTEG ("Wir haben eine Whitelist").
 
Thema:

Technicolor TC4400 Docsis 3.1 Modem Info Thread

Technicolor TC4400 Docsis 3.1 Modem Info Thread - Ähnliche Themen

Netgear CM2000 (US Modem): Dank DOCSIS 3.1 und dem dortigen Wegfall der Unterscheidung zwischen DOCSIS und EuroDOCSIS sind einige Modems aus den USA durchaus im Vodafone...
Unitymedia Technicolor CGA4233 Docsis 3.1 Router Info Tread: Wie auch schon bei TC4400 dient dieser Thread zum Sammeln von Informationen zum Technicolor CGA4233. Default login: user / VTmgQapcEUaE Link zum...
Unitymedia Kabelmodem Arris CM8200B: Moin, Das Arris CM8200B wurde hier schon gelegentlich erwähnt, aber nie vertiefend. Da bei mir seit ein paar Tagen eines herumsteht starte ich...
Unitymedia Cisco EPC3208 verliert immer Verbindung -> Vodafone Station als Lösung? (DOCSIS 3.1 schuld?): Nabend! Ich habe seit 25.11. plötzlich ein massives Problem mit meinem Anschluß, und könnte etwas Aufklärung von Insidern brauchen bevor ich zur...
Unitymedia [Q] Probleme mit Bridge Network Model Virtualisierungsserver: Hallo! Ich habe eine Virtualisierungsplattform mit Web-Oberfläche (Proxmox VE 3.3) aufgesetzt und den Server direkt mit dem Kabel-Gateway TC7200...
Oben